目录
电压源和电流源模型
电流源的等效模型
一、理想电流源模型
二、实际电流源的等效模型(最常用)
三、其他等效模型(按应用场景细分)
四、核心结论
电压源的等效模型
一、理想电压源模型
二、实际电压源的等效模型(最常用)
三、其他等效模型(按应用场景细分)
四、核心结论
电压源和电流源模型
电流源的等效模型
电流源的等效模型是用于分析电路中电流源特性的简化电路表示,核心是通过 “理想电流源” 与 “内阻” 的组合,反映实际电流源的输出特性(如电流随负载的变化规律)。以下是电流源等效模型的详细解析:
一、理想电流源模型
理想电流源是理论上的理想器件,其核心特性为:
• 输出电流恒定:无论负载阻抗如何变化(在允许范围内),输出电流 IS 始终保持设定值,与负载两端的电压无关。
• 内阻无穷大:从电路模型角度,理想电流源的内阻 RCS=∞,因此负载阻抗的变化不会分流,确保输出电流全部流向负载。
符号与等效电路:
• 电路符号:通常用一个圆圈内标注电流方向和大小(如 IS)表示。
• 等效模型:仅包含理想电流源 IS,无其他元件。
适用场景:在简化电路分析(如忽略电流源内阻影响的理想情况下)时使用,例如分析基本放大电路的静态工作点时,可将偏置电流源视为理想电流源。
二、实际电流源的等效模型(最常用)
实际电流源的输出电流会随负载变化而略有波动,其等效模型需体现这一特性,由两部分组成:
- 理想电流源 IS:代表电流源的标称输出电流(理想情况下的恒定值)。
- 内阻 RCS:与理想电流源并联,模拟实际电流源因内部损耗导致的电流分流效应。
模型特点:

• 当负载阻抗 RL 变化时,内阻 RCS 会分流部分电流,导致实际输出到负载的电流 IL 为:IL=IS×RCS+RLRCS
(推导:根据并联电路电流分配规律,总电流 IS 分为流过 RCS 的电流 ICS 和流过 RL 的电流 IL,即 IS=ICS+IL,且 ICS×RCS=IL×RL,联立可得上述公式。)
• 内阻 RCS 越大,分流效应越弱,实际输出电流 IL 越接近理想值 IS(恒流特性越好)。
符号与等效电路:
• 电路符号:与理想电流源相同,但需在分析中隐含并联内阻。
• 等效模型:理想电流源 IS 与内阻 RCS 并联(见下图示意)。

三、其他等效模型(按应用场景细分)
- 考虑温度特性的模型
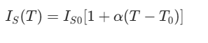
实际电流源的输出电流会受温度影响(如半导体器件的温度系数),模型中可增加 “温度相关电流源” 或 “温度系数电阻”,表示为:IS(T)=IS0[1+α(T−T0)]

其中 α 为温度系数,T0 为基准温度,用于分析温度变化对输出电流的影响(如高精度 DAC 中的电流源温漂补偿)。 - 考虑噪声的模型
电流源存在热噪声、散粒噪声等,等效模型中需在理想电流源两端并联 “噪声电流源”(功率谱密度为 2qIS,q 为电子电荷),或串联 “噪声电压源”(通过内阻转换为噪声电流),用于高精度电路的噪声分析。 - 动态等效模型(高频场景)
在高频应用中,电流源的寄生电容(如 MOS 管的结电容)不可忽略,模型中需增加并联电容 CCS,表示为:

ZCS(f)=RCS∥j2πfCCS1
用于分析高频下电流源的输出阻抗变化及对电路带宽的影响。
四、核心结论
• 最基础且常用的电流源等效模型是 “理想电流源并联内阻”,它直观反映了实际电流源的恒流特性(内阻越大,恒流性能越好)。
• 复杂场景下(如温度敏感、高频、高精度),需增加温度系数、噪声源、寄生电容等元件,使模型更贴近实际器件特性。
• 等效模型的价值在于简化电路分析,通过它可快速计算负载变化对输出电流的影响、评估电流源的精度及稳定性。
电压源的等效模型
电压源的等效模型是用于分析电路中电压源特性的简化电路表示,核心是通过 “理想电压源” 与 “内阻” 的组合,反映实际电压源的输出特性(如输出电压随负载电流的变化规律)。以下是电压源等效模型的详细解析:
一、理想电压源模型
理想电压源是理论上的理想器件,其核心特性为:
• 输出电压恒定:无论负载电流如何变化(在允许范围内),输出电压 VS 始终保持设定值,与流过负载的电流无关。
• 内阻为零:从电路模型角度,理想电压源的内阻 RVS=0,因此负载电流的变化不会在内部产生压降,确保输出电压不受负载影响。
符号与等效电路:
• 电路符号:通常用一个圆圈内标注 “+”“-” 极性和电压值(如 VS)表示。
• 等效模型:仅包含理想电压源 VS,无其他元件。
适用场景:在简化电路分析(如忽略电压源内阻影响的理想情况下)时使用,例如分析基本串联电路的电流分配时,可将电池或稳压电源视为理想电压源。
二、实际电压源的等效模型(最常用)
实际电压源的输出电压会随负载电流变化而略有波动(如电池放电时电压下降),其等效模型需体现这一特性,由两部分组成:
- 理想电压源 VS:代表电压源的标称输出电压(理想情况下的恒定值)。
- 内阻 RVS:与理想电压源串联,模拟实际电压源因内部损耗(如导线电阻、电源内部元件电阻)导致的电压降落。
模型特点:

• 当负载电流为 IL 时,内阻 RVS 上的压降为 IL⋅RVS,因此实际输出到负载的电压 VL 为:
VL=VS−IL⋅RVS
• 内阻 RVS 越小,输出电压随负载电流的变化越平缓(带载能力越强),越接近理想电压源特性。
符号与等效电路:
• 电路符号:与理想电压源相同,但需在分析中隐含串联内阻。
• 等效模型:理想电压源 VS 与内阻 RVS 串联(见下图示意)。

三、其他等效模型(按应用场景细分)
- 考虑温度特性的模型
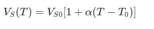
实际电压源的输出电压会受温度影响(如稳压管的温度系数),模型中可增加 “温度相关电压源”,表示为:

VS(T)=VS0[1+α(T−T0)]
其中 α 为温度系数,T0 为基准温度,用于分析温度变化对输出电压的影响(如高精度稳压电源的温漂补偿)。 - 考虑噪声的模型
电压源存在热噪声、低频噪声等,等效模型中需在理想电压源两端串联 “噪声电压源”(功率谱密度为 4kTR,k 为玻尔兹曼常数,T 为温度),用于高精度电路的噪声分析(如精密测量仪器的电源噪声评估)。 - 动态等效模型(高频场景)
在高频应用中,电压源的寄生电感(如电源引线电感)不可忽略,模型中需增加串联电感 LVS,表示为:

ZVS(f)=RVS+j2πfLVS
用于分析高频下电压源的输出阻抗变化及对电路稳定性的影响(如开关电源的高频纹波分析)。
四、核心结论
• 最基础且常用的电压源等效模型是 “理想电压源串联内阻”,它直观反映了实际电压源的带载特性(内阻越小,带载能力越强)。
• 复杂场景下(如温度敏感、高频、高精度),需增加温度系数、噪声源、寄生电感等元件,使模型更贴近实际器件特性。
• 等效模型的价值在于简化电路分析,通过它可快速计算负载电流变化对输出电压的影响、评估电压源的稳定性及带载能力。

1万+

被折叠的 条评论
为什么被折叠?



