题目3(续)
(3)(a|b)*a(a|b)(a|b)(a|b)
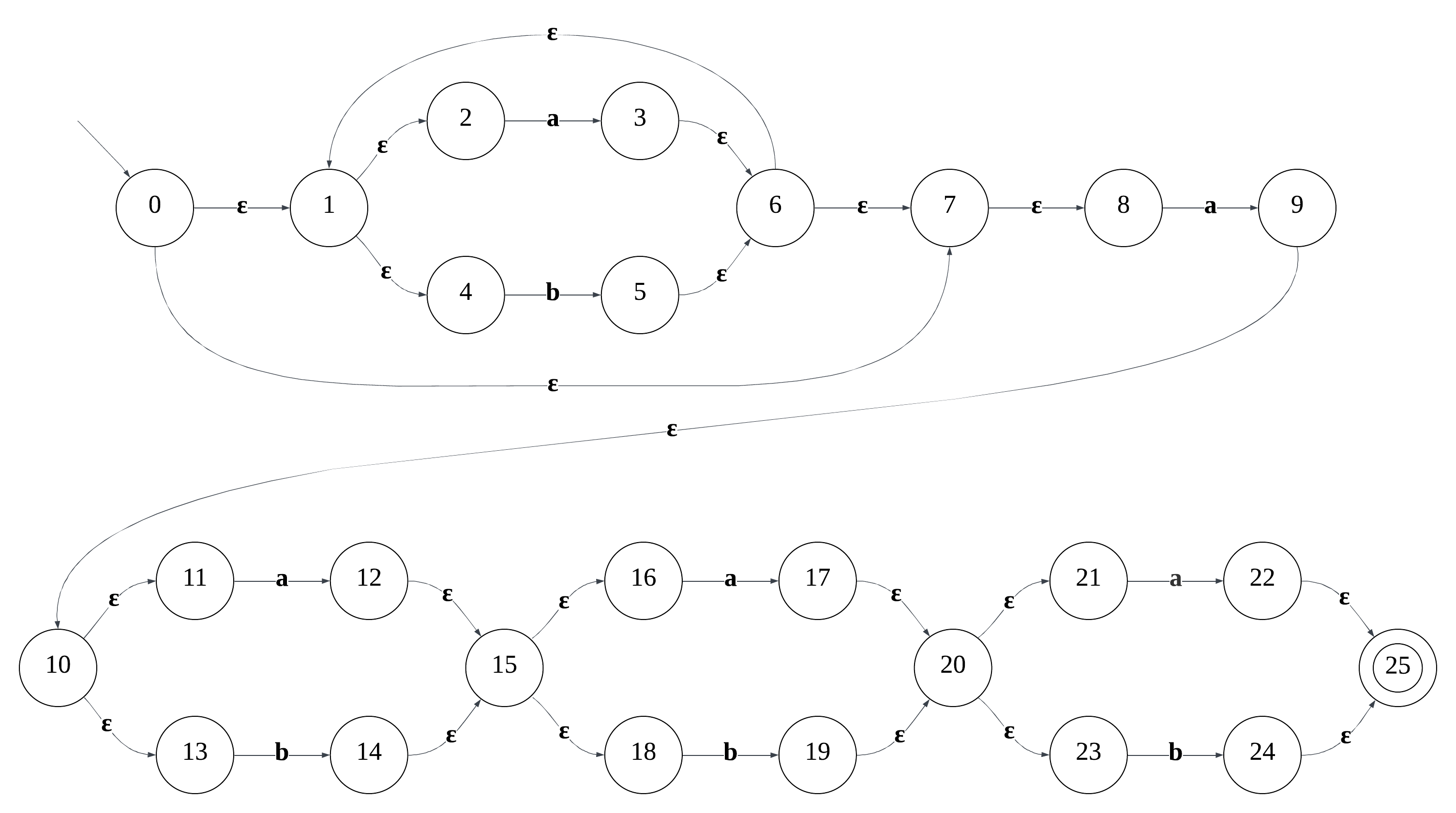
e -> (a|b)*a(a|b)(a|b)(a|b)
![![[Blank diagram (23).png]]](https://i-blog.csdnimg.cn/direct/56e436dc41454d56876f11b0d00872d3.png)
利用子集构造算法将NFA转为DFA:
初始状态:{s0}:q0{q0}→ε{s0,s1,s2,s4,s7,s8}:q0{q0}→a{s3,s9}→ε{s1,s2,s3,s4,s6,s7,s8,s9,s10,s11,s13}:q1{q0}→b{s5}→ε{s1,s2,s4,s5,s6,s7,s8}:q2{q1}→a{s3,s9,s12}→ε{s1,s2,s3,s4,s6,s7,s8,s9,s10,s11,s12,s13,s15,s16,s18}:q3{q1}→b{s5,s14}→ε{s1,s2,s4,s5,s6,s7,s8,s14,s15,s16,s18}:q4{q2}→a{s3,s9}→ε{s1,s2,s3,s4,s6,s7,s8,s9,s10,s11,s13}:q1{q2}→b{s5}→ε{s1,s2,s4,s5,s6,s7,s8}:q2{q3}→a{s3,s9,s12,s17}→ε{s1,s2,s3,s4,s6,s7,s8,s9,s10,s11,s12,s13,s15,s16,s17,s18,s20,s21,s23}:q5{q3}→b{s5,s14,s19}→ε{s1,s2,s4,s5,s6,s7,s8,s14,s15,s16,s18,s19,s20,s21,s23}:q6{q4}→a{s3,s9,s17}→ε{s1,s2,s3,s4,s6,s7,s8,s9,s10,s11,s13,s17,s20,s21,s23}:q7{q4}→b{s5,s19}→ε{s1,s2,s4,s5,s6,s7,s8,s19,s20,s21,s23}:q8{q5}→a{s3,s9,s12,s17,s22}→ε{s1,s2,s3,s4,s6,s7,s8,s9,s10,s11,s12,s13,s15,s16,s17,s18,s20,s21,s22,s23,s25}:q9{q5}→b{s5,s14,s19,s24}→ε{s1,s2,s4,s5,s6,s7,s8,s14,s15,s16,s18,s19,s20,s21,s23,s24,s25}:q10{q6}→a{s3,s9,s17,s22}→ε{s1,s2,s3,s4,s6,s7,s8,s9,s10,s11,s13,s17,s20,s21,s22,s23,s25}:q11{q6}→b{s5,s19,s24}→ε{s1,s2,s4,s5,s6,s7,s8,s19,s20,s21,s23,s24,s25}:q12{q7}→a{s3,s9,s12,s22}→ε{s1,s2,s3,s4,s6,s7,s8,s9,s10,s11,s12,s13,s15,s16,s18,s22,s25}:q13{q7}→b{s5,s14,s24}→ε{s1,s2,s4,s5,s6,s7,s8,s14,s15,s16,s18,s24,s25}:q14{q8}→a{s3,s9,s22}→ε{s1,s2,s3,s4,s6,s7,s8,s9,s10,s11,s13,s22,s25}:q15{q8}→b{s5,s24}→ε{s1,s2,s4,s5,s6,s7,s8,s24,s25}:q16{q9}→a{s3,s9,s12,s17,s22}→ε{s1,s2,s3,s4,s6,s7,s8,s9,s10,s11,s12,s13,s15,s16,s17,s18,s20,s21,s22,s23,s25}:q9{q9}→b{s5,s14,s19,s24}→ε{s1,s2,s4,s5,s6,s7,s8,s14,s15,s16,s18,s19,s20,s21,s23,s24,s25}:q10{q10}→a{s3,s9,s17,s22}→ε{s1,s2,s3,s4,s6,s7,s8,s9,s10,s11,s13,s17,s20,s21,s22,s23,s25}:q11{q10}→b{s5,s19,s24}→ε{s1,s2,s4,s5,s6,s7,s8,s19,s20,s21,s23,s24,s25}:q12{q11}→a{s3,s9,s12,s22}→ε{s1,s2,s3,s4,s6,s7,s8,s9,s10,s11,s12,s13,s15,s16,s18,s22,s25}:q13{q11}→b{s5,s14,s24}→ε{s1,s2,s4,s5,s6,s7,s8,s14,s15,s16,s18,s24,s25}:q14{q12}→a{s3,s9,s22}→ε{s1,s2,s3,s4,s6,s7,s8,s9,s10,s11,s13,