
The American Journal of GASTROENTEROLOGY (IF=10.241)
10位原发性硬化性胆管炎患者的粪便微生物移植:一个试点的临床试验
研究背景
百趣代谢组学分享,原发性硬化性胆管炎(Primary sclerosing cholangitis,PSC)是慢性胆汁淤积性疾病,其特征为肝内外胆管进行性炎症和纤维化,进而导致多灶性胆管狭窄。大多数患者最终发展为肝硬化、门静脉高压和肝功能失代偿【1,2】。原发性硬化性胆管炎多见于年轻男性,而且往往与炎性肠病(如溃疡性结肠炎(Ulcerative colitis,UC)或克罗恩病(Crohn’s disease,CD)),尤其是UC(80%以上)有关【3】。用于治疗UC的药物尚未有效地降低炎症或缓解PSC的发生发展【4,5】。
目前市场上没有药物通过食品和药物管理局(FDA)批准用于PSC治疗。百趣代谢组学分享,最新研究发现粪便微生物移植(Fecal microbiota transplantation,FMT)改变了复发性艰难梭菌(Clostridioides difficile)感染的范式治疗手段,为其他慢性疾病的微生态治疗提供了思路【6】。此外,已有研究表明PSC与肠道微生物群的紊乱密切相关,因此,本研究旨在评估FMT治疗PSC患者的安全性,及其引起的肝酶表达、微生物群落以及胆汁酸代谢变化。
志愿者招募和粪菌移植
本研究通过Brigham and Women’s Hospital伦理审查委员会的伦理审查,以及社会公开招募并取得志愿者的知情同意(NCT02424175),Brigham and Women’s Hospital临床试验中心一共将10名PSC志愿者纳入FMT干预研究中。PSC患者的临床信息可参考Table 1。百趣代谢组学分享,PSC志愿者人群都有6个月以上的临床确诊记录以及>1.5X碱性磷酸酶(ALP)表达,并且进行磁共振胰胆管造影确诊无肝硬化疾病。此外,排除4个星期内使用熊去氧胆酸(ursodeoxycholic acid,UDCA)、2个月内使用过抗生素、1个月内使用过益生菌或者益生元以及进行IBD治疗的患者。咪唑硫嘌呤(Azathioprine)和美沙拉嗪(mesalamine/5-ASA)被允许进行协同治疗。
粪菌捐献者筛选主要参考OpenBiome(Somerville)标准从已构建的粪菌库里筛选【7】。简言之,捐献者需要进行传染病、细菌、病毒、真菌和健康调查【8】。最终筛选出一位合格的粪菌捐献者进行粪菌移植。百趣代谢组学分享,所有人员在FMT前都不能使用抗生素,之后通过结肠镜检查将90 mL 的菌群微生物定植在右结肠。后续分别收集粪菌捐献者baseline、粪菌受试者baseline和FMT治疗后1、4、8、12和24个星期的粪便样本,一方面进行16S rRNA V4区域的宏基因组学检测,另一方面进行胆汁酸非靶向代谢组学检测(55个胆汁酸:36个非结合性胆汁酸、12个牛磺酸结合性胆汁酸和7个甘氨酸结合性胆汁酸(Steraloids, Newport, RI)。

FMT后PSC患者血清肝酶变化
经过FMT粪菌移植后1、4、8、12和24个星期的观察,初期临床结果表明粪菌移植治疗PSC是相对安全的,并无相关不良临床事件发生。百趣代谢组学分享,如图1所示,30%(3/10)PSC患者都出现了 ≥ 50%的ALP降低,70%(7/10)PSC患者都出现30%的丙氨酸转氨酶(ALT)或者天冬氨酸转氨酶(AST)的降低。后续因为有一患者无法忍受不使用UDCA,为了便于数据解读,将其进行移除。

图1. 每个患者的血清肝脏酶表达情况
A)原始血清肝酶强度;B)同baseline标准化的血清肝酶强度。虚线是 50% baseline的强度线。
FMT后PSC患者菌群变化
通过对粪便进行16S宏基因组学测序发现,如图2A所示,FMT前PSC患者的多样性与捐献者baseline具有显著性差异(P = 0.0058),FMT一周后PSC患者的多样性与捐献者接近而不具有显著性差异(P = 0.053)。百趣代谢组学分享,此外,PSC受试者在FMT移植后的多样性于24周内稳步保持,并与健康捐献者接近(如图2B和2C)。

图2. FMT改善了PSC患者微生物多样性且与健康捐献者相似
A)PSC受试FMT前后1周alpha多样性变化;B)PSC受试者连续24周alpha多样性变化;C)PSC受试者与捐献者的相似度。
为了区分哪些菌群是FMT移植定植的,作者自定义将移植后的PSC患者粪便菌群分为 control OTUs、rare engrafters、frequent engrafters。control OTUs 是指捐献者粪便中没有但PSC患者粪便中有且在粪菌移植后增加的菌,rare engrafters 是指在少于50%PSC患者中经FMT移植定植的菌群,frequent engrafters 是指至少在50%PSC患者中经FMT移植定植的菌群。
百趣代谢组学分享,如图3所示,一共有2204个OTU属于 engrafter OTUs,其中24个是 frequent engrafters,里面有被报导的菌群,如 Desulfovibrio 和 Faecalibacterium 被发现在PSC患者中缺失【9,10】,而在FMT后显著性增加。此外,如图4所示,frequent engrafters 与ALP含量具有显著性关联性,而且在24个 frequent engrafters 中产短链脂肪酸的菌如属水平的 Odoribacter、 Alistipes和Erysipelotrichaceae incertae sedis【11】与ALP呈现显著性负相关作用。

