目录
摘要:
综合能源微网与共享储能在提高系统能源利用率方面具有显著效益,逐渐成为目前研究热点,如何建立一套共享储能背景下综合能源微网优化运行模型是当下亟待解决的问题。首先,本文介绍了系统运行框架,分析了系统内各利益体的功能。其次,分别针对微网运营商、共享储能服务商以及用户聚合商建立优化运行模型。进一步,分析了微网运营商与用户聚合商间的博弈关系,提出共享储能背景下微网运营商与用户聚合商间的Stackelberg博弈模型,并证明Stackelberg均衡解的存在性与唯一性。最后,在MATLAB平台上进行算例仿真,通过Yalmip工具与CPLEX求解器进行建模与求解,利用启发式算法与求解器相结合的方法优化微网运营商与用户聚合商的策略。结果表明,本文所提模型所提模型不仅能有效权衡微网运营商与用户聚合商的利益,也实现了用户聚合商与共享储能运营商的收益双赢,所采用的求解算法保护了微网运营商与用户聚合商间的数据隐私。
本文是对于”基于主从博弈理论的共享储能与综合能源微网优化运行研究”的基本复现
1 社区型综合能源微网框架
为了统一优化安排,将微网内分布式用户群等效为一个用户聚合商。假定社区型综合能源微网主要由微网运营商、用户聚合商以及共享储能运营商三个对象组成,具体场景如图 1 所示。

微网运营商作为电网与用户的中介,能与用户侧进行能源交易。从交易市场角度看:针对用户侧通过制定合理的售电价与售热价,与用户侧进行能源交易从中赚取差价;从物理层面看:微网运营商侧配有燃气轮机,为用户侧提供电能与热能。
假定共享储能运营商主要为用户聚合商提供储能服务,用于提高用户侧负荷调整的灵活性。共享储能运营商根据用户存储或取用的容量收取服务费用,所制定的单位容量租赁费用决定用户使用服务的积极性。用户侧负荷主要由电负荷与热负荷组成,每个用户都装有光伏装置。设定微网运营商制定的售电价比电网侧的售电价低,因此本文认为用户仅从微网运营商购电,统一向电网售电。
当用户所配置的光伏发电不能满足电负荷时,用户不仅能向微网运营商购电,也可从共享储能系统中取用电能;当用户侧光伏发电盈余时,用户可将盈余电能出售给电网,也可将其存储于共享储能系统。对于热负荷,一部分由微网运营商侧微燃机组提供,另一部分可由用户侧电制热设备供应。
本文模型下用户侧电能、热能选择来源不再单一,用能灵活水平更高。微网内各主体运营方式为:微网运营商根据次日电网分时电价日前制定合理的购电价与售电价,用户侧针对微网运营商提供的电价、热价与储能供应商提供的租赁费用,优化一天内电、热负荷分布,同时可通过使用共享储能服务提高自身收益。
2 基于主从博弈与共享储能的微网运营商定价模型及求解
微网运营商首先制定一天内的购电价与购热价策略集合,用户聚合商再根据微网运营商的定价方案与共享储能服务租赁费,实时调整每时段电、热负荷并合理规划共享储能服务的使用。微网运营商与用户聚合商间的交互变量为售电价、售热价、购电量以及购热量,当微网运营商的价格制定过高或过低时,用户聚合商将动态调整自身购电量与购热量;反之,微网运营商也会根据用户聚合商的购电量与购热量重新制定自身定价策略,直至寻找最优定价策略。显然,微网运营商与用户聚合商的收益冲突,且双方决策具有先后顺序,因此微网运营商与用户聚合商可视为一个主从博弈模型。该博弈G可表示为:

3 模型求解方法与流程
对于微网运营商(leader):目标函数为一天内收益最大,求解一天内最优电价与热价;对于用户聚合商(follower):目标函数为一天内收益最大,求解一天内最优柔性电负荷分布、热负荷消减量以及参与共享储能服务的电能。利用遗传算法初始化、更新上层微网运营商的售电价与购电价,下层问题直接用 CPLEX 求解器进行求解,具体求解流程如下

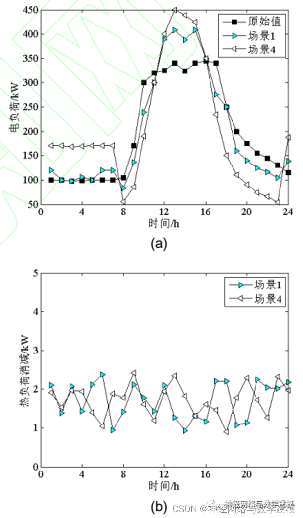
4 运行结果



5. 本文Matlab复现代码
文章提出了一种在共享储能背景下的综合能源微网优化运行模型,通过Stackelberg博弈理论处理微网运营商与用户聚合商之间的关系。模型考虑了微网的电力和热力交易,以及共享储能对用户负荷灵活性的影响。在MATLAB平台上,使用Yalmip工具和CPLEX求解器进行了模型求解和仿真,结果显示该模型能平衡各方利益并提高系统效率。
1619

被折叠的 条评论
为什么被折叠?



