目 录
摘 要
高校信息化门禁系统设计利用现代信息技术提升校园安全管理水平,满足高校对于人员出入精细化管理的需求。本系统基于Spring Boot和Java开发,使用MySQL作为数据库解决方案,提供了一套完整的用户、设备及权限管理方案。不仅支持普通用户的注册登录、个人中心维护以及门禁卡片管理,还实现了设备信息的管理和故障上报,确保了校园门禁系统的稳定运行。
该系统为管理员提供了强大的后台管理功能,包括系统用户的增删改查、区域名称管理、详细的出入记录查询以及异常申诉处理等。访客邀请管理和权限申请管理模块则允许对临时访问者进行细致的权限设置,确保校园的安全可控性。通过操作日志功能,所有关键操作均有记录可查,增强了系统的透明度和安全性。整体而言,这个系统极大地提升了高校门禁管理的效率与灵活性,促进了校园安全管理向智能化方向的发展。
关键词:高校信息化门禁系统设计;SpringBoot框架;Java
The design of the university information access control system leverages modern information technology to enhance campus safety management and meet the needs for detailed personnel entry and exit management in higher education institutions. This system is developed using Spring Boot and Java, with MySQL as the database solution, providing a comprehensive user, device, and permission management scheme. It not only supports regular users' registration and login, personal center maintenance, and access card management but also manages device information and fault reporting, ensuring the stable operation of the campus access control system.
The system provides administrators with powerful backend management functions, including user addition, deletion, modification, and query, area name management, detailed entry and exit record queries, as well as handling of abnormal complaints. The visitor invitation management and permission application management modules allow for detailed permission settings for temporary visitors, ensuring the safety and controllability of the campus. Through the operation log function, all critical operations are recorded for review, enhancing the transparency and security of the system. Overall, this system significantly improves the efficiency and flexibility of university access control management, promoting the development of campus safety management towards intelligence.
Key words: university information access control system design; SpringBoot framework; Java
第一章 绪 论
1.1研究背景及意义
