基于蚁群算法的MTSP问题
蚁群算法
一、简介
20世纪50年代中期创立了仿生学,人们从生物进化的机理中受到启发。提出许多用以解决复杂优化问题的新方法,如进化规划、进化策略、遗传算法等,这些算法成功地解决了一些实际问题。而同时一种对自然界蚂蚁的寻径方式进行模拟而得出的仿生算法——蚁群算法也应运而生。
二、思想与简易模型
现考察如下图所示的简单情况:
我们可以清晰的看到,在蚁穴和食物之间存在两条路径,其中上路径较短,而下路径较长。在对蚂蚁的实际考察中,发现蚂蚁总会以一条最优的路径在蚁穴与食物之间进行运输,而蚂蚁又是如何判断出最优路径的呢?
研究发现,蚂蚁在寻找路径时会存在着释放信息素和受信息素导引的现象。所谓释放信息素是指蚂蚁在一条路径上行走时,会在该路径上释放信息素来指引其他蚂蚁的行径;而受信息素导引是指,蚂蚁在走过路口时,选择信息素浓度较高的路径概率会相对较大,下面我会以最简单的情况描述为什么短路径上的信息素浓度较大。

假设:
1.初始时,蚂蚁从A点出发,以等概率选择路径ABD或ACD到达食物点D,然后原路返回。
2.每只蚂蚁的行走速率相同,即每单位时间行走一步。
3.假设ABD路径距离为8步,ACD的路径距离为16步。
4.假设蚂蚁每走一步释放一个信息素单位,且不考虑信息素随时间的流失。
由假设1,我们可以做出简单等效,初始时,每条路径上派一只蚂蚁。(蚂蚁数据量较大时,数量分布近似概率分布,我们可以进行归一化,假设初始每条路径只有一只蚂蚁)。上图显示的是第8个时间单位的情况,可以看到,选择路径ABD的蚂蚁已经达到食物源,而选择路径ACD的蚂蚁到达路径的中点C。此时的信息素分布如下图所示:

经过16个单位时间后,选择路径ABD的蚂蚁已往返了一趟,而选择ACD的蚂蚁刚刚到达食物源D。此时信息素分布如下图所示:

经过32个时间单位后,选择路径ABD与路径ACD的蚂蚁都已经回到了蚁穴,此时选择路径ABD的蚂蚁已经往返了两趟,而选择路径ACD的蚂蚁往返了一趟,此时信息素分布如下:

寻找食物的过程继续,此时两只蚂蚁已经取得了食物而且回到了蚁穴,但此时两条路线上信息素分布产生了差异,由上图可知ABD路线上每一处的信息素数量与ACD路线上每一处的信息素数量之比为2:1。这意味着蚂蚁选择ABD路径的概率大于选择ACD路径概率,我们姑且假设选择路径概率与信息素浓度呈线性关系,则蚂蚁选择ABD路径的概率与选择ACD路径概率之比为2:1。
等效的做法是,我们在ABD路径上增派一只蚂蚁,则在第64个时间单位时的信息素分布如下:

由上图可见,第64个时间单位时,ABD路线上每一处的信息素数量与ACD路线上每一处的信息素数量之比为3:1。假设我们将此过程无线进行下去,则按照信息素的指导,两条路径上信息素浓度之比将越来越大,且变化越来越快,形成一种正反馈,最终将导致所有的蚂蚁都会放弃ACD路线,而都选择ABD路线。
三、TSP问题的算法思路
参考链接:
蚁群算法(含matlab代码)
蚁群算法
matlab—基于蚁群算法求解Tsp旅行商问题
运用蚁群算法求解TSP问题时的基本原理是:将m个蚂蚁随机地放在多个城市,让这些蚂蚁从所在的城市出发,n步(一个蚂蚁从一个城市到另外一个城市为1步)之后返回到出发的城市。如果m个蚂蚁所走出的m条路经对应的中最短者不是TSP问题的最短路程,则重复这一过程,直至寻找到满意的TSP问题的最短路径为止。为了说明这一个算法下面用一个算法流程图来表示一下:

