一、研究背景与目的
以 ChatGPT、文心一言为代表的知识增强大语言模型的出现,使得人工智能生成内容(AIGC)迅速跻身于互联网信息生成领域,弥补了专业生成内容(PGC)和用户生成内容(UGC)的不足。当前学界多关注 AIGC情境下的用户信息行为、信息质量等议题,但缺乏从用户感知信息价值角度对AIGC进行测度与评价,也缺少与传统搜索引擎的对比研究。 本研究选取文心一言(知识增强大语言模型)与百度搜索引擎(传统搜索引擎)为研究对象,通过实验探究不同任务复杂性、不同信息获取场景下,用户使用两种工具后的感知信息价值差异,为两类工具的优化设计提供参考。
二、文献综述
(一)信息价值与信息质量
信息价值是衡量信息重要性和有用性的标准,具有多维性、主观性等特征,信息质量是其核心构成。准确性、客观性、相关性、完整性等评估指标被频繁的提及与应用。,且可从用户感知视角进行测度。现有研究多聚焦传统搜索工具的信息价值评估,尚未涉及 AIGC 与传统搜索引擎的对比研究。
(二)信息检索任务复杂性
任务复杂性对用户信息搜索行为、结果应用行为及情绪有显著影响。随着任务复杂性提升,用户信息需求增加,搜寻成功率可能下降。然而,现有研究多关注传统搜索情境,尚未涉及大语言模型场景下的任务复杂性问题。
(三)信息获取场景
信息获取场景是影响用户信息行为的关键因素,健康型、旅行型、研究型是常见的场景类型。已有研究聚焦于传统搜索工具用户在不同场景下的信息行为差异,但大语言模型与传统搜索引擎用户在不同场景下的感知信息价值对比尚属空白。
三、研究设计
(一)研究假设
H1:用户使用文心一言和百度获取信息后,在感知信息价值上存在差异。 H2:面对复杂性不同的任务,用户使用两种工具获取信息后在感知信息价值存在差异。 H3:在不同信息获取场景下,用户使用两种工具获取信息后在感知信息价值存在差异。
(二)研究变量
感知信息价值:选取准确性、客观性、相关性等 13 项指标,采用 Likert 7 分量表测量。 任务复杂性:分为简单任务(答案唯一、明确)、复杂任务(答案需整合验证)、开放式任务(结果多元开放)三类。 信息获取场景:设置旅行型、健康型、科学型三类场景,对应 9 项具体任务。
(三)实验对象与步骤
实验对象:52 名被试,均有百度搜索和文心一言使用经验,专业背景分布广泛。 实验步骤:被试随机分为两组,分别使用两种工具完成 9 项任务;实验前填写基本情况问卷,实验中录屏记录过程,实验后填写感知信息价值测度问卷,共回收 468 份有效问卷。
四、实验结果
(一)信息获取工具对感知信息价值的影响
用户在准确性、客观性、相关性等 7 项指标上存在显著差异(p<0.05):文心一言在准确性、客观性等 6 项指标上得分更高,百度搜索在 “参考来源或链接” 指标上得分更高(4.085 vs 2.201)。 在可行性、语气措辞等 6 项指标上,两种工具无显著差异(p>0.05)。
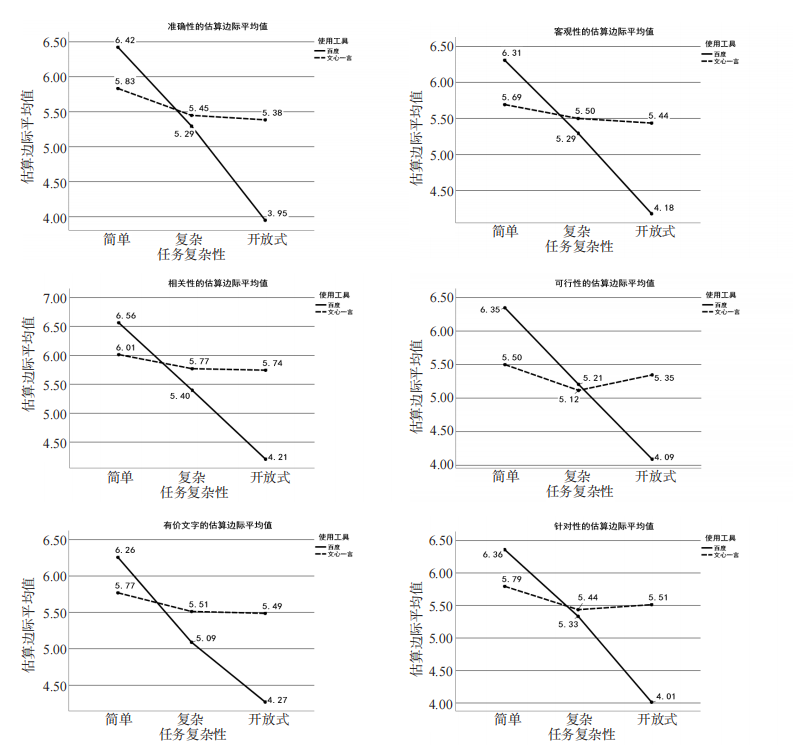
(二)信息获取工具与任务复杂性的交互影响
简单任务:百度在准确性、客观性等 8 项指标上感知价值更高,两者在新颖性、启发性上无显著差异。 复杂任务:两种工具在 10 项指标上感知差异不明显。 开放式任务:文心一言在准确性、客观性等 10 项指标上表现更优。 共性:所有任务类型中,百度在 “参考来源或链接” 指标上均优于文心一言。


