
| 🚀 算法题 🚀 |
🌲 算法刷题专栏 | 面试必备算法 | 面试高频算法 🍀
🌲 越难的东西,越要努力坚持,因为它具有很高的价值,算法就是这样✨
🌲 作者简介:硕风和炜,优快云-Java领域优质创作者🏆,保研|国家奖学金|高中学习JAVA|大学完善JAVA开发技术栈|面试刷题|面经八股文|经验分享|好用的网站工具分享💎💎💎
🌲 恭喜你发现一枚宝藏博主,赶快收入囊中吧🌻
🌲 人生如棋,我愿为卒,行动虽慢,可谁曾见我后退一步?🎯🎯
| 🚀 算法题 🚀 |


🚩 题目链接
⛲ 题目描述
给定二叉树的根节点 root,找出存在于 不同 节点 A 和 B 之间的最大值 V,其中 V = |A.val - B.val|,且 A 是 B 的祖先。
(如果 A 的任何子节点之一为 B,或者 A 的任何子节点是 B 的祖先,那么我们认为 A 是 B 的祖先)
示例 1:

输入:root = [8,3,10,1,6,null,14,null,null,4,7,13]
输出:7
解释:
我们有大量的节点与其祖先的差值,其中一些如下:
|8 - 3| = 5
|3 - 7| = 4
|8 - 1| = 7
|10 - 13| = 3
在所有可能的差值中,最大值 7 由 |8 - 1| = 7 得出。
示例 2:

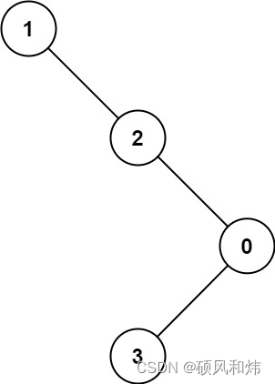
输入:root = [1,null,2,null,0,3]
输出:3
提示:
树中的节点数在 2 到 5000 之间。
0 <= Node.val <= 105
🌟 求解思路&实现代码&运行结果
⚡ DFS
🥦 求解思路
- 该题目通过DFS求解,关键的地方在于如何设计递归函数,递归的参数是当前的节点,其实不容易想到的地方就是返回值,因为题目让我们求解的是祖先与节点的差值,如果返回值是这个,那么就会直接忽略一些情况,所以,不能是这个。
- 继续想,祖先与节点的差值,节点的数值可能比祖先的大,也可能比祖先的小,而我们要求的又是在当前祖先下,所有的节点与其差值最大。那么最终的答案就可能来自俩种情况,一个是子树的最大值,一个是子树的最小数值。
- 到此为止,递归的返回值也就浮出水面,就是当前节点下左子树的最小值,与最大值。
- 最终的答案,我们通过一个全局变量记录,最终返回即可。
- 有了基本的思路,接下来我们就来通过代码来实现一下。
🥦 实现代码
/**
* Definition for a binary tree node.
* public class TreeNode {
* int val;
* TreeNode left;
* TreeNode right;
* TreeNode() {}
* TreeNode(int val) { this.val = val; }
* TreeNode(int val, TreeNode left, TreeNode right) {
* this.val = val;
* this.left = left;
* this.right = right;
* }
* }
*/
class Solution {
int max = 0;
public int maxAncestorDiff(TreeNode root) {
process(root);
return max;
}
public int[] process(TreeNode root) {
if (root == null)
return new int[] { Integer.MAX_VALUE, Integer.MIN_VALUE };
int[] left = process(root.left);
int[] right = process(root.right);
int leftAns = Math.min(root.val, Math.min(left[0], right[0]));
int rightAns = Math.max(root.val, Math.max(left[1], right[1]));
max = Math.max(max, Math.max(root.val - leftAns, rightAns - root.val));
return new int[] { leftAns, rightAns };
}
}
🥦 运行结果

💬 共勉
| 最后,我想和大家分享一句一直激励我的座右铭,希望可以与大家共勉! |



428

被折叠的 条评论
为什么被折叠?



