描述
输入两个无环的单链表,找出它们的第一个公共结点。(注意因为传入数据是链表,所以错误测试数据的提示是用其他方式显示的,保证传入数据是正确的)
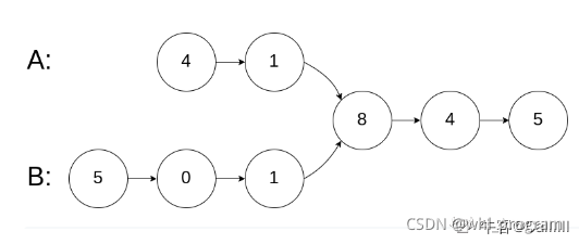
示例1
输入: {1,2,3},{4,5},{6,7}
返回值: {6,7}
说明:
第一个参数{1,2,3}代表是第一个链表非公共部分,第二个参数{4,5}代表是第二个链表非公共部分,最后的{6,7}表示的是2个链表的公共部分
这3个参数最后在后台会组装成为2个两个无环的单链表,且是有公共节点的
示例2
输入: {1},{2,3},{}
返回值: {}
说明: 2个链表没有公共节点 ,返回null,后台打印{}
思路
前面非公共结点可能长度不一样长

如果我们能够创造理想情况,使得非公共结点长度一样,就可以使用两个指针同时遍历,相同的第一个节点便是第一个公共节点。
假设链表A长度为a, 链表B的长度为b,此时a != b
但是,a+b == b+a
具体做法:
将B链放在A的前面,将A链放在B的前面,这样长度就一致了,可以用上述的双指针解法了。

代码
/*
public class ListNode {
int val;
ListNode next = null;
ListNode(int val) {
this.val = val;
}
}*/
public class Solution {
public ListNode FindFirstCommonNode(ListNode pHead1, ListNode pHead2) {
if (pHead1 == null || pHead2 == null) {
return null;
}
ListNode tempHead1 = pHead2;
ListNode tempHead2 = pHead1;
while(tempHead1 != tempHead2) {
tempHead1 = tempHead1 != null ? tempHead1.next : pHead1;
tempHead2 = tempHead2 != null ? tempHead2.next : pHead2;
}
return tempHead1 == tempHead2 ? tempHead1 : null;
}
}
该博客探讨了一种解决寻找两个无环单链表交集问题的算法。通过调整链表使得它们的非公共部分长度相等,然后使用双指针同步遍历,找到第一个相同的节点作为公共节点。当链表无交集时,返回null。这种方法有效地处理了链表长度不一的情况。
382

被折叠的 条评论
为什么被折叠?