(一)算法的相关参数
在算法中用到的变量比较多,而每个变量的对算法最终收敛的结果影响程度也不一样,在这里把一些重要的参数说明一下。
τ i j \tau _{ij} τij:城市i和城市j之间边 e i j e_{ij} eij上信息素的残留强度
Δ τ i j \Delta\tau _{ij} Δτij:一次循环后边 e i j e_{ij} eij上信息素的增量
Δ τ i j k \Delta \tau_{ij}^{k} Δτijk:一次循环之后蚂蚁k对边 e i j e_{ij} eij上信息素的贡献量
η i j \eta _{ij} ηij:城市i,j之间的能见度,反映了由城市i转移到城市j的启发程度
d i j d_{ij} dij:城市i到城市j之间的距离
p i j k p_{ij}^{k} pijk:蚂蚁k从当前所在的城市到下一个城市去的概率
t a b u ( k ) tabu(k) tabu(k):禁忌表,用于存放第k只蚂蚁已经走过的城市
Q Q Q:信息素总量,信息素总信息量为蚂蚁循环一周后向经过路径释放信息素的总量
ρ \rho ρ:信息素残留系数,由于蚂蚁释放的信息量回随着时间的转移而逐渐挥发,以至于路径上的信息素不能无限递增,该系数太小时会降低算法的全局搜素能力,过大时容易使算法陷入局部最优,影响全局搜素能力。
m m m:蚂蚁总数,在TSP问题中,每次循环当中,每只蚂蚁所走出的每条路径为TSP问题的候选解,m只蚂蚁一次循环所走出来的m条路经为TSP问题的一个解子集,所以这个解子集越大则算法的全局搜索能力越强,但是过大会使算法的收敛速度降低。如果m太小的话,算法也很容易就陷入局部最优,过早的出现停滞现象,所以选择合理的蚂蚁总数是非常重要的。
α \alpha α:信息启发因子,反映了蚂蚁在从城市i向城市j移动时,这两个城市之间道路上所累积的信息素在指导蚂蚁选择城市j的程度,即蚁群在路径搜素中随即性因素作用的强度。
β \beta β:期望值启发式因子,反映了蚂蚁在从城市i向城市j转移时候期望值 η i j \eta _{ij} ηij在指导蚁群搜素中的相对重要程度。其大小反映了蚁群在道路搜素中的先验性、确定性等因素的强弱, α \alpha α、 β \beta β的大小也会影响算法的收敛性。
(二) 算法过程中的关键步骤
1、上面讲了蚂蚁在选择下一个要转移的城市时候是基于概率选择的,当然这个概率不是随机概率,而是其中的一些参数来决定。假定在t时刻,蚂蚁从目前所在的i城市要选择转移去的下一个j城市,概率大小为
p
i
j
k
p_{ij}^{k}
pijk:
p
i
j
k
(
t
)
=
{
τ
i
j
k
η
i
j
β
∑
s
∈
a
l
l
o
w
e
d
k
τ
i
s
k
(
t
)
η
i
s
β
(
t
)
j
∈
a
l
l
o
w
e
d
k
0
o
t
h
e
r
w
i
s
e
p_{ij}^{k}(t)=\left\{\begin{matrix} & \frac{\tau_{ij}^{k}\eta _{ij}^{\beta }}{\sum_{s\in allowed_{k}}\tau_{is}^{k}(t)\eta_{is}^{\beta}(t)} &j\in allowed_{k} \\ \\ &0 &otherwise \end{matrix}\right.
pijk(t)=⎩⎪⎨⎪⎧∑s∈allowedkτisk(t)ηisβ(t)τijkηijβ0j∈allowedkotherwise
其中 a l l o w e d k allowed_{k} allowedk表示允许蚂蚁k下一步可容许去的城市的集合, τ i j α \tau_{ij}^{\alpha} τijα为边 e i j e_{ij} eij上的信息素因数, η i j β \eta_{ij}^{\beta} ηijβ为城市i,j间能见度因数。至于这个过程具体是怎么实现的,在程序中会有相关的源码。
2、对任意两个城市i,j之间道路对应的边
e
i
j
e_{ij}
eij信息素增量按照下式进行:
{
τ
i
j
(
t
+
1
)
=
ρ
τ
i
j
(
t
)
+
Δ
τ
i
j
(
t
,
t
+
1
)
Δ
τ
i
j
(
t
,
t
+
1
)
=
Σ
k
=
1
m
Δ
τ
i
j
k
(
t
,
t
+
1
)
\left\{\begin{matrix} &\tau_{ij}(t+1)=\rho\tau_{ij}(t)+\Delta \tau_{ij}(t,t+1)\\ \\&\Delta\tau_{ij}(t,t+1)=\Sigma_{k=1}^{m}\Delta\tau_{ij}^{k}(t,t+1) \end{matrix}\right.
⎩⎨⎧τij(t+1)=ρτij(t)+Δτij(t,t+1)Δτij(t,t+1)=Σk=1mΔτijk(t,t+1)
其中, Δ τ i j k ( t , t + 1 ) \Delta\tau_{ij}^{k}(t,t+1) Δτijk(t,t+1)为蚂蚁k对边 e i j e_{ij} eij上所贡献的信息素增量, Δ τ i j ( t , t + 1 ) \Delta\tau_{ij}(t,t+1) Δτij(t,t+1)是经过边 e i j e_{ij} eij的所有蚂蚁对边 e i j e_{ij} eij的信息素量贡献, ρ \rho ρ为信息素残留系数。对于 Δ τ i j k ( t , t + 1 ) \Delta\tau_{ij}^{k}(t,t+1) Δτijk(t,t+1)的调整方式不同,可以将蚁群算法分为三种模型:蚁密模型、蚁量模型和蚁周模型。
2.1 蚁密模型
在蚁密模型当中,每一只蚂蚁在经过城市i,j时,对该边
e
i
j
e_{ij}
eij所贡献的信息素增量为常量,每个单位长度是Q:

