一、树的种类

二、二叉排序树

三、平衡二叉树





四、红黑树


1.每个节点不是黑色就是红色
2.根节点永远都是黑色的
3.叶子结点都是黑色的
4.如果一个节点的颜色是红色的,那么他的子节点的颜色一定是黑色的
5.从根节点出发到任意一个叶子结点,走过的路径上的黑色节点数目相同
结论:在红黑树当中最长的链不会超过最短链的2倍
最短:黑黑黑黑黑黑
最长:黑红黑红黑红黑红黑红黑



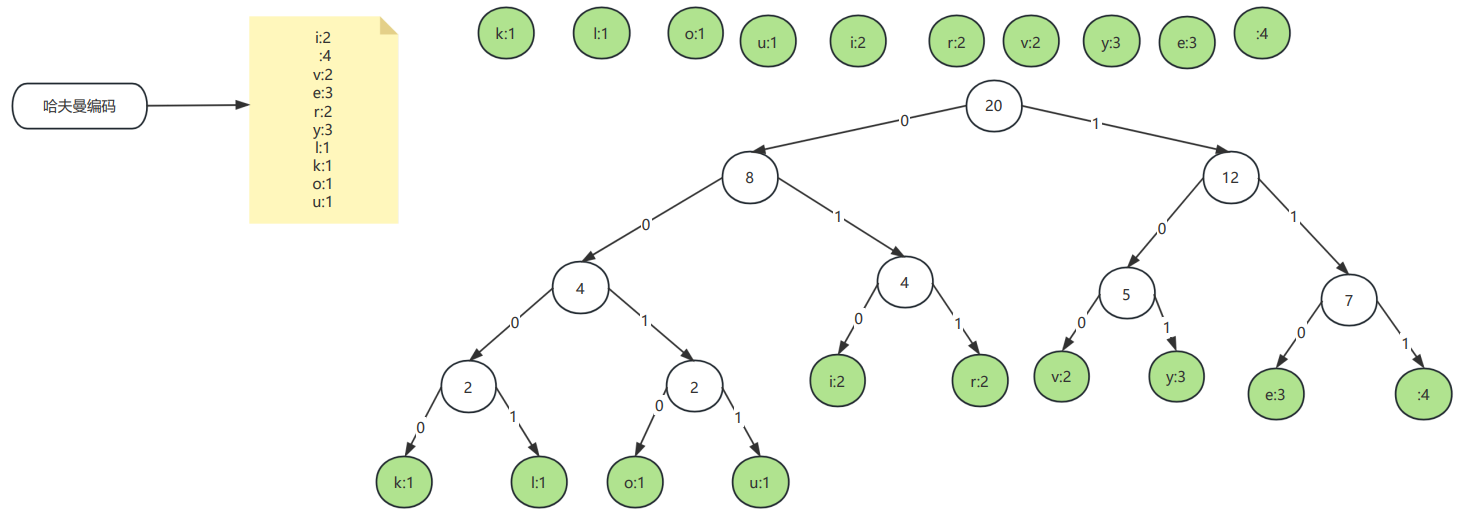
五、哈夫曼树和哈夫曼编码














1.每个节点不是黑色就是红色
2.根节点永远都是黑色的
3.叶子结点都是黑色的
4.如果一个节点的颜色是红色的,那么他的子节点的颜色一定是黑色的
5.从根节点出发到任意一个叶子结点,走过的路径上的黑色节点数目相同
结论:在红黑树当中最长的链不会超过最短链的2倍
最短:黑黑黑黑黑黑
最长:黑红黑红黑红黑红黑红黑









被折叠的 条评论
为什么被折叠?