Collaboration-Aware Graph Convolutional Network forRecommender Systems
背景/动机
图神经网络(Graph Neural Network,GNN)由于其隐式地捕捉协同效应的消息传递(message-passing),已成功地应用于推荐系统中。由于历史用户-物品交互可以自然地表示为二分图结构,用户/物品是节点,交互是边,并且鉴于GNN在学习节点嵌入表示方面取得了前所未有的成功,最近的研究已经开始利用GNN来学习推荐的用户/物品嵌入。
尽管如此,大多数现有的推荐系统中消息传递机制都是直接从GNN继承而来,而没有仔细考虑捕获的协同效应是否有利于用户偏好的预测,而这种模糊理解会存在学习到无用甚至错误的用户/物品表示的风险。在实际中,大部分用户交互行为都无法反映他们的实际购买行为,在这种情况下,遵循现有风格的GNN盲目传递消息可能会从这些不可靠的交互中捕获错误的协同信号,从而阻碍基于GNN的推荐系统的性能。
协同效应
设是用户-物品交互二部图,顶点集
包含用户集合
和物品集合
。本工作只考虑隐式反馈,
表示节点p和q之间存在边,网络拓扑抽象为邻接矩阵
。
设表示节点p的l-跳邻居集合,而
是邻居子图。
表示节点p和q之间长度为l的最短路径集合,路径之一表示为
。
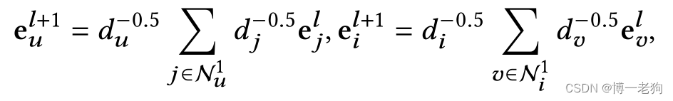
LightGCN的信息传递过程被定义为:

其中是节点u的度(一阶邻居的个数),

本文提出一种协作意识图卷积网络(Collaboration-AwareGraphConvolution,CAGCN),旨在改进图神经网络在推荐系统中的应用,通过考虑协同效应的有效性来增强信息传递。CAGCN通过CIR(公共交互比率)调整边权重,实验证明了这种方法在减少噪声交互的影响和提升性能方面的有效性。
最低0.47元/天 解锁文章
1687





