99.恢复二叉搜索树
题目描述
给定二叉搜索树的根节点root,该树种的两个节点被错误地交换。请在不改变其结构的情况下,恢复这棵树。
示例1

输入:root = [1,3,null,null,2]
输出:[3,1,null,null,2]
解释:3 不能是 1 左孩子,因为 3 > 1 。交换 1 和 3 使二叉搜索树有效。
示例2

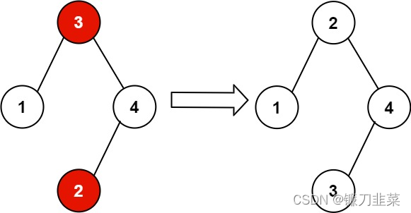
输入:root = [3,1,4,null,null,2]
输出:[2,1,4,null,null,3]
解释:2 不能在 3 的右子树中,因为 2 < 3 。交换 2 和 3 使二叉搜索树有效。
提示
- 树上节点的数目在范围 [ 2 , 1000 ] [2,1000] [2,1000]内
- − 2 31 ≤ N o d e . v a l ≤ 2 31 − 1 -2^{31}\le Node.val\le 2^{31}-1 −231≤Node.val≤231−1
解题思路
解法1:显示中序遍历
考虑两个节点被错误地交换后对原二叉搜索树造成了什么影响。对于二叉搜索树,我们知道如果对其进行中序遍历,得到的值序列是递增有序的,而如果我们错误地交换了两个节点,等价于在这个值序列中交换了两个值,破坏了值序列的递增性。
假设一个递增序列 a = [ 1 , 2 , 3 , 4 , 5 , 6 , 7 ] a=[1,2,3,4,5,6,7] a=[1,2,3,4,5,6,7]。如果交换两个不相邻的数字,如2和6,原序列变成了 a = [ 1 , 6 , 3 , 4 , 5 , 2 , 7 ] a=[1,6,3,4,5,2,7] a=[1,6,3,4,5,2,7],那么显然序列中有两个位置不满足 a i < a i + 1 a_i<a_{i+1} ai<ai+1,在这个序列中体现为 6 > 3 , 5 > 2 6>3,5>2 6>3,5>2,所以只需要找到这两个位置,即可找到被错误交换的两个节点。如果交换两个相邻的数字,例如2和3,此时交换后的序列只有一个位置不满足 a i < a i + 1 a_i<a_{i+1} ai<ai+1。因此整个值序列中不满足条件的位置或者有两个,或者有一个。
至此,解题方法如下:
- 找到二叉搜索树中序遍历得到的值序列的不满足条件的位置。
- 如果找到两个,记为 i i i和 j j j,且KaTeX parse error: Expected 'EOF', got '&' at position 12: a_i>a_{i+1}&̲&a_j>a_{j+1},那么被错误交换的节点即为 a i , a j + 1 a_i,a_{j+1} ai,aj+1,分别记为x和y;
- 如果找到1个,记为i,那么被错误交换的节点即为 a i a_i ai和 a i + 1 a_{i+1} ai+1,分别记为x和y
- 交换x和y两个节点即可
实践中,需要创建一个数组nums存储中序遍历得到的值的序列,然后线性遍历找到两个位置i和j,并重新遍历原二叉搜索树修改对应节点的值完成修复。
代码展示:
#!/usr/bin/env python
# -*- coding:utf-8 -*-
# @FileName :RecoverTree.py
# @Time :2022/1/24 22:39
# @Author :PangXZ
# Leetcode 99 恢复二叉搜索树
# Definition for a binary tree node.
from typing import Optional
class TreeNode:
def __init__(self, val=0, left=None, right=None):
self.val = val
self.left = left
self.right = right
class Solution:
def recoverTree(self, root: Optional[TreeNode]) -> None:
"""
Do not return anything, modify root in-place instead.
"""
nodes = []
# 中序遍历二叉搜索树,将遍历的结果保存到list中
def inSearch(root):
if not root:
return
inSearch(root.left)
nodes.append(root)
inSearch(root.right)
inSearch(root)
x = None
y = None
pre = nodes[0]
# 扫描遍历的结果,找出可能存在错误交换的节点x和y
for i in range(1, len(nodes)):
if pre.val > nodes[i].val:
y = nodes[i]
if not x:
x = pre
pre = nodes[i]
# 如果x和y不为空,则交换这两个节点的值,恢复二叉搜索树
if x and y:
x.val, y.val = y.val, x.val