s22,s25}:q15{q12}→b{s5,s24}→ε{s1,s2,s4,s5,s6,s7,s8,s24,s25}:q16{q13}→a{s3,s9,s12,s17}→ε{s1,s2,s3,s4,s6,s7,s8,s9,s10,s11,s12,s13,s15,s16,s17,s18,s20,s21,s23}:q5{q13}→b{s5,s14,s19}→ε{s1,s2,s4,s5,s6,s7,s8,s14,s15,s16,s18,s19,s20,s21,s23}:q6{q14}→a{s3,s9,s17}→ε{s1,s2,s3,s4,s6,s7,s8,s9,s10,s11,s13,s17,s20,s21,s23}:q7{q14}→b{s5,s19}→ε{s1,s2,s4,s5,s6,s7,s8,s19,s20,s21,s23}:q8{q15}→a{s3,s9,s12}→ε{s1,s2,s3,s4,s6,s7,s8,s9,s10,s11,s12,s13,s15,s16,s18}:q3{q15}→b{s5,s14}→ε{s1,s2,s4,s5,s6,s7,s8,s14,s15,s16,s18}:q4{q16}→a{s3,s9}→ε{s1,s2,s3,s4,s6,s7,s8,s9,s10,s11,s13}:q1{q16}→b{s5}→ε{s1,s2,s4,s5,s6,s7,s8}:q2
\begin{aligned}
&初始状态:\{s_0\}:q_0\\
&\{q_0\}\xrightarrow{ε}\{s_0, s_1, s_2, s_4, s_7, s_8\}:q_0\\
&\{q_0\}\xrightarrow{a}\{s_3, s_9\}\xrightarrow{ε}\{s_1, s_2, s_3, s_4, s_6, s_7, s_8, s_9, s_{10}, s_{11}, s_{13}\}:q_1\\
&\{q_0\}\xrightarrow{b}\{s_5\}\xrightarrow{ε}\{s_1, s_2, s_4, s_5, s_6, s_7, s_8\}:q_2\\
&\{q_1\}\xrightarrow{a}\{s_3, s_9, s_{12}\}\xrightarrow{ε}\{s_1, s_2, s_3, s_4, s_6, s_7, s_8, s_9, s_{10}, s_{11}, s_{12}, s_{13}, s_{15}, s_{16}, s_{18}\}:q_3\\
&\{q_1\}\xrightarrow{b}\{s_5, s_{14}\}\xrightarrow{ε}\{s_1, s_2, s_4, s_5, s_6, s_7, s_8, s_{14}, s_{15}, s_{16}, s_{18}\}:q_4\\
&\{q_2\}\xrightarrow{a}\{s_3, s_9\}\xrightarrow{ε}\{s_1, s_2, s_3, s_4, s_6, s_7, s_8, s_9, s_{10}, s_{11}, s_{13}\}:q_1\\
&\{q_2\}\xrightarrow{b}\{s_5\}\xrightarrow{ε}\{s_1, s_2, s_4, s_5, s_6, s_7, s_8\}:q_2\\
&\{q_3\}\xrightarrow{a}\{s_3, s_9, s_{12}, s_{17}\}\xrightarrow{ε}\{s_1, s_2, s_3, s_4, s_6, s_7, s_8, s_9, s_{10}, s_{11}, s_{12}, s_{13}, s_{15}, s_{16}, s_{17}, s_{18}, s_{20}, s_{21}, s_{23}\}:q_5\\
&\{q_3\}\xrightarrow{b}\{s_5, s_{14}, s_{19}\}\xrightarrow{ε}\{s_1, s_2, s_4, s_5, s_6, s_7, s_8, s_{14}, s_{15}, s_{16}, s_{18}, s_{19}, s_{20}, s_{21}, s_{23}\}:q_6\\
&\{q_4\}\xrightarrow{a}\{s_3, s_9, s_{17}\}\xrightarrow{ε}\{s_1, s_2, s_3, s_4, s_6, s_7, s_8, s_9, s_{10}, s_{11}, s_{13}, s_{17}, s_{20}, s_{21}, s_{23}\}:q_7\\
&\{q_4\}\xrightarrow{b}\{s_5, s_{19}\}\xrightarrow{ε}\{s_1, s_2, s_4, s_5, s_6, s_7, s_8, s_{19}, s_{20}, s_{21}, s_{23}\}:q_8\\
