截止到本期MATLAB机器学习预测全家桶,一共发了19篇关于机器学习预测代码的文章。算上这一篇,一共20篇!参考文章如下:
2.机器学习预测全家桶,多步预测之BiGRU、BiLSTM、GRU、LSTM,LSSVM、TCN、CNN,光伏发电数据为例
3.机器学习预测全家桶,多步预测之组合预测模型,光伏发电数据为例
4.机器学习预测全家桶之Xgboost,交通流量数据预测为例
5.机器学习预测全家桶之CNN-RVM(相关向量机),风电功率预测
6.水N篇论文就靠它了!Adaboost风电功率预测,机器学习预测全家桶
7.机器学习预测全家桶之单变量输入单步预测,天气温度预测为例
8.2023年冠豪猪算法优化CNN-GRU-Attention多特征输入多步预测
9.机器学习预测全家桶之单变量输入多步预测,天气温度预测为例
10.机器学习预测全家桶新增VMD-TCN-GRU/BiGRU-Attention模型
11.金豺算法优化TCN-BiGRU-Attention多特征输入单步预测
13.12种算法优化CNN-BiLSTM-Attention多特征输入单步预测
14.新思路:TCN-RVM模型,你见过吗?机器学习预测全家桶新增模型
15.再添数十种回归模型!最全机器学习预测全家桶,MATLAB代码,这次千万别再错过了!
16.12种算法优化CNN-BiGRU-Attention单变量输入单步预测,持续更新
17.BiTCN、BiTCN-SVM、BiTCN-LSTM、BiTCN-BiGRU机器学习预测全家桶
18.机器学习预测全家桶再更新!CEEMDAN-VMD双分解CNN-BiLSTM预测,MATLAB代码
19.四种算法优化ELM,实现多变量输入超前24步预测功能,机器学习预测全家桶再更新!
本期继续更新机器学习预测全家桶MATLAB代码。
本期的内容是:
①实现BP回归模型,并采用7种2024年优化算法优化BP回归神经网络,股票回归预测。
②BP的单变量输入单步预测模型,此方法精度比较高,因此这里没加优化算法优化),风电功率预测。
③BP的单变量输入多步预测模型,(这里没加优化算法优化),风电功率预测。
④BP的多变量输入单步预测模型,并采用7种2024年优化算法优化BP,风电功率预测
如果不懂单/多变量输入,单/多步预测区别,回归与预测的区别可以看以下链接:
关于多/单特征输入,多/单步预测,到底是什么意思?一文讲明白!
再添数十种回归模型!最全机器学习预测全家桶,MATLAB代码,这次千万别再错过了!
本期采用 的7 种 2024 年最新的智能优化算法分别是:鹅优化算法(GOOSE);角蜥蜴优化算法(HLOA), 河马优化算法(HO),鹦鹉优化算法(PO),鳑鲏鱼优化算法(BFO),冠豪猪优化算法(CPO),爱情进化算法(LEA)。以及 3 种经典的算法:粒子群,遗传算法,灰狼算法。
为了方便修改智能优化算法,代码也做了相应集成,示例:
%% 修改number这里即可切换算法!!来自公众号《淘个代码》
%2024年最新算法
number = 5; %修改数字,分别对应下面的算法,实现一键切换算法。1是GOOSE,2是HLOA,3是HO,以此类推
str={'GOOSE','HLOA','HO','PO','BFO','CPO','LEA','GA','PSO','GWO'};
%% 7种2024最新算法 + 三种经典算法 来自公众号《淘个代码》
% GOOSE,鹅优化算法
% HLOA,角蜥蜴优化算法
% HO , 河马优化算法
% 鹦鹉优化算法 PO
% 鳑鲏鱼优化算法 BFO
% 冠豪猪优化算法 CPO
% 爱情进化算法 LEA
% GA:遗传算法
% pso:粒子群算法
% GWO灰狼算法
只需要修改这里的number,即可选择不同的智能优化算法,直呼不要太贴心!
而且,最关键的是,如果你想要再添加任何算法,只要在str这里加一个算法名字,然后把相应算法复制到目录下即可。
最后来一起看看代码效果吧!
结果如下:
(1)BP回归(采用股票数据),并采用优化算法优化BP实现回归:





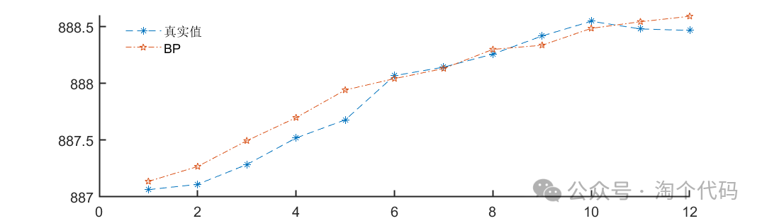
(2)BP模型的单变量输入单步预测(此方法精度比较高,因此这里没加优化算法优化),风电功率预测

(3)单变量输入多步预测(此方法没加优化算法优化),风电功率预测


(4)多变量输入单步预测,并采用优化算法优化BP,风电功率预测






本期代码目录:

机器学习预测全家桶代码获取
已将本文算法加入机器学习预测全家桶中,需要的小伙伴可以跳转链接获取:
点击下方下卡片获取!
本文介绍了MATLAB中最新发布的机器学习预测全家桶,包含了BP回归模型及其优化算法在股票回归和风电功率预测中的应用,包括单变量和多变量输入的单步、多步预测。同时提供了代码示例和获取链接。
3481

被折叠的 条评论
为什么被折叠?



