本文参考自《大话数据结构》
树
定义
树是n(n>=0)个结点的有限集。n=0时称为空树。在任意一颗非空树中:
- 有且仅有一个特定的称为根(Root)的结点;
- 当n>1时,其余结点可分为m(m>0)个互不相交的有限集T1、T2、…、Tm,其中每一个集合本身又是一颗树,并且称为根的子树。
树的结点包含一个数据元素及若干指向其子树的分支。 结点拥有的子树数称为结点的度。度为0的结点称为叶结点或终端结点;度不为0的结点称为非终端结点或分支结点。除根结点之外,分支结点也称为内部结点。树的度是树内各结点的度的最大值 。
树的其他相关概念:
- 结点的层次从根开始定义起,根为第一层,根的孩子为第二层。树中结点的最大层次称为树的深度或高度。
- 如果将树中结点的各子树看成从左到右是有次序的,不能互换的,则称该树为有序树,否则称为无序树。
- 森林是m(m>=0)棵互不相交的树的集合。
| 线性结构 | 树结构 |
|---|---|
| 第一个数据元素:无前驱 | 根结点:无双亲,唯一 |
| 最后一个数据元素:无后继 | 叶结点:无孩子,可以多个 |
| 中间元素:一个前驱一个后继 | 中间结点:一个双亲多个孩子 |
抽象数据类型
ADT 树(tree)
Data
树是由一个根结点和若干棵子树构成。树中结点具有相同数据类型及层次关系。
Operation
InitTree(*T):构造空树T
DestroyTree(*T):销毁树T
CreateTree(*T, definition):接definition中给出树的定义来构造树
ClearTree(*T):若树T存在,则将树T清为空树
TreeEmpty(T):若T为空树,返回true,否则返回false
TreeDepth(T):返回T的深度
Root(T):返回T的根结点
Value(T,cur_e):cur_e是树T中一个结点,返回此结点的值
Assign(T,cur_e,value):给树T的结点cur_e赋值为value
Parent(T,cur_e):若cur_e是树T的非根结点,则返回它的双亲,否则返回空
LeftChild(T,cur_e):若cur_e是树T的非叶结点,则返回它的最左孩子,否则返回空
RightSibling(T,cur_e):若cur_e有右兄弟,则返回它的右兄弟,否则返回空
InsertChild(*T,*p,i,c):其中p指向树T的某个结点,i为所指结点p的度加上1,非空树C于T不相交,操作结果为插入C为树T中p指结点的第i棵子树。
DeleteChild(*T, *p, i):其中p指向树T的某个结点,i为所指结点p的度,操作结果为删除T中p所指结点的第i棵子树
endADT
树的存储结构
- 双亲表示法
- 孩子表示法
- 孩子兄弟表示法
双亲表示法
在每个结点中,附设一个指示器指示其双亲结点到链表中的位置,其中data是数据域,存储结点的数据信息。而parent是指针域,存储该结点的双亲在数组中的下标。
/* 树的双亲表示法结点结构定义 */
#define MAX_TREE_SIZE 100
typedef int TElemType; //树结点的数据类型,目前暂定为整型
typedef struct PTNode{ //结点结构
TElemType data; //结点数据
int parent; //双亲位置
}PTNode;
typedef struct{
PTNode nodes[MAX_TREE_SIZE]; //结点数组
int r,n; //根的位置和结点数
}PTree;
由于根结点没有双亲,所以约定根结点的位置域设置为-1。
这样的存储结构,我们可以根据结点的parent指针很容易找到它的双亲结点,所用的时间复杂度为O(1),直到parent为-1时,表示找到了树结点的根;但是如果想要知道结点的孩子是什么,需要遍历整个结构才行。
改进一下,增加一个结点最左边孩子的域,不妨叫它长子域,这样就可以很容易得到结点的孩子;如果没有孩子的结点,这个长子域就设置为-1。
另一个问题场景,双亲表示法无法体现各兄弟之间的关系,可以增加一个右兄弟域来体现兄弟关系,也就是说,每一个结点如果它存在右兄弟,则记录下右兄弟的下标。同样的,如果右兄弟不存在,则赋值为-1。
