傅里叶提出的两个重要的观点:
1.周期信号都可以表示为谐波关系的正弦信号的加权和(傅里叶级数)
2.非周期信号都可用正弦信号的加权积分表示(傅里叶变换)
参考上一篇博客
https://blog.youkuaiyun.com/Chevy_cxw/article/details/110948262
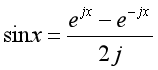
对三角函数形式的傅里叶级数使用欧拉公式
欧拉公式


三角函数形式的傅里叶级数

将欧拉公式代入三角函数形式的傅里叶级数有

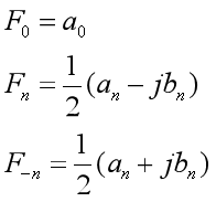
令

an 是关于n的偶函数, bn是关于n的奇函数
代入化简

得指数形式的傅里叶级数

由于


在Fn中套入欧拉公式有

得到变换对
综合公式
分析公式
周期信号可分解为负无穷到无穷大区间上的指数信号
的线性组合。
Fn为频谱函数,是频率的函数,它反映了组成信号各正弦谐波的幅度和相位随频率变化的规律。如果给出Fn,则f(t)唯一确定。
参考书籍:
信号与系统(第二版)中文版,奥本海姆
信号与系统(第二版)上册,郑君里
傅里叶变换解析
本文介绍了傅里叶提出的两个重要观点:周期信号可表示为正弦信号的加权和(傅里叶级数),非周期信号可用正弦信号的加权积分表示(傅里叶变换)。文中还详细讨论了如何通过欧拉公式将三角函数形式的傅里叶级数转换为指数形式。

915

被折叠的 条评论
为什么被折叠?



