- 博客(17)
- 收藏
- 关注
原创 ubuntu装新机无网络解决记录
https://www.cnblogs.com/fanyongbin/p/6500963.html借鉴以上博客。由于新组装的电脑,ubuntu自带驱动无法匹配新网卡。故需要到官网下载驱动1、查看是否安装网卡驱动打开终端,输入ifconfig –a,如果出现“本地环回”字样,说明网卡驱动未安装。2、查看网卡型号终端输入lspci,查看网卡型号,本文只针对I219-V网卡驱动。3、下载e1000e网卡驱动,下载地址https://downloadcenter.intel.com/zh-cn/do
2020-08-11 14:16:49
652
转载 熵,条件熵,相对熵,互信息的相关定义及公式推导
转自https://www.cnblogs.com/baby-lily/p/12859827.html熵熵是随机变量不确定性的度量,不确定性越大,熵值越大,若随机变量退化成定值,熵为0,均匀分布是最不确定的分布。熵其实定义了一个函数(概率分布函数)到一个值(信息熵)的映射。熵的定义公式如下:在经典熵的定义中,底数是2,此时熵的单位是bit,若底数是e,则熵的单位是nat(奈特)联合熵以及条件熵两个随机变量X, Y的联合分布,可以形成联合熵Joint Entropy,用H(X,Y)表示,那么我们不
2020-08-06 15:53:51
4263
原创 树莓派使用nextcloud搭建私有云过程记录
树莓派使用nextcloud搭建私有云过程记录0. APACHE/MYSQL/PHP安装1. 安装多线程下载器axel2. 下载网盘服务器(安装了axel用第一个,没安装用第二个)3. 解压网盘服务器并放到apache网站目录下4. 配置APACHE服务器5. 登录MYSQL数据库,创建数据库6. 设置/var/www/nextcloud路径权限7. 创建data数据文件夹并更改权限8. 修改配置文件中的用户名(如果安装了VIM使用第一个,否则第二个,dbuser字段改成数据库用户名)最后使用树莓派ip/n
2020-08-05 14:36:04
1254
4
原创 论文阅读:G-RMI:Towards accurate multi-person pose estimation in the wild——2017CVPR
PS:仅作为自己阅读论文的记录,如有错误,欢迎留言交流2017CVPR, top-down中关键点检测基石,有许多基础思路,本文提出的基于关键点的NMS在后面的自上而下的文章中被普遍应用贡献点:1、 提出了一个top-down方法,分为两个阶段,第一检测人体,使用Faster RCNN;第二阶段使用全卷积 ResNet预测每个关键点的热力图和偏移量2、 引入了一种新的融合过程来获得高度定...
2020-03-21 13:22:45
1400
原创 opencv小记
1、minAreaRect返回数据具体内容函数 cv2.minAreaRect() 返回一个Box2D结构rect: 1. 最小外接矩形的中心(x,y), 2.(宽度,高度), 3. 旋转角度...
2020-02-13 14:54:02
251
原创 PyTorch的hook及其在Grad-CAM中的应用
很有意思的东西,CAM和Grad-CAM,可视化模型关注的区域,记录大佬的文章PyTorch的hook及其在Grad-CAM中的应用
2020-01-13 16:04:33
289
原创 和nn.DataParallel说再见,记录GPU并行的方法选择
感谢大佬的分享:https://zhuanlan.zhihu.com/p/95700549
2020-01-13 10:51:30
592
原创 ubuntu16.04安装anaconda、pycharm,以及安装cuda10.1与cudnn,安装pytorch1.3
这里写自定义目录标题欢迎使用Markdown编辑器新的改变功能快捷键合理的创建标题,有助于目录的生成如何改变文本的样式插入链接与图片如何插入一段漂亮的代码片生成一个适合你的列表创建一个表格设定内容居中、居左、居右SmartyPants创建一个自定义列表如何创建一个注脚注释也是必不可少的KaTeX数学公式新的甘特图功能,丰富你的文章UML 图表FLowchart流程图导出与导入导出导入欢迎使用Ma...