但如果结点的孩子很多,超过了2个,而且又关注结点的双亲、孩子和兄弟,而且对时间遍历要求还比较高,那么可以把结构拓展成有双亲域、长子域和兄弟域的结构。 存储结构的设计是一个非常灵活的过程。一个存储结构设计得是否合理,取决于基于该存储结构的运算是否适合、是否方便、时间复杂度好不好等 。
孩子表示法
由于树中每个结点可能有多棵子树,可以考虑用多重链表,即 每个结点有多个指针域,其中每个指针指向一棵子树的根结点,我们把这种方法叫做多重链表表示法
方案一
指针域的个数=树的度(树的度是树各个结点度的最大值)。
这种方法对于树中各结点的度相差很大时,显然是很浪费空间的,因为有很多的结点,指针域都是空的;不过如果树的各结点度相差很小时,那就意味着开辟的空间被充分利用了,这时存储结构的缺点反而变成了优点。
方案二
每个结点指针域的个数=该结点的度,专门取一个位置来存储结点指针域的个数。
这种方法克服了浪费空间的缺点,对空间利用率是很高了,但是由于各个结点的链表是不相同的结构,加上要维护结点的度的数值,在运算上就会带来时间上的损耗。
优化:
孩子表示法, 把每个结点的孩子结点排列起来,以单链表作存储结构,则n个结点有n个孩子链表,如果哦是叶子结点则此单链表为空,然后n个头指针又组成一个线性表,采用顺序存储结构,存放进一个一维数组中 。
孩子表示法的结构定义代码:
/* 树的孩子表示法结构定义 */
#define MAX_TREE_SIZE 100
typedef struct CTNode{ //孩子结点
int child;
struct CTNode *next;
} *ChildPtr;
typedef struct //表头结构
{
TElemType data;
ChildPtr firstchild;
}CTBox;
typedef struct
{
CTBox nodes[MAX_TREE_SIZE]; //结点数组
int r,n; //根的位置和结点数
}CTree;
双亲孩子表示法需要自己实现
孩子兄弟表示法
任意一棵树,它的结点的第一个孩子如果存在就是唯一的,它的右兄弟如果存在也是唯一的。因此,可以设置两个指针,分别指向该结点的第一个孩子和此结点的右兄弟。
/* 树的孩子兄弟表示法结构定义 */
typedef struct CSNode{
TElemType data;
struct CSNode *firstchild, *rightsib;
}CSNode, *CSTree;
这个方法最大的好处就是把一棵复杂的树变成了一棵二叉树,就可以充分利用二叉树的特性和算法来处理这棵树了。
二叉树
定义
二叉树(Binary Tree)是n(n>=0)个结点的有限集合,该集合或者为空集(称为空二叉树),或者由一个根结点和两棵互不相交的、分别称为根结点的左子树和右子树的二叉树组成。
特点
- 每个结点最多有两棵子树,所以二叉树中不存在度大于2的结点。注意不是只有两棵子树,而是最多有;没有子树或者有一棵子树都是可以的。
- 左子树和右子树是有顺序的,次序不能任意颠倒。
- 即使树中某结点只有一棵子树,也要区分它是左子树还是右子树。
五种形态
- 空二叉树
- 只有一个根结点
- 根结点只有左子树
- 根结点只有右子树
- 根结点既有左子树又有右子树
特殊的二叉树
- 斜树:所有结点都只有左子树的二叉树叫左斜树。所有结点都是只有右子树的二叉树叫右斜树,两者统称为斜树。
- 满二叉树:在一棵二叉树中,如果所有分支结点都存在左子树和右子树,并且所有叶子都在同一层上,这样的二叉树称为满二叉树。
- 叶子只能出现在最下一层。出现在其他层就不可能达成平衡;
- 非叶子结点的度一定是2;
在同样深度的二叉树中,满二叉树的结点个数最多,叶子数最多;
- 完全二叉树:对一棵具有n个结点的二叉树按层序编号,如果编号i(1<=i<=n)的结点与同样深度的满二叉树中编号为i的结点在二叉树中位置完全相同,则这棵二叉树称为完全二叉树(意思就是:完全二叉树必须从上到下,从左到右每个结点都是连续的,不能间断);
二叉树的性质
- 在二叉树的第i层上至多有2^(i-1)个结点(i>=1);
- 深度为k的二叉树至多有2^k-1个结点(k>=1);