复杂度分析
- 时间复杂度:O(N),其中N为二叉搜索树的节点个数,中序遍历需要O(N)的时间,判断两个交换节点在最好的情况下是O(1),最坏的情况下是O(N),故总时间复杂度为O(N)
- 空间复杂度:O(N)。需要一个列表存储节点信息。
解法2:隐式中序遍历
解法1显式地对二叉搜索树进行中序遍历,并存储在一个列表中,然后再寻找被错误交换的节点。这里考虑在执行中序遍历过程中找出被错误交换的节点x和y。
具体地,因为只需要关注中序遍历的值序列中每个相邻的位置的大小关系是否满足条件,且错误交换后最多两个位置不满足条件。因此在中序遍历的过程中只需要维护当前中序遍历到的最后一个节点的指针pre,然后再遍历下一个节点的时候,看两个节点的值是否满足前者小于后者即可。如果不满足说明找到了一个交换的节点,且在找到两个节点后就可以终止遍历。
注意:这种方式仍然使用了外部空间,尽管只使用了常数个常量,但是递归调用仍然需要额外空间,空间复杂度为O(h),h为树的高度。
'''
方法2:使用隐式中序遍历,遍历过程中保存符合条件的上一个节点的指针pre
'''
def recoverTree2(self, root: Optional[TreeNode]) -> None:
self.x = None
self.y = None
self.pre = None
# 中序遍历二叉树,并比较上一个节点pre和当前节点的值,如果pre的值大于当前节点值,则记录下这两个节点
def inSearch(root):
if not root:
return
inSearch(root.left)
if not self.pre:
self.pre = root
else:
if self.pre.val > root.val:
self.y = root
if not self.x:
self.x = self.pre
self.pre = root
inSearch(root.right)
inSearch(root)
if self.x and self.y:
self.x.val, self.y.val = self.y.val, self.x.val
解法3:Morris中序遍历
Morris遍历算法,能将非递归的中序遍历空间复杂度降为 O ( 1 ) O(1) O(1)。具体步骤如下:
- 如果x无左孩子,则访问x的有孩子,即x=x.right
- 如果x有左孩子,则找到x左子树上最右的节点(即左子树中序遍历的最后一个节点,也就是x在中序遍历中的前驱节点(仔细想一下!)),记为predecessor。根据predecessor的右孩子是否为空,进行如下操作:
- 如果predecessor的有孩子为空,则将其右孩子指向x,然后访问x的左孩子,即x=x.left。
- 如果predecessor的右孩子不为空,则此时其右孩子指向x,说明已经遍历完x的左子树
- 将predecessor的右孩子置空,然后访问x的右孩子,即x=x.right。
- 重复上述操作,直至访问完整棵树。
其实,在整个过程中,只需将当前节点左子树中最右边的节点指向它本身,这样左子树遍历完成后通过这个指针又返回了x,且能再通过这个标记知道已经遍历完成了左子树,而不用再通过栈来维护,省去了栈空间。
另外,同样也需要维护一个pre变量去进行比较。
'''
Morris遍历算法
'''
def recoverTree3(self, root: Optional[TreeNode]) -> None:
x = None
y = None
pre = None
tmp = None
while root:
if root.left:
tmp = root.left
while tmp.right and tmp.right != root:
tmp = tmp.right
if tmp.right is None:
tmp.right = root
root = root.left
else:
if pre and pre.val > root.val:
y = root
if not x:
x = pre
pre = root
tmp.right = None
root = root.right
else:
if pre and pre.val > root.val:
y = root
if not x:
x = pre
pre = root
root = root.right
if x and y:
x.val, y.val = y.val, x.val
复杂度分析
- 时间复杂度:O(N),其中 N 为二叉搜索树的高度。Morris 遍历中每个节点会被访问两次,因此总时间复杂度为 O(2N)=O(N)。
- 空间复杂度:O(1)
内容来源: Leetcode 99 恢复二叉搜索树
本文介绍了解决二叉搜索树中两个节点错误交换的问题。提供了三种解法:显示中序遍历、隐式中序遍历及Morris中序遍历,详细阐述了每种方法的实现过程和复杂度。
413

被折叠的 条评论
为什么被折叠?



