原文教材 与 参考资料:
Boneh Dan , Shoup Victor . A Graduate Course in Applied Cryptography[J].
该书项目地址(可以免费获取):http://toc.cryptobook.us/
博客为对该书的学习笔记,并非原创知识,帮助理解,整理思路。
12.5 CCA security from DDH without random oracles
本节将描述一个Cramer & Shoup 方案的变体方案,该方案是满足CCA安全性的。
12.5.1 Universal projective hash functions 通用投影函数
投影哈希函数,亦可以理解成为一种函数授权的形式。我们通过下面的图示来描述这个工具:

(1)Alice有一个秘密函数,她想要授权Bob也可以计算该函数,但是并不想要完全的授权,具体来说就是Alice希望Bob可以获取足够的信息计算一部分的函数f值,不是在任何输入下获得函数值。
(2)Bob掌握一个获取输入的函数,如上图所示,Bob只能掌握一个Alice想要让他知道的定义域y`。
(3)Alice给与Bob一个辅助输入信息h, 这个信息是由Alice自己计算得到的。
(4)Bob凭借h与输入y`, 可以计算出在y`下秘密函数f的值。
这个协议被成为投影哈希函数,其实也比较形象,Alice只给Bob一定的范围,那么Bob也只能根据获得的辅助h在Z上获得一个投影值。
同时要求h不能揭露任何

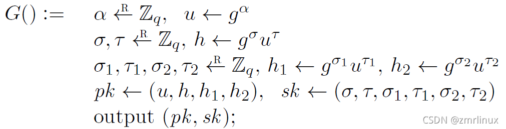
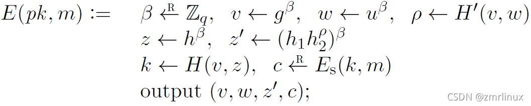
本文介绍了CCA安全的概念,特别是通过Cramer和Shoup的方案变体实现。内容涉及通用投影哈希函数,它允许部分授权函数计算,并确保在非指定域上的安全性。此外,还讨论了通用2投影哈希函数,用于增强加密方案的安全性。文章通过引理和攻击游戏阐述了这些概念,并给出了基于投影哈希函数的CCA加密方案及其安全性证明。
最低0.47元/天 解锁文章
872

被折叠的 条评论
为什么被折叠?



