我们把构造连通网的最小代价生成树称为最小生成树,找连通网的最小生成树,经典的有两种算法:普里姆算法(Prim)和克鲁斯卡尔算法(Kruskal)。
普里姆算法
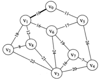
有如下邻接矩阵,9个顶点,左侧数字为行号,INFINITY为极大值65535,MAXVEX为顶点个数最大值,此处大于等于9即可。

void MiniSpanTree_Prim(MGraph G)/* Prim算法生成最小生成树 */
{
int min, i, j, k;
int adjvex[MAXVEX]; /* 保存相关顶点下标 */
int lowcost[MAXVEX]; /* 保存相关顶点间边的权值 */
lowcost[0] = 0;/* 初始化第一个权值为0,即v0加入生成树。lowcost的值为0,在这里就是此下标的顶点已经加入生成树 */
adjvex[0] = 0; /* 初始化第一个顶点下标为0 */
for(i = 1; i < G.numVertexes; i++) /* 循环除下标为0外的全部顶点 */
{
lowcost[i] = G.arc[0][i]; /* 将v0顶点与之有边的权值存入数组 */
adjvex[i] = 0; /* 初始化都为v0的下标 */
}
for(i = 1; i < G.numVertexes; i++)
{
min = INFINITY; /* 初始化最小权值为∞,通常设置为不可能的大数字如32767、65535等 */
j = 1;k = 0;
while(j < G.numVertexes) /* 循环全部顶点 */
{
if(lowcost[j]!=0 && lowcost[j] < min)/* 如果权值不为0且权值小于min */
{
min = lowcost[j]; /* 则让当前权值成为最小值 */
k = j; /* 将当前最小值的下标存入k */
}
j++;
}
printf("(%d, %d)\n", adjvex[k], k);/* 打印当前顶点边中权值最小的边 */
lowcost[k] = 0;/* 将当前顶点的权值设置为0,表示此顶点已经完成任务 */
for(j = 1; j < G.numVertexes; j++) /* 循环所有顶点 */
{
if(lowcost[j]!=0 && G.arc[k][j] < lowcost[j])
{
/* 如果下标为k顶点各边权值小于此前这些顶点未被加入生成树权值 */
lowcost[j] = G.arc[k][j];/* 将较小的权值存入lowcost相应位置 */
adjvex[j] = k; /* 将下标为k的顶点存入adjvex */
}
}
}
}
- 创建两个一维数组lowcost和adjvex,长度都为顶点个数9。
- 第6-7行我们分别给这两个数组的第一个下标位赋值为0,arjvex[0]=0 。意思是从顶点v0开始,lowcost[0]=0就表示v0已经被纳入到最小生成树中,之后凡是lowcost数组中的值被设置为0就是表示此下标的顶点被纳入最小生成树。
- 第8-12行表示我们读取邻接矩阵的第一行数据。将数值赋值给lowcost数组,所以此时lowcost数组值为{0,10,65535,65535,65535,11,65535,65535,65535},而arjvex则全部为0。此时,我们已经完成了整个初始化的工作,准备开始生成。
- 第13-36行,整个循环过程就是构造最小生成树的过程。
- 第15-16行,将min设置为一个极大值65535,它的目的是为了之后找到一定范围内的最小权值。j是用来做顶点下标循环的变量,k是用来存储最小权值的顶点下标。
- 第17-25行,循环中不断修改min为当前lowcost数组中最小值,并用k保留此最小值的顶点下标。经过循环后,min=10,k=1。lowcost[j]!=0表示已经是生成树的顶点不参与最小权值的查找。
- 第26行,因k=1,adjvex[1]=0,所以打印结果为(0,1),表示v0至v1边为最小生成树的第一条边。

- 第27行,此时因k=1,我们将lowcost[k]=0,就是说顶点v1纳入到最小生成树中,此时lowcost数组值为{0,0,65535,65535,65535,11,65535,65535,65535}。
- 第28-35行,j循环由1至8,因k=1,查找邻接矩阵的第v1行的各个权值,与lowcost的对应值比较,若更小则修改lowcost值,并将k值存入adjvex数组中。因第v1行有18,16,12均比65535小,所以最终lowcost为{0,0,18,65535,65535,11,16,65535,12}。adjvex数组的值为:{0,0,1,0,0,0,1,0,1}。第30行if判断的lowcost[j]!=0说明v0和v1已经是生成树的顶点,不参与最小权值的比对。
- 再次循环,第15行到第26行,此时min=11,k=5,adjvex[5]=0。因此打印结构为(0,5)。表示v0至v5边为最小生成树的第二条边:

- 接下来执行到第36行,lowcost数组的值为{0,0,18,65535,26,0,16,65535,12} ,adjvex数组的值为:{0,0,1,0,5,0,1,0,1}。
- 如此循环,最终得到生成树。

#include "stdio.h"
#include "stdlib.h"
#include "io.h"
#include "math.h"
#include "time.h"
#define OK 1
#define ERROR 0
#define TRUE 1
#define FALSE 0
#define MAXEDGE 20
#define MAXVEX 20
#define INFINITY 65535
typedef int Status; /* Status是函数的类型,其值是函数结果状态代码,如OK等 */
typedef struct
{
int arc[MAXVEX][MAXVEX];
int numVertexes, numEdges;
}MGraph;
void CreateMGraph(MGraph *G)/* 构件图 */
{
int i

本文介绍了图的最小生成树的概念,重点讲解了两种经典算法:普里姆算法和克鲁斯卡尔算法。通过详细步骤解析了普里姆算法如何从顶点出发构建最小生成树,以及克鲁斯卡尔算法如何直接寻找最小权值的边来构建生成树,同时避免形成环路。最后展示了两种算法的运行结果。
最低0.47元/天 解锁文章
2471

被折叠的 条评论
为什么被折叠?