任务复杂性x信息获取工具变量均值图

“参考来源或链接”下信息获取工具x任务复杂性均值图
(三)信息获取工具与信息获取场景的交互影响
在旅行型、健康型、科学型场景下,两种工具在 13 项感知信息价值指标上均无显著差异(p>0.05),即两者在以上场景中均能满足用户基本信息需求。
五、研究结论与优化建议
(一)研究结论
用户使用文心一言或百度获取信息后,在准确性、客观性等7 项感知信息价值指标上存在显著差异,其余指标无差异。 不同任务复杂性下,除语气措辞、原创性外,用户使用文心一言或百度获取信息后,在其余 11 项指标存在显著差异。 不同信息获取场景下,用户使用文心一言或百度获取信息后,在所有 13 项指标均无显著差异。
(二)优化建议
知识增强大语言模型:优化语气措辞的拟人化表达;强化场景化细节呈现与个性化推荐;建立参考来源机制,引入人工审核保障权威性。 传统搜索引擎:优化检索交互体验,支持口语化提问;强化知识图谱构建,精炼呈现核心信息;完善信息来源可信度评估与可视化标注。
(三)研究局限
信息获取场景与实验平台有限,未涉及细分垂直场景。 感知信息价值指标体系可进一步扩充,如加入结果组织性等指标。 未考虑工具、任务复杂性、场景的三重交互作用。
最后
为什么要学AI大模型
当下,⼈⼯智能市场迎来了爆发期,并逐渐进⼊以⼈⼯通⽤智能(AGI)为主导的新时代。企业纷纷官宣“ AI+ ”战略,为新兴技术⼈才创造丰富的就业机会,⼈才缺⼝将达 400 万!
DeepSeek问世以来,生成式AI和大模型技术爆发式增长,让很多岗位重新成了炙手可热的新星,岗位薪资远超很多后端岗位,在程序员中稳居前列。

与此同时AI与各行各业深度融合,飞速发展,成为炙手可热的新风口,企业非常需要了解AI、懂AI、会用AI的员工,纷纷开出高薪招聘AI大模型相关岗位。

最近很多程序员朋友都已经学习或者准备学习 AI 大模型,后台也经常会有小伙伴咨询学习路线和学习资料,我特别拜托北京清华大学学士和美国加州理工学院博士学位的鲁为民老师给大家这里给大家准备了一份涵盖了AI大模型入门学习思维导图、精品AI大模型学习书籍手册、视频教程、实战学习等录播视频 全系列的学习资料,这些学习资料不仅深入浅出,而且非常实用,让大家系统而高效地掌握AI大模型的各个知识点。
这份完整版的大模型 AI 学习资料已经上传优快云,朋友们如果需要可以微信扫描下方优快云官方认证二维码免费领取【保证100%免费】
AI大模型系统学习路线
在面对AI大模型开发领域的复杂与深入,精准学习显得尤为重要。一份系统的技术路线图,不仅能够帮助开发者清晰地了解从入门到精通所需掌握的知识点,还能提供一条高效、有序的学习路径。

但知道是一回事,做又是另一回事,初学者最常遇到的问题主要是理论知识缺乏、资源和工具的限制、模型理解和调试的复杂性,在这基础上,找到高质量的学习资源,不浪费时间、不走弯路,又是重中之重。
AI大模型入门到实战的视频教程+项目包
看视频学习是一种高效、直观、灵活且富有吸引力的学习方式,可以更直观地展示过程,能有效提升学习兴趣和理解力,是现在获取知识的重要途径

光学理论是没用的,要学会跟着一起敲,要动手实操,才能将自己的所学运用到实际当中去,这时候可以搞点实战案例来学习。

海量AI大模型必读的经典书籍(PDF)
阅读AI大模型经典书籍可以帮助读者提高技术水平,开拓视野,掌握核心技术,提高解决问题的能力,同时也可以借鉴他人的经验。对于想要深入学习AI大模型开发的读者来说,阅读经典书籍是非常有必要的。

600+AI大模型报告(实时更新)
这套包含640份报告的合集,涵盖了AI大模型的理论研究、技术实现、行业应用等多个方面。无论您是科研人员、工程师,还是对AI大模型感兴趣的爱好者,这套报告合集都将为您提供宝贵的信息和启示。

AI大模型面试真题+答案解析
我们学习AI大模型必然是想找到高薪的工作,下面这些面试题都是总结当前最新、最热、最高频的面试题,并且每道题都有详细的答案,面试前刷完这套面试题资料,小小offer,不在话下


这份完整版的大模型 AI 学习资料已经上传优快云,朋友们如果需要可以微信扫描下方优快云官方认证二维码免费领取【保证100%免费】
797

被折叠的 条评论
为什么被折叠?