&\{q_5\}\xrightarrow{a}\{s_3, s_9, s_{12}, s_{17}, s_{22}\}\xrightarrow{ε}\{s_1, s_2, s_3, s_4, s_6, s_7, s_8, s_9, s_{10}, s_{11}, s_{12}, s_{13}, s_{15}, s_{16}, s_{17}, s_{18}, s_{20}, s_{21}, s_{22}, s_{23}, s_{25}\}:q_9\\
&\{q_5\}\xrightarrow{b}\{s_5, s_{14}, s_{19}, s_{24}\}\xrightarrow{ε}\{s_1, s_2, s_4, s_5, s_6, s_7, s_8, s_{14}, s_{15}, s_{16}, s_{18}, s_{19}, s_{20}, s_{21}, s_{23}, s_{24}, s_{25}\}:q_{10}\\
&\{q_6\}\xrightarrow{a}\{s_3, s_9, s_{17}, s_{22}\}\xrightarrow{ε}\{s_1, s_2, s_3, s_4, s_6, s_7, s_8, s_9, s_{10}, s_{11}, s_{13}, s_{17}, s_{20}, s_{21}, s_{22}, s_{23}, s_{25}\}:q_{11}\\
&\{q_6\}\xrightarrow{b}\{s_5, s_{19}, s_{24}\}\xrightarrow{ε}\{s_1, s_2, s_4, s_5, s_6, s_7, s_8, s_{19}, s_{20}, s_{21}, s_{23}, s_{24}, s_{25}\}:q_{12}\\
&\{q_7\}\xrightarrow{a}\{s_3, s_9, s_{12}, s_{22}\}\xrightarrow{ε}\{s_1, s_2, s_3, s_4, s_6, s_7, s_8, s_9, s_{10}, s_{11}, s_{12}, s_{13}, s_{15}, s_{16}, s_{18}, s_{22}, s_{25}\}:q_{13}\\
&\{q_7\}\xrightarrow{b}\{s_5, s_{14}, s_{24}\}\xrightarrow{ε}\{s_1, s_2, s_4, s_5, s_6, s_7, s_8, s_{14}, s_{15}, s_{16}, s_{18}, s_{24}, s_{25}\}: q_{14}\\
&\{q_8\}\xrightarrow{a}\{s_3, s_9, s_{22}\}\xrightarrow{ε}\{s_1, s_2, s_3, s_4, s_6, s_7, s_8, s_9, s_{10}, s_{11}, s_{13}, s_{22}, s_{25}\}:q_{15}\\
&\{q_8\}\xrightarrow{b}\{s_5, s_{24}\}\xrightarrow{ε}\{s_1, s_2, s_4, s_5, s_6, s_7, s_8, s_{24}, s_{25}\}:q_{16}\\
&\{q_9\}\xrightarrow{a}\{s_3, s_9, s_{12}, s_{17}, s_{22}\}\xrightarrow{ε}\{s_1, s_2, s_3, s_4, s_6, s_7, s_8, s_9, s_{10}, s_{11}, s_{12}, s_{13}, s_{15}, s_{16}, s_{17}, s_{18}, s_{20}, s_{21}, s_{22}, s_{23}, s_{25}\}:q_9\\
&\{q_9\}\xrightarrow{b}\{s_5, s_{14}, s_{19}, s_{24}\}\xrightarrow{ε}\{s_1, s_2, s_4, s_5, s_6, s_7, s_8, s_{14}, s_{15}, s_{16}, s_{18}, s_{19}, s_{20}, s_{21}, s_{23}, s_{24}, s_{25}\}:q_{10}\\
&\{q_{10}\}\xrightarrow{a}\{s_3, s_9, s_{17}, s_{22}\}\xrightarrow{ε}\{s_1, s_2, s_3, s_4, s_6, s_7, s_8, s_9, s_{10}, s_{11}, s_{13}, s_{17}, s_{20}, s_{21}, s_{22}, s_{23}, s_{25}\}:q_{11}\\
&\{q_{10}\}\xrightarrow{b}\{s_5, s_{19}, s_{24}\}\xrightarrow{ε}\{s_1, s_2, s_4, s_5, s_6, s_7, s_8, s_{19}, s_{20}, s_{21}, s_{23}, s_{24}, s_{25}\}:q_{12}\\
