对最优控制的一道题进行另一种方法求解,讨论过程虽然多了,但是更直观,便于理解。
我们老师给的过程:


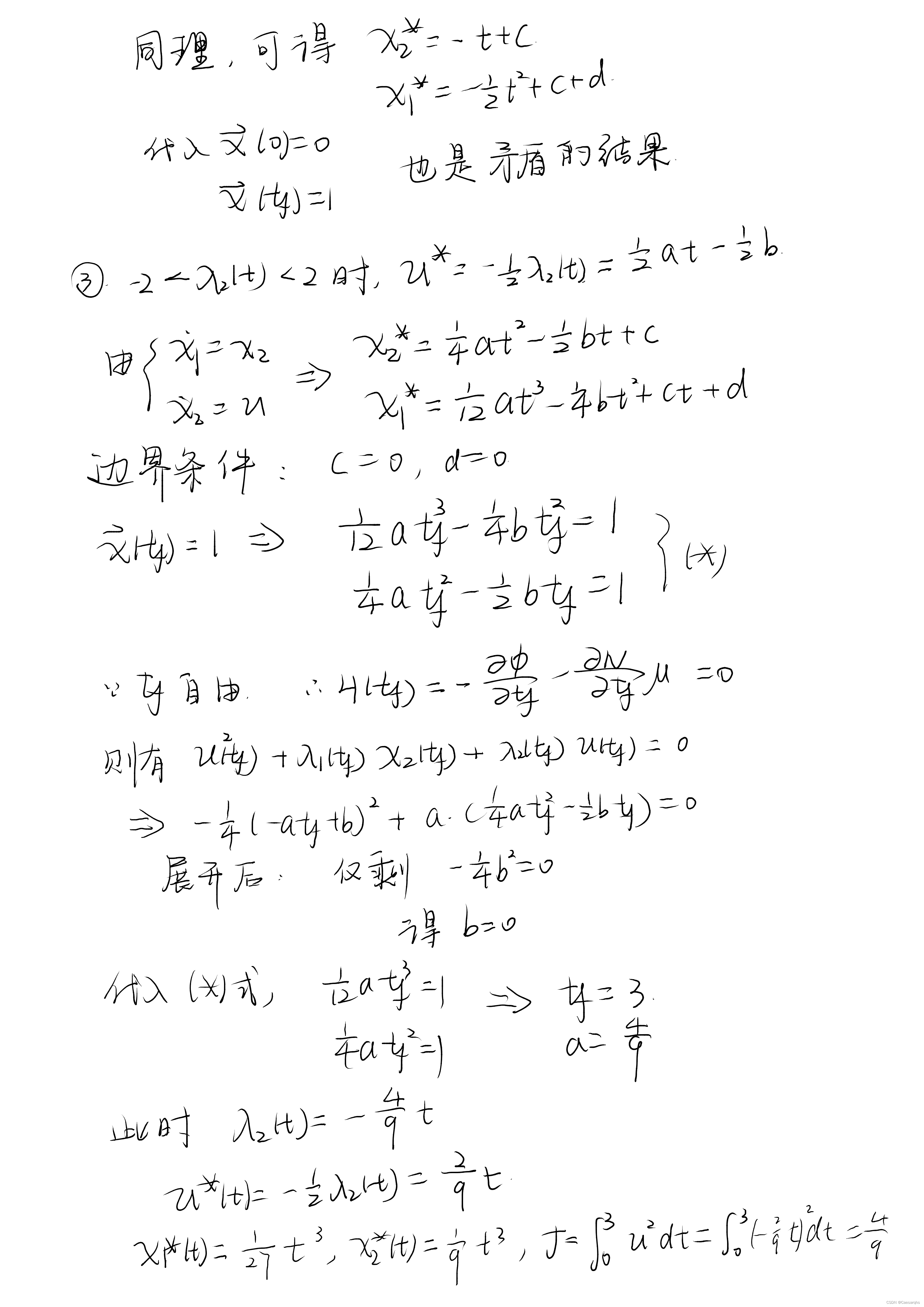
整个过程很跳跃,所以重新写了一份答案。

更多《现代控制理论》第六章,最优控制的教材答案,请到主页下载,内容都如此一般的详细!
如果帮助到大家,读书人不羞于谈利,嘿嘿!
本文提供了一种针对最优控制问题的不同解题方法,通过详细步骤解析,使问题解决过程更加直观易懂。该方法是对传统解答的一种补充,旨在帮助读者更好地理解最优控制的核心概念。
对最优控制的一道题进行另一种方法求解,讨论过程虽然多了,但是更直观,便于理解。
我们老师给的过程:


整个过程很跳跃,所以重新写了一份答案。

更多《现代控制理论》第六章,最优控制的教材答案,请到主页下载,内容都如此一般的详细!
如果帮助到大家,读书人不羞于谈利,嘿嘿!

被折叠的 条评论
为什么被折叠?