随着高校规模的不断扩大和校园内人员流动性的增加,传统的门禁管理系统在效率和安全性方面逐渐暴露出不足。纸质通行证、简单的刷卡系统难以满足现代校园对于精细化管理和实时监控的需求。面对这样的挑战,开发一套集成化的信息化门禁系统显得尤为重要。这套系统不仅能够提升校园安全管理水平,还能优化师生及访客的出入体验,通过技术手段实现对校园各个区域访问权限的精准控制,进而为构建智慧校园奠定坚实基础。
该信息化门禁系统通过Spring Boot和Java技术框架支持,结合MySQL数据库的强大数据处理能力,确保系统的稳定性和高效性。系统涵盖了从用户注册登录、个人资料管理到设备信息维护、故障上报等多个功能模块,实现了全方位的用户与设备管理。特别是针对管理员设计的一系列高级功能,如系统用户的增删改查、详细的出入记录查询、异常申诉处理以及访客权限设定等,大大增强了校园安全管理的灵活性和响应速度。通过对出入记录的详细记录和分析,有助于发现并预防潜在的安全隐患,保障校园环境的安全和谐。这一系统不仅提升了校园门禁管理的效率,还促进了校园安全管理模式的创新与发展。
1.2国内外研究现状
在国内外,对于高效门禁系统的探索与研究始终是学术界和工业界的关注焦点。国外从早期开始就注重将先进的信息技术应用于门禁管理中,通过引入电子化通行证、生物识别技术等手段提升安全性。一些发达国家的高校已广泛采用基于卡片或生物特征识别的门禁系统,这些系统不仅提高了出入管理的效率,还增强了校园安全防护能力。与此同时,相关的研究成果也不断涌现,涉及系统设计、用户体验优化以及数据保护等多个方面。在实际应用过程中,仍面临诸如用户隐私保护、系统兼容性等问题,需要进一步探讨和完善。
国内对于信息化门禁系统的重视程度也在逐年增加,特别是在高等教育机构中,随着校园规模的扩大和安全管理需求的提升,对高效、智能门禁系统的需求尤为迫切。近年来,不少高校已经实施了多种类型的门禁解决方案,并取得了显著成效。研究者们通过分析现有系统的运行情况,提出了许多改进建议,包括提高系统的开放性和可扩展性,增强数据的安全存储与传输机制等。尽管取得了一定进展,但国内的研究更多地集中在具体应用场景和技术实现上,对于理论框架构建及长远发展规划方面的探讨相对较少。未来,需要更多跨学科合作,共同推动该领域的进步与发展,确保门禁系统不仅能适应当前需求,还能具备良好的前瞻性与可持续发展能力。
1.3论文组织结构
本论文共分为七个主要章节,具体结构如下:
1. 绪论:介绍研究背景与意义,回顾国内外研究现状,并概述论文的组织结构。
2. 相关技术介绍:详细介绍与本研究相关的技术,包括Java语言、B/S框架、SpringBoot框架、Vue技术和MySQL数据库。
3. 需求分析:对系统的功能需求和非功能需求进行分析,明确用户和管理员的需求,并进行可行性分析,包括技术、操作和经济可行性。
4. 系统设计:涵盖系统架构设计、系统模块设计,并进行数据库的概念设计与表设计。
5. 系统实现:具体描述各个功能模块的实现过程,展示系统如何根据需求进行开发。
6. 系统测试:阐述测试的目的,分析测试结果并得出结论,以验证系统的稳定性和功能完整性。
7. 总结:总结研究的主要成果和贡献,指出存在的不足及未来的研究方向。
第二章 关键技术
2.1 B/S框架
B/S(Browser/Server)架构是一种基于浏览器和服务器的应用架构模式。它以Web浏览器作为客户端,服务器端通过Web技术提供应用服务。客户端通过浏览器与服务器进行交互,用户无需安装专门的客户端应用程序,只需要通过互联网连接即可访问应用程序[1]。在B/S架构中,客户端主要承担用户界面的呈现和基本的输入输出功能,而核心的业务处理、数据存储等操作则由服务器端完成。这种架构的核心优势在于无需在每个客户端机器上安装或更新软件,只要用户的浏览器符合要求,就可以使用系统。
B/S(Browser/Server)架构是一种网络架构模型,其主要特点是客户端通过浏览器与服务器进行通信,所有的业务逻辑和数据处理都在服务器端完成,客户端仅负责展示数据[2]。B/S架构本质上是一种客户端-服务器模式的变体,它通过将传统的C/S(Client/Server)架构中的客户端功能移到浏览器中,简化了客户端的开发和维护工作。在B/S架构中,用户通过浏览器发送请求,浏览器负责展示从服务器获取的数据,服务器则处理请求并返回响应。该架构避免了安装和配置客户端软件的麻烦,也减少了对客户端硬件的依赖,适合于需要大规模部署和跨平台支持的应用系统。
2.2 SpringBoot框架
SpringBoot是一个用于简化Spring应用开发的开源框架,通过减少开发人员配置和依赖的复杂性,使得开发者能够快速构建基于Spring的生产级应用。SpringBoot基于Spring框架之上,提供了一种自配置的方式,使得开发者可以以最少的配置来启动和开发Spring应用[3]。它通过约定优于配置的原则,将常见的配置预设,使得开发人员能够聚焦于业务逻辑的实现,而不必过多关注繁琐的配置和环境搭建。
