视频链接:【机器学习】逻辑回归十分钟学会,通俗易懂(内含spark求解过程)_哔哩哔哩_bilibili
回归和分类的区别:逻辑回归是用来解决分类问题的。
回归模型的输出是连续的;分类模型的输出是离散的。

如上图所示,左侧为回归、右侧为分类。
那么逻辑回归是什么?
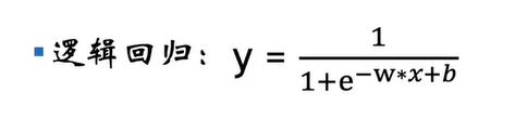
逻辑回归=线性回归+sigmoid函数
线性回归:用一条直线来拟合自变量的因变量之间的关系,即y=w*x+b.
如何把回归变成分类?

如上图所示把线性回归(左)根据y值的大小分为两类(右)。
什么是sigmoid函数?


逻辑回归中的z替换掉即
怎样求解出好的参数?

5万+

被折叠的 条评论
为什么被折叠?



