简单概念


基本模型:

输入乘以权重之后累加,大于一定的阈值(f为阈值函数)才会有输出,阈值函数有多种选择。

单层神经网络(单层感知机)

WT是权重矩阵。
整个过程大致是收集标注样本、训练神经网络、测试神经网络。


Hebb学习规则只根据神经元连接间的激活水平改变权值,因此这种方法又称为相关学习或并联学习。
在ANN中Hebb算法最简单可以描述为:如果一个处理单元从另一处理单元接收输入激励信号,而且如果两者都处于高激励电平,那么处理单元之间的加权就应当增强。
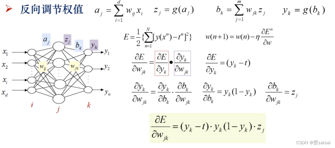
公式中E是目标值和输出值的差,求对权重偏导。
如果一个神经元出现会激发附近的另一个神经元,那么这两个神经元间的联系就会强化,从而记住这两个事物之间存在着联系。相反,如果两个神经元总是不能同步激发,那么它们间的联系将会越来越弱。
下面是截取其他博主的解释:

不过这里感觉应该是yj-yi

单层神经网络训练得到的精度会比较差。
多层神经网络(多层感知机)


反向传播的例子及通俗理解: 第四章反向传播法

深度学习



以前由于计算机性能等的影响没有深度学习

卷积神经网络






深度学习网络
循环神经网络







学习工具:




本文介绍了神经网络的基本概念,包括单层神经网络(单层感知机)、多层神经网络(多层感知机)的工作原理与训练方法,并概述了深度学习的发展背景以及卷积神经网络和循环神经网络的特点。
4527

被折叠的 条评论
为什么被折叠?



