原文教材 与 参考资料:
Boneh Dan , Shoup Victor . A Graduate Course in Applied Cryptography[J].
该书项目地址(可以免费获取):http://toc.cryptobook.us/
博客为对该书的学习笔记,并非原创知识,帮助理解,整理思路。
选择明文安全CPA,我个人理解是从语义安全SS上衍生出来的一种安全模型,故而在深入理解CPA语义安全时应当重新考虑一下语义安全模型。
语义安全模型定义:


语义安全模型的概念,要实现SS安全,必须保证每次加密的秘钥是随机产生的(极低概率相同),并且多秘钥的SS模型也是安全的。
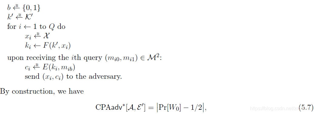
抵抗多秘钥攻击的SS模型描述如下,证明采用的"多层讨论”技术。
SSmulti-key attack安全模型如下:

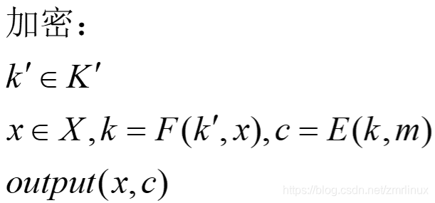
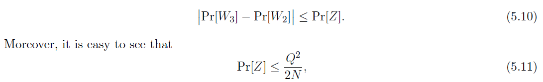
如上所述,用户使用对称加密算法,针对不同文件使用不同的秘钥进行加密,是可以保证语义安全的,但是这样会导致 大

本文探讨了明文安全CPA模型与语义安全SS的关系,重点讲解了CPA安全的定义、构造方案及证明过程,通过实例说明了如何从SS模型过渡到CPA安全模型。关键概念包括随机秘钥、多秘钥攻击和PRF在构造中的应用。
最低0.47元/天 解锁文章
752

被折叠的 条评论
为什么被折叠?