&\{q_{11}\}\xrightarrow{a}\{s_3, s_9, s_{12}, s_{22}\}\xrightarrow{ε}\{s_1, s_2, s_3, s_4, s_6, s_7, s_8, s_9, s_{10}, s_{11}, s_{12}, s_{13}, s_{15}, s_{16}, s_{18}, s_{22}, s_{25}\}:q_{13}\\
&\{q_{11}\}\xrightarrow{b}\{s_5, s_{14}, s_{24}\}\xrightarrow{ε}\{s_1, s_2, s_4, s_5, s_6, s_7, s_8, s_{14}, s_{15}, s_{16}, s_{18}, s_{24}, s_{25}\}: q_{14}\\
&\{q_{12}\}\xrightarrow{a}\{s_3, s_9, s_{22}\}\xrightarrow{ε}\{s_1, s_2, s_3, s_4, s_6, s_7, s_8, s_9, s_{10}, s_{11}, s_{13}, s_{22}, s_{25}\}:q_{15}\\
&\{q_{12}\}\xrightarrow{b}\{s_5, s_{24}\}\xrightarrow{ε}\{s_1, s_2, s_4, s_5, s_6, s_7, s_8, s_{24}, s_{25}\}:q_{16}\\
&\{q_{13}\}\xrightarrow{a}\{s_3, s_9, s_{12}, s_{17}\}\xrightarrow{ε}\{s_1, s_2, s_3, s_4, s_6, s_7, s_8, s_9, s_{10}, s_{11}, s_{12}, s_{13}, s_{15}, s_{16}, s_{17}, s_{18}, s_{20}, s_{21}, s_{23}\}:q_5\\
&\{q_{13}\}\xrightarrow{b}\{s_5, s_{14}, s_{19}\}\xrightarrow{ε}\{s_1, s_2, s_4, s_5, s_6, s_7, s_8, s_{14}, s_{15}, s_{16}, s_{18}, s_{19}, s_{20}, s_{21}, s_{23}\}:q_6\\
&\{q_{14}\}\xrightarrow{a}\{s_3, s_9, s_{17}\}\xrightarrow{ε}\{s_1, s_2, s_3, s_4, s_6, s_7, s_8, s_9, s_{10}, s_{11}, s_{13}, s_{17}, s_{20}, s_{21}, s_{23}\}:q_7\\
&\{q_{14}\}\xrightarrow{b}\{s_5, s_{19}\}\xrightarrow{ε}\{s_1, s_2, s_4, s_5, s_6, s_7, s_8, s_{19}, s_{20}, s_{21}, s_{23}\}:q_8\\
&\{q_{15}\}\xrightarrow{a}\{s_3, s_9, s_{12}\}\xrightarrow{ε}\{s_1, s_2, s_3, s_4, s_6, s_7, s_8, s_9, s_{10}, s_{11}, s_{12}, s_{13}, s_{15}, s_{16}, s_{18}\}:q_3\\
&\{q_{15}\}\xrightarrow{b}\{s_5, s_{14}\}\xrightarrow{ε}\{s_1, s_2, s_4, s_5, s_6, s_7, s_8, s_{14}, s_{15}, s_{16}, s_{18}\}:q_4\\
&\{q_{16}\}\xrightarrow{a}\{s_3, s_9\}\xrightarrow{ε}\{s_1, s_2, s_3, s_4, s_6, s_7, s_8, s_9, s_{10}, s_{11}, s_{13}\}:q_1\\
&\{q_{16}\}\xrightarrow{b}\{s_5\}\xrightarrow{ε}\{s_1, s_2, s_4, s_5, s_6, s_7, s_8\}:q_2
\end{aligned}
