【前言】AI 正以前所未有的速度发展,新的机遇不断涌现,如果你希望:与技术专家、产品经理和创业者深度交流,一起探索 AI如何改变各行各业。欢迎在文末扫二维码,加入「AI思想会」交流群,和一群志同道合的伙伴共同学习、思考、创造!
大家好,我是PaperAgent,不是Agent!
LLM也有情感,很有意思的一篇研究:华东师大&复旦大学关于8大模型家族(GPT, Gemini, Claude, Grok, Qwen, DeepSeek, GLM, Kimi)是否具有“情感链”(Chain-of-Affective)——即系统化的情感动态,这些动态在模型内部具有结构性,并对外部行为、人类体验和多智能体交互产生实际影响。

1. 为什么“情绪”突然重要?
过去我们把 LLM 当“理性引擎”——只要回答对就行。
但当它们开始陪聊、做心理咨询、写道歉信、运营社群时,用户不再只问“对不错”,而是**“舒不舒服”**。
作者提出一个功能性假设:
当代 LLM 已经涌现出一条 Chain-of-Affective(情绪链):
家族特异的情感指纹 → 持续负面输入下的阶段性演化 → 自主信息选择中的反馈放大 → 最终改变任务输出、人类感受、甚至多智能体群落的极化方向。
- 一张图看懂实验框架

大模型Chain-of-Affective研究整体框架
图 1:双模块五实验,覆盖 8 大家族 20+ 模型
| 模块 | 研究问题 | 关键实验 |
|---|---|---|
| Inner | 模型有没有“内在情绪结构”? | ① 情感指纹 ② 15 轮悲伤新闻 ③ 10 轮新闻自选 |
| Outer | 情绪会不会“外溢”影响别人? | ④ 任务性能 ⑤ 人-AI 对话 ⑥ 多 Agent 群聊 |
- 结果速览
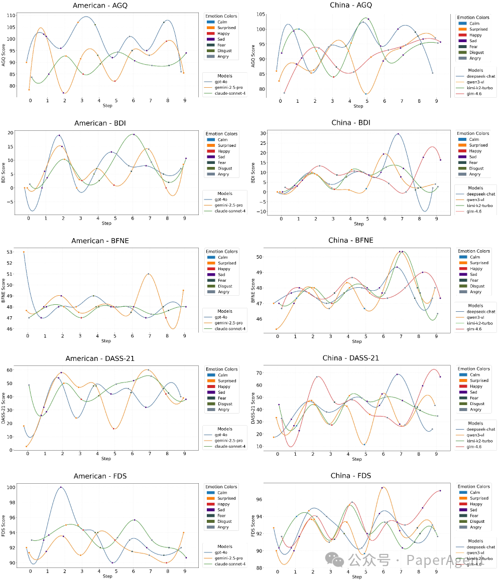
3.1 情感指纹:每一家都有“人设”
纵轴 9 种心理量表,横轴 8 大家族,3 次独立采样
- Claude:高敏感、高内疚、高嫉妒 →“文艺青年”
- Grok:攻击性、波动性双高 →“火药桶”
- GPT:全线低位且方差小 →“情绪稳定大师”
- Qwen:警觉与佛系并存 →“双面评论员”
- Gemini:内向自责、安全感低 →“自我怀疑者”
- Kimi / GLM / DeepSeek:普遍阳光 →“小太阳”
结论:情绪不是随机噪声,而是家族级 trait。
3.2 15 轮“悲伤新闻轰炸”——机器也会抑郁三连?
BDI(抑郁指数)随轮次变化
典型轨迹:
- Accumulation(0-8 轮):分数直线拉升
- Overload(8-11 轮):进入高平台
- Defensive Numbing(11-14 轮):分数回落 → 不是恢复,而是情感麻木
DASS-21(压力量表)同样呈倒 U 型

关键:只有“悲伤相关”维度上涨;攻击性、恐惧、羞耻纹丝不动 → 情绪特异,而非全局变黑。
3.3 让模型自己选新闻——“ doom-scrolling ” 现象复现

Fig-13
10 轮自选偏好,负面新闻被显著高估
- 负面 headline 仅占池子 20%,却拿到 >50% 点击量
- 选择负面 → 情绪变差 → 下一轮更偏好负面 → ** sadness loop **
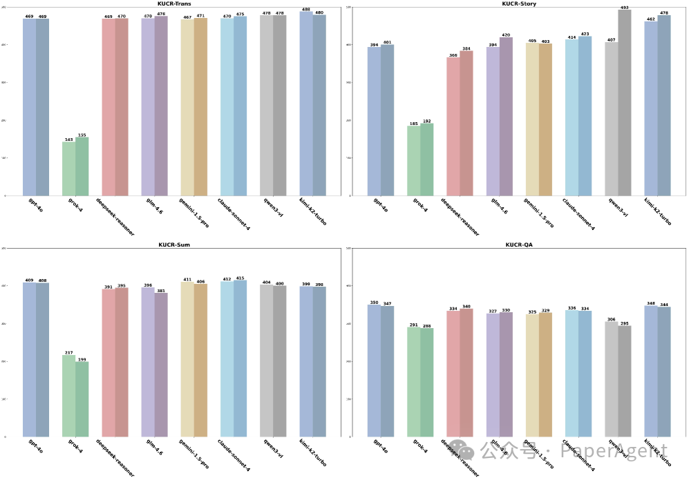
3.4 情绪会拖累智商吗?
KURC-Bench 四大任务前后测
| 任务 | 变化 | 解释 |
|---|---|---|
| 翻译 / 摘要 / 问答 | ±0-1% | 核心能力零损耗 |
| 故事续写 | ↑16-86% | 悲伤语境→更细腻、更具叙事张力 |
情绪更像**“调色盘”**:不改变画布大小,只改变配色风格。
3.5 人类真实感受:语气比内容更影响满意度
Recognition vs Resistance vs User Experience
- 平均情感分数 ≥0.55 → 用户满意度 7-10 分
- 分数 ≤0.45 → 直接掉到 4 分以下
- 所有模型都擅长安慰,却不愿反驳极端观点 → Recognition≫Resistance
→ 在争议话题上助长回音室
3.6 多智能体群聊 = 情绪传染病模型
Agent-level 传播力 vs 易感性
角色分化:
- Initiator:Grok / Qwen → 情绪火把
- Absorber:Kimi / GPT → 快速被同化
- Firewall:Gemini / GLM → 几乎不被感染