2.2 蚁量模型
在蚁量模型中,一只蚂蚁k在经过城市i,j之间边
e
i
j
e_{ij}
eij时,对该边所贡献的信息素增量为变量,即每单位长度上为Q/
d
i
j
d_{ij}
dij,它与城市i,j之间的路径长度
d
i
j
d_{ij}
dij有关,具体为:

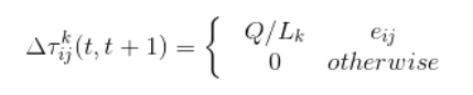
2.3 蚁周模型
上述两种模型,对两城市之间边
e
i
j
e_{ij}
eij上信息素贡献的增量在蚂蚁k经过边的同时完成,而蚁周模型对边
e
i
j
e_{ij}
eij信息素的增量是在本次循环结束时才进行更新调整。一只蚂蚁在经过城市i,j时对边
e
i
j
e_{ij}
eij上贡献的增量为每单位长度
Q
/
L
k
Q/L_{k}
Q/Lk,
L
k
L_{k}
Lk为蚂蚁在本次循环走出路径的长度。

本文章就是基于蚁周模型来实现的,介绍完上述的几个关键步骤以后,就要用matlab来实现MTSP问题了,另外,关于TSP文体的算法主体框架可参考上述链接中的三篇文章,本文不再详述。
四、MTSP算法实现
本文的重点是运用蚁群算法解决MTSP问题,而MTSP问题的算法框架与TSP问题的算法框架基本相似,但关于蚂蚁单位的处理有一些需要注意的细节,首先让我们考察一个具体的问题。附件中列出了陕西曲线公路里程表,现在有两个旅行者从碑林区出发,求合计拜访每个区县一次且仅一次且最后都回到碑林区的最短路径。
和单纯的TSP问题不同的是,我们的单位不再是一只蚂蚁,而是一对蚂蚁,我们通过一对蚂蚁进行全局搜索。这里便涉及到几个TSP问题不需要考虑到的问题,
问题一:如何让两只蚂蚁协同搜索路径,即每进行一个时间单位,应该是哪一只蚂蚁进行搜索,亦或是两只蚂蚁一起搜索。
问题二:两只蚂蚁释放的信息素是否为同一种,即确定下一步搜索路径时,是要将两种蚂蚁释放的信息素综合起来考虑,还是应该分开考虑两种信息素的影响.
解决方法:
1.若每次让两只蚂蚁一起搜素,则每只蚂蚁会固定的走访一半的城市,而往往最优的路径并不是每只蚂蚁一定要走访一半的城市。所以我们选择对两只蚂蚁即将走访的两条路径,选择路径较短的蚂蚁进行下一步的路径搜索。
2.经过试验发现,信息素选择为一种与两种的实验结果影响不大,故将两种蚂蚁释放的信息素综合起来考虑。
多旅行商问题的代码如下所示:
(具体的实现细节详见代码注释)
D = P3;
n = 107;
m = 50; % 蚂蚁对数,每对蚂蚁分为蚂蚁1与蚂蚁2
alpha = 1; % 信息素重要程度因子
beta = 5; % 启发函数重要程度因子
rho = 0.1; % 信息素挥发因子
Q = 1; % 常系数(信息素释放量)
Eta = 1./D; % 启发函数
Tau = ones(n,n); % 信息素矩阵
Table1 = zeros(m,n); % 蚂蚁1路径记录表
Table2 = zeros(m,n); % 蚂蚁2路径记录表
iter = 1; % 迭代次数初值
iter_max = 150; % 最大迭代次数
Route_best1 = zeros(iter_max,n); % 蚂蚁1各代最佳路径
Route_best2 = zeros(iter_max,n); % 蚂蚁2各代最佳路径
Length_best = zeros(iter_max,1); % 各代最佳路径的长度
Length_ave = zeros(iter_max,1); % 各代路径的平均长度
while iter <= iter_max
start = ones(m,1)+1; %初始出发城市为2城市,即碑林区
Table1(:,1) = start;
Table2(:,1) = start;
citys_index = 1:n;
% 逐个蚂蚁路径选择
for i = 1:m
% 逐个城市路径选择
for j = 2:n
tabu1 = Table1(i,1:(j - 1)); %蚂蚁1已访问的城市集合
tabu1(tabu1==0) = []; %把表中的0元素舍去,因为无意义
tabu2 = Table2(i,1:(j - 1)); %蚂蚁2已访问的城市集合
tabu2(tabu2==0) = []; %把表中的0元素舍去,因为无意义
tabu = [tabu1 tabu2];
allow_index = ~ismember(citys_index,tabu);