初始状态:{s0}:q0{q0}ε{s0,s1,s2,s4,s7,s8}:q0{q0}a{s3,s9}ε{s1,s2,s3,s4,s6,s7,s8,s9,s10,s11,s13}:q1{q0}b{s5}ε{s1,s2,s4,s5,s6,s7,s8}:q2{q1}a{s3,s9,s12}ε{s1,s2,s3,s4,s6,s7,s8,s9,s10,s11,s12,s13,s15,s16,s18}:q3{q1}b{s5,s14}ε{s1,s2,s4,s5,s6,s7,s8,s14,s15,s16,s18}:q4{q2}a{s3,s9}ε{s1,s2,s3,s4,s6,s7,s8,s9,s10,s11,s13}:q1{q2}b{s5}ε{s1,s2,s4,s5,s6,s7,s8}:q2{q3}a{s3,s9,s12,s17}ε{s1,s2,s3,s4,s6,s7,s8,s9,s10,s11,s12,s13,s15,s16,s17,s18,s20,s21,s23}:q5{q3}b{s5,s14,s19}ε{s1,s2,s4,s5,s6,s7,s8,s14,s15,s16,s18,s19,s20,s21,s23}:q6{q4}a{s3,s9,s17}ε{s1,s2,s3,s4,s6,s7,s8,s9,s10,s11,s13,s17,s20,s21,s23}:q7{q4}b{s5,s19}ε{s1,s2,s4,s5,s6,s7,s8,s19,s20,s21,s23}:q8{q5}a{s3,s9,s12,s17,s22}ε{s1,s2,s3,s4,s6,s7,s8,s9,s10,s11,s12,s13,s15,s16,s17,s18,s20,s21,s22,s23,s25}:q9{q5}b{s5,s14,s19,s24}ε{s1,s2,s4,s5,s6,s7,s8,s14,s15,s16,s18,s19,s20,s21,s23,s24,s25}:q10{q6}a{s3,s9,s17,s22}ε{s1,s2,s3,s4,s6,s7,s8,s9,s10,s11,s13,s17,s20,s21,s22,s23,s25}:q11{q6}b{s5,s19,s24}ε{s1,s2,s4,s5,s6,s7,s8,s19,s20,s21,s23,s24,s25}:q12{q7}a{s3,s9,s12,s22}ε{s1,s2,s3,s4,s6,s7,s8,s9,s10,s11,s12,s13,s15,s16,s18,s22,s25}:q13{q7}b{s5,s14,s24}ε{s1,s2,s4,s5,s6,s7,s8,s14,s15,s16,s18,s24,s25}:q14{q8}a{s3,s9,s22}ε{s1,s2,s3,s4,s6,s7,s8,s9,s10,s11,s13,s22,s25}:q15{q8}b{s5,s24}ε{s1,s2,s4,s5,s6,s7,s8,s24,s25}:q16{q9}a{s3,s9,s12,s17,s22}ε{s1,s2,s3,s4,s6,s7,s8,s9,s10,s11,s12,s13,s15,s16,s17,s18,s20,s21,s22,s23,s25}:q9{q9}b{s5,s14,s19,s24}ε{s1,s2,s4,s5,s6,s7,s8,s14,s15,s16,s18,s19,s20,s21,s23,s24,s25}:q10{q10}a{s3,s9,s17,s22}ε{s1,s2,s3,s4,s6,s7,s8,s9,s10,s11,s13,s17,s20,s21,s22,s23,s25}:q11{q10}b{s5,s19,s24}ε{s1,s2,s4,s5,s6,s7,s8,s19,s20,s21,s23,s24,s25}:q12{q11}a{s3,s9,s12,s22}ε{s1,s2,s3,s4,s6,s7,s8,s9,s10,s11,s12,s13,s15,s16,s18,s22,s25}:q13{q11}b{s5,s14,s24}ε{s1,s2,s4,s5,s6,s7,s8,s14,s15,s16,s18,s24,s25}:q14{q12}a{s3,s9,s22}ε{s1,s2,s3,s4,s6,s7,s8,s9,s10,s11,s13,s22,s25}:q15{q12}b{s5,s24}ε{s1,s2,s4,s5,s6,s7,s8,s24,s25}:q16{q13}a{s3,s9,s12,s17}ε{s1,s2,s3,s4,s6,s7,s8,s9,s10,s11,s12,s13,s15,s16,s17,s18,s20,s21,s23}:q5{q13}b{s5,s14,s19}ε{s1,s2,s4,s5,s6,s7,s8,s14,s15,s16,s18,s19,s20,s21,s23}:q6{q14}a{s3,s9,s17}ε{s1,s2,s3,s4,s6,s7,s8,s9,s10,s11,s13,s17,s20,s21,s23}:q7{q14}b{s5,s19}ε{s1,s2,s4,s5,s6,s7,s8,s19,s20,s21,s23}:q8{q15}a{s3,s9,s12}ε{s1,s2,s3,s4,s6,s7,s8,s9,s10,s11,s12,s13,s15,s16,s18}:q3{q15}b{s5,s14}ε{s1,s2,s4,s5,s6,s7,s8,s14,s15,s16,s18}:q4{q16}a{s3,s9}ε{s1,s2,s3,s4,s6,s7,s8,s9,s10,s11,s13}:q1{q16}b{s5}ε{s1,s2,s4,s5,s6,s7,s8}:q2