图3. FMT后PSC患者中24个显著性定植菌群

图4. FMT后菌群与血清ALP的相关性
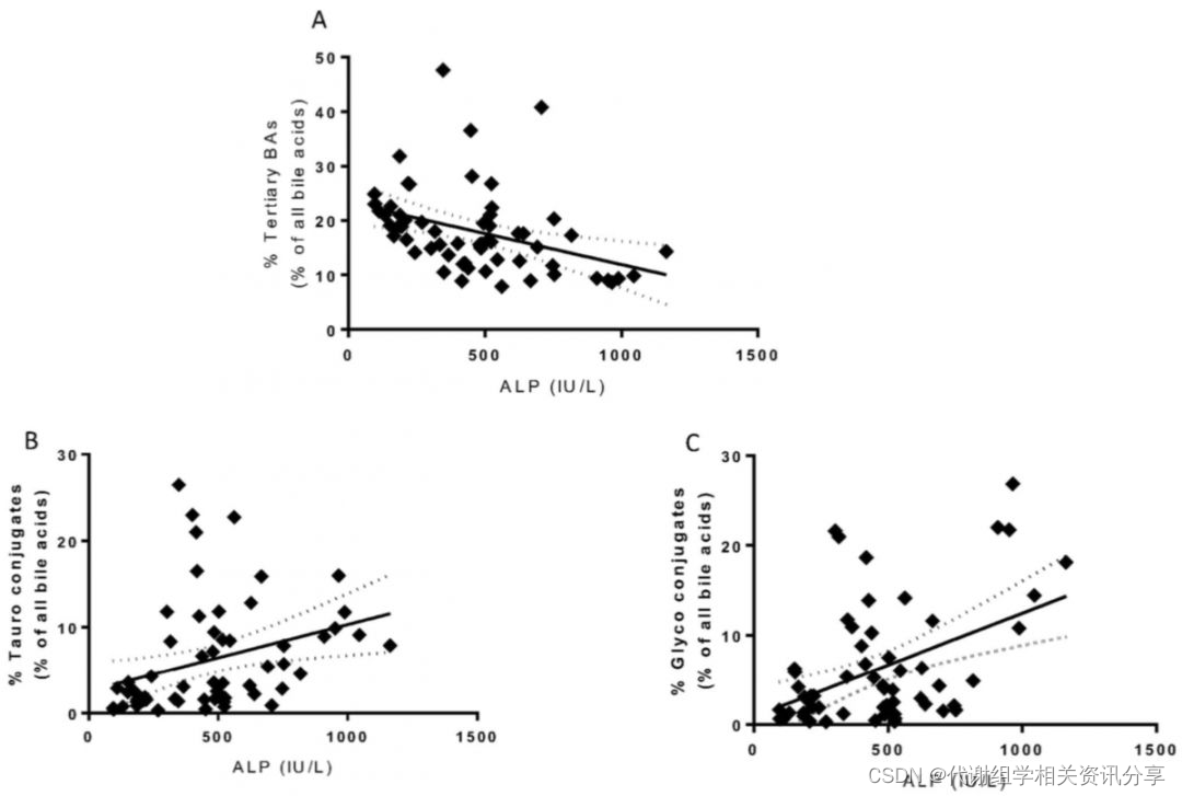
FMT后PSC患者胆汁酸代谢变化
对PSC患者粪便进行胆汁酸非靶向代谢组学研究,无师监督主成分分析(PCA)发现患者的胆汁酸代谢具有个体特异性(如图5A),并不能按照FMT移植时间周期进行区分(如图5B)。百趣代谢组学分享,有师监督分析也无法区分开FMT移植时间周期,进一步表明FMT对个体胆汁酸代谢无显著性影响。此外,FMT移植前的PSC患者胆汁酸代谢谱与粪菌捐献者类似(如图5C)。

图5. 胆汁酸代谢的主成分分析(PCA)
为了研究血清中ALP含量与胆汁酸的关联:(1)使用多元回归分析PLS表明ALP含量与代谢物具有显著性关联(P<0.0001);(2)使用斯皮尔曼关联分析,发现UDCA与肝酶具有显著性负相关作用(r = -0.423 for ALP, r = -0.53 for AST, r = -0.61 for ALT),三级胆汁酸(指从初级胆汁酸通过微生物代谢修饰形成的胆汁酸,如7α/β-异构化的鹅去氧胆酸形成UDCA)也与肝酶具有显著负相关作用(r = -0.40 for ALP, r = -0.56 for AST, r = -0.61 for ALT),而氨基结合性胆汁酸与肝酶具有显著性正相关作用(r = 0.39 for ALP, r = 0.41 for AST, and r = 0.43 for ALT);(3)使用线性拟合模型发现ALP与三级胆汁酸显著性负相关(P = 0.0028,如图6A),ALP与牛磺胆汁酸和甘氨胆汁酸显著性正相关(P = 0.01,如图6B;P = 0.0004,如图6C)。

图6. 粪便胆汁酸与ALP的线性拟合分析
综上所述,该研究是全球第一个人体粪菌移植FMT进行PSC患者干预治疗的试验。研究初步表明FMT在PSC人群中治疗相对安全,百趣代谢组学分享,但是仍然需要更多的人群进行随机双盲试验进行验证;PSC患者经过FMT移植后菌群多样性增高,定植度高的菌群与血清中降低的ALP具有显著性关联,未来需要对这些定植度高的菌进行分离培养,并解读他们在PSC患者体内的作用机制从而为靶向治疗提供数据支撑。
一项关于粪便微生物移植(FMT)治疗原发性硬化性胆管炎(PSC)的临床试验显示,FMT能够安全地改善患者的肝酶水平,并使患者的肠道微生物群多样性接近健康捐赠者。
2158

被折叠的 条评论
为什么被折叠?



