一、
计算机中做数据计算的地方是CPU。
磁盘存储时间比固态硬盘长,能实现高并发的访问,磁盘速度慢一点但可接受,固态硬盘速度又远比不上内存,成本比磁盘高,最好选磁盘。
CPU和内存运行速度ns,磁盘机械过程30-50ms。
二、
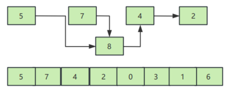
内存存储编译好的数据和指令
数组:存储相同数据类型的集合
通过数组下标查询数据
![]()

三、
C:强类型语言(需要定义数据类型),Python(弱类型语言)
相同的数据根据不同的数据类型定义,在内存当中的存储形式不一致。
short:1bit符号位,15bit数值位 0 000000000000001
int:1bit符号位,31bit数值位 0 0000000000000000000000000000001
float:1bit符号位,8bit位阶,23bit数值位 0 00000000 00000000000000000000001
char:16bit
数据类型表示数据在内存当中的存储形式
四、
数据结构的目的帮助我们进行数据的增删改查(查占比更大)

链式存储,内存空间不连续,查询慢,增删改快。
顺序存储,查询快,增删改慢。
五、
算法:解决问题的实际方法


被折叠的 条评论
为什么被折叠?