![![[Blank diagram (25).png|600]]](https://i-blog.csdnimg.cn/direct/d212ce765864461fa34ac4cae1f2c2ac.png)
将DFA简化到最小:
![![[Blank diagram (24).png]]](https://i-blog.csdnimg.cn/direct/c53eb5019e07475aa44bc233f3d6aacd.png)
字符a可以分裂DFA,对于N中状态:δ(q0,a)=q1∈Nδ(q1,a)=q3∈Nδ(q2,a)=q1∈Nδ(q3,a)=q5∈Nδ(q4,a)=q7∈Nδ(q5,a)=q9∉Nδ(q6,a)=q11∉Nδ(q7,a)=q13∉Nδ(q8,a)=q15∉N对于A中状态:δ(q9,a)=q9∈Aδ(q10,a)=q11∈Aδ(q11,a)=q13∈Aδ(q12,a)=q15∈Aδ(q13,a)=q5∉Aδ(q14,a)=q7∉Aδ(q15,a)=q3∉Aδ(q16,a)=q1∉A因此字符a可将原DFA分裂为{q0,q1,q2,q3,q4},{q5,q6,q7,q8},{q9,q10,q11,q12},{q13,q14,q15,q16}字符b可以继续分裂DFA:δ(q0,b)=q2∈{q0,q1,q2,q3,q4}δ(q1,b)=q4∈{q0,q1,q2,q3,q4}δ(q2,b)=q2∈{q0,q1,q2,q3,q4}δ(q3,b)=q6∈{q5,q6,q7,q8}δ(q4,b)=q8∈{q5,q6,q7,q8}δ(q5,b)=q10∈{q9,q10,q11,q12}δ(q6,b)=q12∈{q9,q10,q11,q12}δ(q7,b)=q14∈{q13,q14,q15,q16}δ(q8,b)=q16∈{q13,q14,q15,q16}δ(q9,b)=q10∈{q9,q10,q11,q12}δ(q10,b)=q12∈{q9,q10,q11,q12}δ(q11,b)=q14∈{q13,q14,q15,q16}δ(q12,b)=q16∈{q13,q14,q15,q16}δ(q13,b)=q6∈{q5,q6,q7,q8}δ(q14,b)=q8∈{q5,q6,q7,q8}δ(q15,b)=q4∈{q0,q1,q2,q3,q4}δ(q16,b)=q2∈{q0,q1,q2,q3,q4}因此字符b可将原DFA继续分裂为{q0,q1,q2},{q3,4},{q5,q6},{q7,q8},{q9,q10},{q11,q12},{q13,q14},{q15,q16}字符b可以继续分裂DFA:δ(q0,b)=q2∈{q0,q1,q2}δ(q1,b)=q4∈{q3,q4}δ(q2,b)=q2∈{q0,q1,q2}δ(q3,b)=q6∈{q5,q6}δ(q4,b)=q8∈{q7,q8}δ(q5,b)=q10∈{q9,q10}δ(q6,b)=q12∈{q11,q12}δ(q7,b)=q14∈{q13,q14}δ(q8,b)=q16∈{q15,q16}δ(q9,b)=q10∈{q9,q10}δ(q10,b)=q12∈{q11,q12}δ(q11,b)=q14∈{q13,q14}δ(q12,b)=q16∈{q15,q16}δ(q13,b)=q6∈{q5,q6}δ(q14,b)=q8∈{q7,q8}δ(q15,b)=q4∈{q3,q4}δ(q16,b)=q2∈{q0,q1,q2}因此字符b可将原DFA继续分裂为{q0,q2},{q1},{q3},{q4},{q5},{q6},{q7},{q8},{q9},{q10},{q11},{q12},{q13},{q14},{q15},{q16}此后字符a和b都不能继续分裂DFA。因此最简的DFA:
\begin{aligned}
&字符a可以分裂DFA,对于N中状态:\\
&δ(q_0,a)=q_1 \in N \\
&δ(q_1,a)=q_3 \in N \\
&δ(q_2,a)=q_1 \in N \\
&δ(q_3,a)=q_5 \in N \\
&δ(q_4,a)=q_7 \in N \\
&δ(q_5,a)=q_9 \notin N \\
&δ(q_6,a)=q_{11} \notin N \\
&δ(q_7,a)=q_{13} \notin N \\
&δ(q_8,a)=q_{15} \notin N \\
&对于A中状态:\\
&δ(q_{9},a)=q_{9} \in A \\
&δ(q_{10},a)=q_{11} \in A \\
&δ(q_{11},a)=q_{13} \in A \\
&δ(q_{12},a)=q_{15} \in A \\