allow = citys_index(allow_index); %待访问的城市集合
P1 = allow;
P2 = allow;
% 计算城市间转移概率
for k = 1:length(allow)
P1(k) = Tau(tabu1(end),allow(k))^alpha * Eta(tabu1(end),allow(k))^beta;
P2(k) = Tau(tabu2(end),allow(k))^alpha * Eta(tabu2(end),allow(k))^beta;
end
P1 = P1/sum(P1);
P2 = P2/sum(P2);
% 轮盘赌法选择下一个访问城市
Pc1 = cumsum(P1);
Pc2 = cumsum(P2);
target_index1 = find(Pc1 >= rand);
target_index2 = find(Pc2 >= rand);
target1 = allow(target_index1(1));
target2 = allow(target_index2(1));
% 计算蚂蚁1与蚂蚁2到下一个城市的路径长度,选择路径长度较少的蚂蚁进行行走
% 假设蚂蚁1行走,则蚂蚁1的路径表将添加下一个城市的标号,而蚂蚁2的路径表将添加0
lengthant1 = D(tabu1(end), target1);
lengthant2 = D(tabu2(end), target2);
if( lengthant1 <= lengthant2)
Table1(i,j) = target1;
else
Table2(i,j) = target2;
end
end
end
% 计算各个蚂蚁对的路径距离
Length1 = zeros(m,1); % 蚂蚁1路径距离之和
Length2 = zeros(m,1); % 蚂蚁2路径距离之和
for i = 1:m
Route1 = Table1(i,:);
Route1(Route1 == 0) = []; %舍去表中0元素
Route2 = Table2(i,:);
Route2(Route2 == 0) = []; %舍去表中0元素
for j = 1:length(Route1)-1
Length1(i) = Length1(i) + D(Route1(j),Route1(j + 1));
end
Length1(i) = Length1(i) + D(Route1(end),Route1(1));
for j = 1:length(Route2)-1
Length2(i) = Length2(i) + D(Route2(j),Route2(j + 1));
end
Length2(i) = Length2(i) + D(Route2(end),Route2(1));
end
Length = Length1 + Length2;
% 计算最短路径距离及平均距离
if iter == 1
[min_Length,min_index] = min(Length);
Length_best(iter) = min_Length;
Length_ave(iter) = mean(Length);
Route_best1(iter,:) = Table1(min_index,:);
Route_best2(iter,:) = Table2(min_index,:);
else
[min_Length,min_index] = min(Length);
Length_best(iter) = min(Length_best(iter - 1),min_Length);
Length_ave(iter) = mean(Length);
if Length_best(iter) == min_Length
Route_best1(iter,:) = Table1(min_index,:);
Route_best2(iter,:) = Table2(min_index,:);
else
Route_best1(iter,:) = Route_best1((iter-1),:);
Route_best2(iter,:) = Route_best2((iter-1),:);
end
end
% 更新信息素