- 对任何一棵二叉树T,如果其终端结点(叶结点)数为n0,度为2的结点数为n2,则n0=n2+1;
- 具有n个结点的完全二叉树的深度为log2(n)+1(向下取整);
- 如果对一棵有n个结点的完全二叉树(其深度为log2(n)+1(向下取整)的结点按层序编号(从第1层到第log2(n)+1(向下取整)层,每层从左到右),对任一结点i(1<=i<=n)有:
- 如果i=1,则结点i是二叉树的根,无双亲;如果i>1,则其双亲是结点[i/2];
- 如果2i>n,则结点i无左孩子(结点i为叶子结点);否则其左孩子是结点2i;
- 如果2i+1>n,则结点i无右孩子;否则其右孩子是结点2i+1。
二叉树存储结构
二叉链表
/* 二叉树的二叉链表结点结构定义 */
typedef struct BiTNode{
//结点结构
TElemType data; //结点数据
struct BiTNode* lchild, rchild; //左右孩子指针
}BiTNode, BITree;
可以根据需要增加指向双亲的指针域等。
遍历二叉树
二叉树的遍历是指从根结点欻发,按照某种次序依次访问二叉树中所有结点,使得每个结点被访问一次且仅被访问一次。
- 前序遍历:若二叉树为空,则空操作返回,否则先访问根结点,然后前序遍历左子树,再前序遍历右子树。
- 中序遍历:若树为空,则空操作返回,否则从根结点开始(注意并不是先访问根结点),中序遍历根结点的左子树,然后是访问根结点,最后中序遍历右子树。
- 后序遍历:若树为空,则空操作返回,否则从左到右先叶子后结点的方式遍历访问左右子树,最后是访问根结点。
- 层序遍历:若树为空,则空操作返回,否则从树的第一层,也就是根结点开始访问,从上而下逐层遍历,在同一层中,按从左到右的顺序对结点逐个访问。
前序遍历算法
/* 二叉树的前序遍历递归算法 */
void PreOrderTraverse(BiTree T){
if(T == NULL)
return;
printf("%c", T->data); //显示结点数据,可以更改为其他对结点操作
PreOrderTraverse(T->lchild); //再前序遍历左子树;
PreOrderTraverse(T->rchild); //最后前序遍历右子树
}
中序遍历算法
/* 二叉树的中序遍历递归算法 */
void InOrderTraverse(BiTree T){
if(T==NULL)
return;
InOrderTraverse(T->lchild); //中序遍历左子树
printf("%c",T->data); //显示结点数据,可以更改为其他对结点操作
InOrderTraverse(T->rchild); //最后中序遍历右子树
}
后序遍历算法
/* 二叉树的后序遍历递归算法 */
void PostOrderTraverse(BiTree T){
if(T==NULL)
return;
PostOrderTraverse(T->lchild); //先后序遍历左子树
PostOrderTraverse(T->rchild); //再后序遍历右子树
printf("%c",T->data); //显示结点数据,可以更改为其他对结点操作
}
二叉树的特性
- 已知前序遍历序列和中序遍历序列,可以唯一确定一棵二叉树。
- 已知后序遍历序列和中序遍历序列,可以唯一确定一棵二叉树。
已知前序和后序遍历,是不能确定一棵二叉树的。
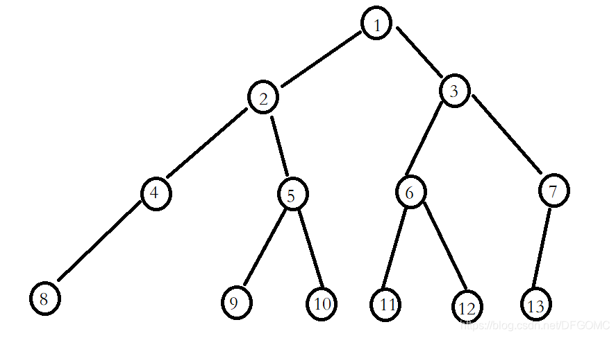
例子+具体实现

这个图是一棵二叉树
- 层序遍历:1,2,3,4,5,6,7,8,9,10,11,12,13
- 前序遍历:1,2,4,8,5,9,10,3,6,11,12,7,13
- 中序遍历:8,4,2,9,5,10,1,11,6,12,3,13
二叉树实现与遍历算法解析

本文详细介绍了二叉树的定义、存储结构和遍历方法,包括双亲表示法、孩子表示法和孩子兄弟表示法,以及二叉树的前序、中序、后序遍历算法。此外,还探讨了二叉树的特殊形态如满二叉树和完全二叉树的特性。
最低0.47元/天 解锁文章
850

被折叠的 条评论
为什么被折叠?