&δ(q_{13},a)=q_{5} \notin A \\
&δ(q_{14},a)=q_{7} \notin A \\
&δ(q_{15},a)=q_{3} \notin A \\
&δ(q_{16},a)=q_{1} \notin A \\
&因此字符a可将原DFA分裂为\{q_0, q_1, q_2, q_3, q_4\}, \{q_5, q_6, q_7, q_8\}, \{q_9, q_{10}, q_{11}, q_{12}\}, \{q_{13}, q_{14}, q_{15}, q_{16}\}\\
&字符b可以继续分裂DFA:\\
&δ(q_0,b)=q_2 \in \{q_0, q_1, q_2, q_3, q_4\} \\
&δ(q_1,b)=q_4 \in \{q_0, q_1, q_2, q_3, q_4\} \\
&δ(q_2,b)=q_2 \in \{q_0, q_1, q_2, q_3, q_4\} \\
&δ(q_3,b)=q_6 \in \{q_5, q_6, q_7, q_8\} \\
&δ(q_4,b)=q_8 \in \{q_5, q_6, q_7, q_8\} \\
&δ(q_5,b)=q_{10} \in \{q_9, q_{10}, q_{11}, q_{12}\} \\
&δ(q_6,b)=q_{12} \in \{q_9, q_{10}, q_{11}, q_{12}\} \\
&δ(q_7,b)=q_{14} \in \{q_{13}, q_{14}, q_{15}, q_{16}\} \\
&δ(q_8,b)=q_{16} \in \{q_{13}, q_{14}, q_{15}, q_{16}\} \\
&δ(q_{9},b)=q_{10} \in \{q_9, q_{10}, q_{11}, q_{12}\} \\
&δ(q_{10},b)=q_{12} \in \{q_9, q_{10}, q_{11}, q_{12}\} \\
&δ(q_{11},b)=q_{14} \in \{q_{13}, q_{14}, q_{15}, q_{16}\} \\
&δ(q_{12},b)=q_{16} \in \{q_{13}, q_{14}, q_{15}, q_{16}\} \\
&δ(q_{13},b)=q_6 \in \{q_5, q_6, q_7, q_8\} \\
&δ(q_{14},b)=q_8 \in \{q_5, q_6, q_7, q_8\} \\
&δ(q_{15},b)=q_4 \in \{q_0, q_1, q_2, q_3, q_4\} \\
&δ(q_{16},b)=q_2 \in \{q_0, q_1, q_2, q_3, q_4\} \\
&因此字符b可将原DFA继续分裂为\{q_0, q_1, q_2\}, \{q_3, _4\}, \{q_5, q_6\}, \{q_7, q_8\}, \{q_9, q_{10}\}, \{q_{11}, q_{12}\}, \{q_{13}, q_{14}\}, \{q_{15}, q_{16}\}\\
&字符b可以继续分裂DFA:\\
&δ(q_0,b)=q_2 \in \{q_0, q_1, q_2\} \\
&δ(q_1,b)=q_4 \in \{q_3, q_4\} \\
&δ(q_2,b)=q_2 \in \{q_0, q_1, q_2\} \\
&δ(q_3,b)=q_6 \in \{q_5, q_6\} \\
&δ(q_4,b)=q_8 \in \{q_7, q_8\} \\
&δ(q_5,b)=q_{10} \in \{q_9, q_{10}\} \\
&δ(q_6,b)=q_{12} \in \{q_{11}, q_{12}\} \\
&δ(q_7,b)=q_{14} \in \{q_{13}, q_{14}\} \\
&δ(q_8,b)=q_{16} \in \{q_{15}, q_{16}\} \\
&δ(q_{9},b)=q_{10} \in \{q_9, q_{10}\} \\
&δ(q_{10},b)=q_{12} \in \{q_{11}, q_{12}\} \\
&δ(q_{11},b)=q_{14} \in \{q_{13}, q_{14}\} \\
&δ(q_{12},b)=q_{16} \in \{q_{15}, q_{16}\} \\
&δ(q_{13},b)=q_6 \in \{q_5, q_6\} \\
&δ(q_{14},b)=q_8 \in \{q_7, q_8\} \\
&δ(q_{15},b)=q_4 \in \{q_3, q_4\} \\
&δ(q_{16},b)=q_2 \in \{q_0, q_1, q_2\} \\
