给你一个链表,删除链表的倒数第 n 个结点,并且返回链表的头结点。
示例 1:

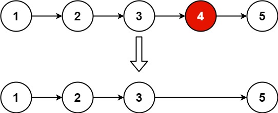
输入:head = [1,2,3,4,5], n = 2 输出:[1,2,3,5]
示例 2:
输入:head = [1], n = 1 输出:[]
示例 3:
输入:head = [1,2], n = 1 输出:[1]
提示:
- 链表中结点的数目为
sz 1 <= sz <= 300 <= Node.val <= 1001 <= n <= sz
进阶:你能尝试使用一趟扫描实现吗?
代码:
/**
* Definition for singly-linked list.
* struct ListNode {
* int val;
* ListNode *next;
* ListNode() : val(0), next(nullptr) {}
* ListNode(int x) : val(x), next(nullptr) {}
* ListNode(int x, ListNode *next) : val(x), next(next) {}
* };
*/
class Solution {
public:
int count(ListNode *head) {
int cou = 0;
ListNode *per = head;
while (per != nullptr) {
cou++;
per = per->next;
}
return cou;
}
ListNode* removeNthFromEnd(ListNode* head, int n) {
ListNode *dummy = new ListNode(0, head);
int cou = count(head);
ListNode *cur = dummy;
for (int i = 0; i < cou - n; i++) {
cur = cur->next;
}
cur->next = cur->next->next;
ListNode *ans = dummy->next;
delete dummy;
return ans;
}
};
869

被折叠的 条评论
为什么被折叠?



