信息
信息是用来消除随机不确定性的东西,放在机器学习的语境里是这样的,每个类xi的信息为:

I表示信息,p(xi)表示指xi的概率
熵
熵是对随机变量不确定性的度量,是信息的期望值

熵只依赖于随机变量的分布,和其取值没有关系
熵是用来度量不确定的,所以熵越大,X=xi的不确定性越大
给了样本集合D后,其经验熵为:

k表示有k个分类,|CK|为样本集中属于K类的样本数
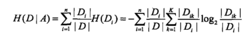
条件熵
在一个条件下,随机变量的不确定性

机器学习中可以理解为给定某个特征后的熵
比如在一个集合中,年龄特征下有青年、中年、老年三项,最后的分类分为是、否两类
那在年龄中==青年、中年、老年的情况下,在各自集合里都有样本属于是、否不同的类别
可以分贝算出H(Y|X=青年)、H(Y|X=中年)和H(Y|X=老年),以及p(青年)、p(中年)、p(老年),相乘求和就可以计算在年龄条件下的条件熵
经验条件熵

信息增益
熵 - 条件熵
信息增益可以作为决策树中用来选择特征的指标
由于 熵 是随机变量的不确定性, 条件熵是在某一条件下随机变量的不确定性,所以信息增益就是某一条件下随机变量不确定性减少的程度

在决策树构建时,H(Y)表示划分前的熵,H(Y|X)表示划分后的条件熵,后者越小,说明在此条件下随机变量的不确定度越小,相应的信息增益越大,我们想要的正是随机变量的不确定性变小、纯度变高,也就是选择信息增益最大的,ID3算法中就以此为特征选择的方式(sklearn中决策树的critir参数为‘entropy’)
但是信息增益偏向取值较多的特征,要解决这个缺点可以用信息增益比
信息增益比

就是上面在A条件下的熵
基尼指数
Gini系数是一种与信息熵类似的做特征选择的方式,可以用来数据的不纯度。在CART(Classification and Regression Tree)算法中利用基尼指数构造二叉决策树(选择基尼系数最小的特征及其对应的特征值)。
基尼指数(基尼不纯度):表示在样本集合中一个随机选中的样本被分错的概率。
是sklearn决策树的默认选择标准
注意: Gini指数越小表示集合中被选中的样本被分错的概率越小,也就是说集合的纯度越高,反之,集合越不纯。
基尼指数(基尼不纯度)= 样本被选中的概率 * 样本被分错的概率


CART是个二叉树,也就是当使用某个特征划分样本集合只有两个集合:1. 等于给定的特征值 的样本集合D1 , 2 不等于给定的特征值 的样本集合D2
实际上是对拥有多个取值的特征的二值处理。
某个特征划分后的Gini指数:
(毕竟是二叉)
因而对于一个具有多个取值(超过2个)的特征,需要计算以每一个取值作为划分点,对样本D划分之后子集的纯度Gini(D,Ai),(其中Ai 表示特征A的可能取值)
然后从所有的可能划分的Gini(D,Ai)中找出Gini指数最小的划分,这个划分的划分点,便是使用特征A对样本集合D进行划分的最佳划分点。

本文深入探讨了信息论在机器学习中的应用,包括信息、熵、条件熵等概念,解析了决策树中信息增益与信息增益比的计算方法,以及基尼指数在CART算法中的作用。
6647

被折叠的 条评论
为什么被折叠?



