给你一个链表,两两交换其中相邻的节点,并返回交换后链表的头节点。你必须在不修改节点内部的值的情况下完成本题(即,只能进行节点交换)。
示例 1:

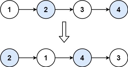
输入:head = [1,2,3,4] 输出:[2,1,4,3]
示例 2:
输入:head = [] 输出:[]
示例 3:
输入:head = [1] 输出:[1]
提示:
- 链表中节点的数目在范围
[0, 100]内 0 <= Node.val <= 100
代码:
/**
* Definition for singly-linked list.
* struct ListNode {
* int val;
* ListNode *next;
* ListNode() : val(0), next(nullptr) {}
* ListNode(int x) : val(x), next(nullptr) {}
* ListNode(int x, ListNode *next) : val(x), next(next) {}
* };
*/
class Solution {
public:
ListNode* swapPairs(ListNode* head) {
ListNode *nummy = new ListNode(0);
nummy->next = head;
ListNode *temp = nummy;
while (temp->next != nullptr && temp->next->next != nullptr) {
ListNode *node1 = temp->next;
ListNode *node2 = temp->next->next;
temp->next = node2;
node1->next = node2->next;
node2->next = node1;
temp = node1;
}
ListNode *ans = nummy->next;
delete nummy;
return ans;
}
};
2702

被折叠的 条评论
为什么被折叠?



