已解答
简单
相关标签
相关企业
给定一个二叉树的根节点 root ,返回 它的 中序 遍历 。
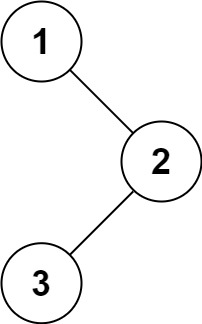
示例 1:

输入:root = [1,null,2,3] 输出:[1,3,2]
示例 2:
输入:root = [] 输出:[]
示例 3:
输入:root = [1] 输出:[1]
提示:
- 树中节点数目在范围
[0, 100]内 -100 <= Node.val <= 100
进阶: 递归算法很简单,你可以通过迭代算法完成吗?
/**
* Definition for a binary tree node.
* struct TreeNode {
* int val;
* TreeNode *left;
* TreeNode *right;
* TreeNode() : val(0), left(nullptr), right(nullptr) {}
* TreeNode(int x) : val(x), left(nullptr), right(nullptr) {}
* TreeNode(int x, TreeNode *left, TreeNode *right) : val(x), left(left), right(right) {}
* };
*/
class Solution {
public:
void mid(TreeNode *root, vector<int> &res) {
if (root == nullptr) {
return;
}
mid(root->left, res);
res.push_back(root->val);
mid(root->right, res);
}
vector<int> inorderTraversal(TreeNode* root) {
vector<int> res;
mid(root, res);
return res;
}
};
1万+

被折叠的 条评论
为什么被折叠?