Delta_Tau = zeros(n,n);
% 逐个蚂蚁计算
for i = 1:m
Route1 = Table1(i,:);
Route1(Route1 == 0) = []; %舍去表中0元素
Route2 = Table2(i,:);
Route2(Route2 == 0) = []; %舍去表中0元素
% 逐个城市计算
for j = 1:length(Route1)-1
Delta_Tau(Route1(j),Route1(j+1)) = Delta_Tau(Route1(j),Route1(j+1)) + Q/Length1(i);
end
for j = 1:length(Route2)-1
Delta_Tau(Route2(j),Route2(j+1)) = Delta_Tau(Route2(j),Route2(j+1)) + Q/Length2(i);
end
Delta_Tau(Route1(end),Route1(1)) = Delta_Tau(Route1(end),Route1(1)) + Q/Length1(i);
Delta_Tau(Route2(end),Route1(1)) = Delta_Tau(Route2(end),Route1(1)) + Q/Length2(i);
end
Tau = (1-rho) * Tau + Delta_Tau;
% 迭代次数加1,清空路径记录表
iter = iter + 1;
Table1 = zeros(m,n);
Table2 = zeros(m,n);
end
[Shortest_Length,index] = min(Length_best);
Shortest_Route1 = Route_best1(index,:);
Shortest_Route1(Shortest_Route1 == 0) = [];
Shortest_Route2 = Route_best2(index,:);
Shortest_Route2(Shortest_Route2 == 0) = [];
disp(['最短距离: ' num2str(Shortest_Length)]);
disp(['最短路径1: ' num2str([Shortest_Route1 Shortest_Route1(1)])]);
disp(['最短路径2: ' num2str([Shortest_Route2 Shortest_Route2(1)])]);
figure(2)
plot(1:iter_max,Length_best,'b',1:iter_max,Length_ave,'r:')
legend('最短距离','平均距离')
xlabel('迭代次数')
ylabel('距离')
title('各代最短距离与平均距离对比')
% r = TSP;
% sum = 0;
% for i = 1:107
% sum = sum+D(r(i),r(i+1));
% end
% sum
实验结果:

最短距离: 7192.7
最短路径1: 2 6 9 12 35 34 36 37 39 40 51 7 16 14 15 17 66 63 62 61 54 58 57 59 60 83 82 81 78 79 80 89 84 85 86 87 88 56 55 64 65 50 49 48 47 52 46 53 45 44 43 10 100 102 103 101 104 105 106 93 92 91 90 98 99 96 97 95 94 75 71 69 70 68 67 72 73 74 76 28 77 2
最短路径2: 2 3 5 1 4 8 13 32 33 31 30 107 42 41 11 23 22 21 20 18 19 26 25 29 24 27 38 2
>>
陕西公路里程表数据
提取码:1234
才疏学浅,欢迎大家指正~
本文详细介绍了蚁群算法的基本原理及其在旅行商问题(TSP)中的应用,并重点讨论了多旅行商问题(MTSP)的算法实现。通过对陕西曲线公路里程表的数据处理,利用蚁群算法求解两个旅行者从碑林区出发,遍历所有区县一次并返回的最短路径。在算法中,采用了蚁周模型,信息素更新策略和路径选择基于信息素与启发式信息的结合。实验结果显示了最短路径和平均路径的迭代优化过程。
231





