现代循环神经网络之LSTM
于 2022-10-02 16:54:36 首次发布
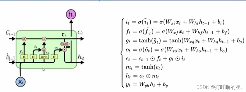
本文介绍了长短期记忆网络LSTM的基本概念及其内部工作原理。重点讲解了LSTM中的三个关键组成部分:遗忘门、输入门及输出门的作用,并详细解释了它们如何控制信息的输入、输出及遗忘过程。
本文介绍了长短期记忆网络LSTM的基本概念及其内部工作原理。重点讲解了LSTM中的三个关键组成部分:遗忘门、输入门及输出门的作用,并详细解释了它们如何控制信息的输入、输出及遗忘过程。
2331

被折叠的 条评论
为什么被折叠?