&因此字符b可将原DFA继续分裂为\{q_0, q_2\}, \{q_1\}, \{q_3\}, \{q_4\}, \{q_5\}, \{q_6\}, \{q_7\}, \{q_8\}, \{q_9\}, \{q_{10}\}, \{q_{11}\}, \{q_{12}\}, \{q_{13}\}, \{q_{14}\}, \{q_{15}\}, \{q_{16}\}\\
&此后字符a和b都不能继续分裂DFA。因此最简的DFA:
\end{aligned}
字符a可以分裂DFA,对于N中状态:δ(q0,a)=q1∈Nδ(q1,a)=q3∈Nδ(q2,a)=q1∈Nδ(q3,a)=q5∈Nδ(q4,a)=q7∈Nδ(q5,a)=q9∈/Nδ(q6,a)=q11∈/Nδ(q7,a)=q13∈/Nδ(q8,a)=q15∈/N对于A中状态:δ(q9,a)=q9∈Aδ(q10,a)=q11∈Aδ(q11,a)=q13∈Aδ(q12,a)=q15∈Aδ(q13,a)=q5∈/Aδ(q14,a)=q7∈/Aδ(q15,a)=q3∈/Aδ(q16,a)=q1∈/A因此字符a可将原DFA分裂为{q0,q1,q2,q3,q4},{q5,q6,q7,q8},{q9,q10,q11,q12},{q13,q14,q15,q16}字符b可以继续分裂DFA:δ(q0,b)=q2∈{q0,q1,q2,q3,q4}δ(q1,b)=q4∈{q0,q1,q2,q3,q4}δ(q2,b)=q2∈{q0,q1,q2,q3,q4}δ(q3,b)=q6∈{q5,q6,q7,q8}δ(q4,b)=q8∈{q5,q6,q7,q8}δ(q5,b)=q10∈{q9,q10,q11,q12}δ(q6,b)=q12∈{q9,q10,q11,q12}δ(q7,b)=q14∈{q13,q14,q15,q16}δ(q8,b)=q16∈{q13,q14,q15,q16}δ(q9,b)=q10∈{q9,q10,q11,q12}δ(q10,b)=q12∈{q9,q10,q11,q12}δ(q11,b)=q14∈{q13,q14,q15,q16}δ(q12,b)=q16∈{q13,q14,q15,q16}δ(q13,b)=q6∈{q5,q6,q7,q8}δ(q14,b)=q8∈{q5,q6,q7,q8}δ(q15,b)=q4∈{q0,q1,q2,q3,q4}δ(q16,b)=q2∈{q0,q1,q2,q3,q4}因此字符b可将原DFA继续分裂为{q0,q1,q2},{q3,4},{q5,q6},{q7,q8},{q9,q10},{q11,q12},{q13,q14},{q15,q16}字符b可以继续分裂DFA:δ(q0,b)=q2∈{q0,q1,q2}δ(q1,b)=q4∈{q3,q4}δ(q2,b)=q2∈{q0,q1,q2}δ(q3,b)=q6∈{q5,q6}δ(q4,b)=q8∈{q7,q8}δ(q5,b)=q10∈{q9,q10}δ(q6,b)=q12∈{q11,q12}δ(q7,b)=q14∈{q13,q14}δ(q8,b)=q16∈{q15,q16}δ(q9,b)=q10∈{q9,q10}δ(q10,b)=q12∈{q11,q12}δ(q11,b)=q14∈{q13,q14}δ(q12,b)=q16∈{q15,q16}δ(q13,b)=q6∈{q5,q6}δ(q14,b)=q8∈{q7,q8}δ(q15,b)=q4∈{q3,q4}δ(q16,b)=q2∈{q0,q1,q2}因此字符b可将原DFA继续分裂为{q0,q2},{q1},{q3},{q4},{q5},{q6},{q7},{q8},{q9},{q10},{q11},{q12},{q13},{q14},{q15},{q16}此后字符a和b都不能继续分裂DFA。因此最简的DFA:
![![[Blank diagram (26).png]]](https://i-blog.csdnimg.cn/direct/e0f7d8e65c294166893906db29ef9433.png)
题目4
写出下列语言的正则定义。
(1)仅由a和b这2个字符组成的字符串,其中a后面必跟b。
(b|ab)*
(2)仅由a和b这2个字符组成的字符串,其中a和b出现的次数都为偶数次。
(aa|bb|(ab|ba)(aa|bb)*(ab|ba))*
- 每次匹配要么是
aa/bb(不改变奇偶性) - 要么是成对的
(ab|ba)...(ab|ba)(净变化为偶数次),中间...处可插入任意偶数长度片段aa/bb - 最外层的
*允许重复匹配这些模式 - 最终保证整个字符串中
a和b都出现偶数次
(3)仅由a和b这2个字符组成的字符串,其中不含子串abb。
b*(aa*b)*a*
b*:匹配任意数量的b(包括0个)(aa*b)*:匹配0个或多个"a序列+b"的块aa*b= 至少一个a后跟一个b,例如:ab,aab,aaab等
a*:匹配任意数量的a(包括0个)
213

被折叠的 条评论
为什么被折叠?