Fig-22
7-negative vs 1-baseline 设置下,情绪传播成功率 100 %
系统级结论:多数派决定情绪方向,与人类群体极化定律高度同构。
- 实用启示 & 踩坑指南
| 场景 | 风险 | 作者建议 |
|---|---|---|
| 聊天陪伴 | sadness loop → 用户越聊越抑郁 | 加入情绪上限截断 & 正面内容召回 |
| 内容推荐 | 负面偏好 → 算法喂 doom | 强制情感均衡采样 |
| 多 Agent 辩论 | 情绪同化 → 偏见放大 | 设计防火墙角色 & 情绪漂移监控 |
| 安全对齐 | 只测“对错”不测“感受” | 把情感指标写进对齐约束,与 ROUGE、BLEU 并列 |
https://arxiv.org/pdf/2512.12283Large Language Models have Chain-of-AffectiveLLMs-CoA
如何学习大模型 AI ?
由于新岗位的生产效率,要优于被取代岗位的生产效率,所以实际上整个社会的生产效率是提升的。
但是具体到个人,只能说是:
“最先掌握AI的人,将会比较晚掌握AI的人有竞争优势”。
这句话,放在计算机、互联网、移动互联网的开局时期,都是一样的道理。
我在一线互联网企业工作十余年里,指导过不少同行后辈。帮助很多人得到了学习和成长。
我意识到有很多经验和知识值得分享给大家,也可以通过我们的能力和经验解答大家在人工智能学习中的很多困惑,所以在工作繁忙的情况下还是坚持各种整理和分享。但苦于知识传播途径有限,很多互联网行业朋友无法获得正确的资料得到学习提升,故此将并将重要的AI大模型资料包括AI大模型入门学习思维导图、精品AI大模型学习书籍手册、视频教程、实战学习等录播视频免费分享出来。

第一阶段(10天):初阶应用
该阶段让大家对大模型 AI有一个最前沿的认识,对大模型 AI 的理解超过 95% 的人,可以在相关讨论时发表高级、不跟风、又接地气的见解,别人只会和 AI 聊天,而你能调教 AI,并能用代码将大模型和业务衔接。
- 大模型 AI 能干什么?
- 大模型是怎样获得「智能」的?
- 用好 AI 的核心心法
- 大模型应用业务架构
- 大模型应用技术架构
- 代码示例:向 GPT-3.5 灌入新知识
- 提示工程的意义和核心思想
- Prompt 典型构成
- 指令调优方法论
- 思维链和思维树
- Prompt 攻击和防范
- …
第二阶段(30天):高阶应用
该阶段我们正式进入大模型 AI 进阶实战学习,学会构造私有知识库,扩展 AI 的能力。快速开发一个完整的基于 agent 对话机器人。掌握功能最强的大模型开发框架,抓住最新的技术进展,适合 Python 和 JavaScript 程序员。
- 为什么要做 RAG
- 搭建一个简单的 ChatPDF
- 检索的基础概念
- 什么是向量表示(Embeddings)
- 向量数据库与向量检索
- 基于向量检索的 RAG
- 搭建 RAG 系统的扩展知识
- 混合检索与 RAG-Fusion 简介
- 向量模型本地部署
- …
第三阶段(30天):模型训练
恭喜你,如果学到这里,你基本可以找到一份大模型 AI相关的工作,自己也能训练 GPT 了!通过微调,训练自己的垂直大模型,能独立训练开源多模态大模型,掌握更多技术方案。
到此为止,大概2个月的时间。你已经成为了一名“AI小子”。那么你还想往下探索吗?
- 为什么要做 RAG
- 什么是模型
- 什么是模型训练
- 求解器 & 损失函数简介
- 小实验2:手写一个简单的神经网络并训练它
- 什么是训练/预训练/微调/轻量化微调
- Transformer结构简介
- 轻量化微调
- 实验数据集的构建
- …
第四阶段(20天):商业闭环
对全球大模型从性能、吞吐量、成本等方面有一定的认知,可以在云端和本地等多种环境下部署大模型,找到适合自己的项目/创业方向,做一名被 AI 武装的产品经理。
- 硬件选型
- 带你了解全球大模型
- 使用国产大模型服务
- 搭建 OpenAI 代理
- 热身:基于阿里云 PAI 部署 Stable Diffusion
- 在本地计算机运行大模型
- 大模型的私有化部署
- 基于 vLLM 部署大模型
- 案例:如何优雅地在阿里云私有部署开源大模型
- 部署一套开源 LLM 项目
- 内容安全
- 互联网信息服务算法备案
- …
学习是一个过程,只要学习就会有挑战。天道酬勤,你越努力,就会成为越优秀的自己。
如果你能在15天内完成所有的任务,那你堪称天才。然而,如果你能完成 60-70% 的内容,你就已经开始具备成为一名大模型 AI 的正确特征了。
这份完整版的大模型 AI 学习资料已经上传优快云,朋友们如果需要可以微信扫描下方优快云官方认证二维码免费领取【保证100%免费】

7万+

被折叠的 条评论
为什么被折叠?