2020-01-10 20:42:48
2610
原创 深度之眼李航《统计学习方法》训练营第六期+第一章统计学习方法概述
初级算法梳理初级算法梳理之任务一:线性回归算法梳理1、机器学习的一些概念2、线性回归的原理3、线性回归的损失函数、代价函数、目标函数4、优化方法(梯度下降法、牛顿法、拟牛顿法等)5、线性回归的评估指标6、sklearn参数详解初级算法梳理之任务一:线性回归算法梳理刚刚开始算法入门,希望能够一直坚持,见证自己成长,在算法之路上越走越远。并且感谢datawhale这个共同学习的平台。时间匆忙,只...
2019-10-29 12:52:58
1547
5
原创 conda环境迁移到其他机器上
conda环境迁移 因为总是在实验室和自己电脑上来回操作学习,有时候会不记得自己在哪弄过什么东西。想着以后要用服务器,又得重新安装anaconda配置环境,就查了怎么迁移自己配置过的环境。做个笔记:首先在conda的终端激活自己想要迁移的环境conda activate your_env然后生成自己的...
2019-10-27 23:44:35
20645
3
原创 WIN10+VS2015+opencv3.4.6+opencv_contrib-3.4.6环境配置
安装笔记 借鉴博文: https://blog.youkuaiyun.com/qq_31334371/article/details/86663574 网上很多教程都没有说明,这里强调一下,OpenCV跟OpenCV_contrib要下载对应版本的;我之前直接下了master版本的,cmak编译一直有报错,看了这篇博客之后,找了对应版本的下载;再编译,就成功了。 OpenCV选择版本下载地址: h...
2019-07-27 15:55:25
1025
原创 YOLOv3安装配置(win10+opencv3.3.1+vs2015+cuda9.0+ cudnn-9.0)
1. 安装vs2015 YOLOv3支持vs2012、2013、2015,其他版本需要下载工具集;本人用的是s20152. 安装CUDA9.0及CUDNN2.1确定电脑对应的CUDA版本号 在桌面点击右键选择“NVIDIA控制面板”,在右下角点击“系统信息”选择组件,即可查看版本号2.2在网站https://developer.nvidia.com/cuda-toolki...
2019-06-05 00:58:31
1307
转载 更改树莓派软件源
还是国内的软件源速度快啊参考别人的博客,挺好的,实用,记录一下https://blog.youkuaiyun.com/zbuter/article/details/79534155
2019-05-23 15:54:05
2574
原创 初级算法梳理之三
初级算法梳理之三初级算法梳理之任务三:决策树算法梳理1、信息论基础(熵 联合熵 条件熵 信息增益 基尼不纯度)2、决策树的不同分类算法(ID3算法、C4.5、CART分类树)的原理及应用场景3、回归树原理4、决策树防止过拟合手段5、模型评估6、sklearn参数详解,Python绘制决策树初级算法梳理之任务三:决策树算法梳理最后剩下个毕设论文,再过两个月,本科就结束啦,迎来研究生的生活,开始好...
2019-04-03 21:16:50
269
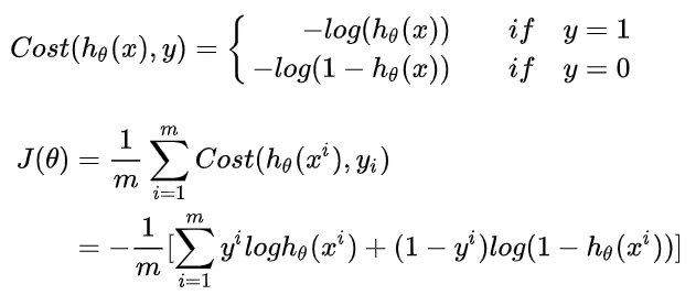
原创 初级算法梳理之二
初级算法梳理之二初级算法梳理之任务二:逻辑回归算法梳理1、逻辑回归与线性回归的联系与区别2、逻辑回归的原理3、逻辑回归损失函数推导及优化5、线性回归的评估指标6、sklearn参数详解初级算法梳理之任务一:线性回归算法梳理刚刚开始算法入门,希望能够一直坚持,见证自己成长,在算法之路上越走越远。并且感谢datawhale这个共同学习的平台。时间匆忙,只...
2019-03-28 12:56:23
348
空空如也
空空如也
TA创建的收藏夹 TA关注的收藏夹
TA关注的人
RSS订阅