SpringBoot框架的核心特点之一是其自动配置功能。它能够根据项目中已存在的类和库,自动推断出开发环境的配置需求,减少了手动配置的工作量。SpringBoot还提供了嵌入式Web服务器支持(如Tomcat、Jetty等),使得应用可以以独立的Java应用形式运行,不再依赖外部的Web容器。这种特性使得SpringBoot特别适合于微服务架构的构建。SpringBoot还通过其提供的启动器(Starters)简化了常见功能的集成,例如数据库连接、消息队列、缓存、认证与授权等,从而提升了开发效率[4]。
2.3 Vue技术
Vue.js是一款用于构建用户界面的渐进式JavaScript框架,提供一种灵活而高效的方式来开发单页面应用(SPA)。Vue的设计理念是通过尽量简化开发过程,提供一种声明式的方式来构建用户界面[5]。Vue.js通过数据驱动的视图模型,允许开发者以声明式语法绑定数据与视图,使得应用的状态和界面表现更加简洁和可维护。它的核心思想是通过组件化开发将复杂的UI拆分为可重用的独立模块,从而提升了代码的模块化、可维护性和可扩展性。
Vue.js具备数据绑定和虚拟DOM的特性。响应式数据绑定意味着当数据变化时,Vue会自动更新与之绑定的DOM元素,从而实现视图的实时更新。虚拟DOM则是Vue.js的一种优化手段,通过将对DOM的操作抽象为一个虚拟的DOM树来提高性能,减少实际DOM操作的开销[6]。Vue还提供了丰富的插件和工具,如Vue Router用于路由管理,Vuex用于状态管理,方便开发者构建复杂的前端应用。Vue的灵活性和简洁性使其成为现代Web开发中常用的前端框架之一。
2.4 MySQL数据库
MySQL是一种开源的关系型数据库管理系统(RDBMS),基于SQL(结构化查询语言)进行数据操作。作为一个被广泛使用的数据库系统,MySQL具有高度的性能、可扩展性和可靠性。MySQL使用表格结构来存储数据,每个表由多个列和行组成,数据通过SQL查询语言进行操作[7]。MySQL支持多种数据类型,如整数、浮动小数、字符串、日期等,以满足不同应用场景对数据存储的需求。在实际应用中,MySQL通常用于存储和管理结构化数据,通过索引、视图、触发器等功能提升数据查询的效率和数据的完整性。
MySQL支持ACID事务特性(原子性、一致性、隔离性、持久性),确保数据库操作的可靠性和数据的一致性。它还支持多种存储引擎,其中InnoDB是最常用的存储引擎,具备事务支持、行级锁定和外键约束等特性,适用于高并发、高可靠性的数据存储需求。MySQL可以通过主从复制、分区和分库分表等技术实现横向扩展,以应对大规模数据存储和高负载的应用需求。MySQL还具有灵活的权限管理机制,支持用户角色管理、细粒度的权限控制等,保障数据的安全性。
2.5 Java语言
Java语言是一种广泛使用的高级编程语言,具有平台无关性、面向对象特性和丰富的标准库。Java通过Java虚拟机(JVM)实现跨平台运行,开发者可以编写一次代码,在任何支持JVM的环境中执行[8]。Java的面向对象特性使得代码复用和模块化变得更加容易,促进了软件的维护和扩展。Java支持多线程编程,允许开发者在同一程序中同时执行多个任务,提升了应用程序的性能。
Java语言的语法结构简洁且易于理解,吸引了大量开发者。Java的标准库包含数据结构、输入输出处理、网络编程等众多功能模块。这使得开发者在构建应用程序时能够高效利用已有工具,减少重复劳动。Java广泛应用于企业级应用、移动应用、Web开发和大数据处理等领域。
第三章 系统分析
3.1系统可行性分析
3.1.1技术可行性
技术可行性方面,基于Spring Boot和Java的信息化门禁系统展现了高度的灵活性与扩展性。MySQL数据库提供了稳定的数据存储解决方案,确保了系统的高效运行和数据的安全性。通过模块化设计,系统能够方便地进行功能扩展和维护,满足不同规模校园的需求。同时,现代软件开发工具和技术框架的支持,使得系统开发周期缩短,易于集成现有的校园网络基础设施。
3.1.2经济可行性
经济可行性上,构建信息化门禁系统虽然需要初期投资用于硬件购置、软件开发及人员培训等方面,但从长远来看,该系统可以大幅减少传统门禁管理所需的人力成本和时间成本。系统提高了资源利用率,减少了因人为错误或疏忽造成的损失。随着技术的发展,硬件成本逐渐降低,也为更多机构采用这种高效的管理系统提供了可能,从而实现了经济效益和社会效益的双赢。
3.1.3操作可行性
操作可行性上,本系统的设计充分考虑了用户的实际需求和使用习惯,提供友好的用户界面和详细的帮助文档,使用户无需专业培训即可轻松上手。对于管理员而言,后台管理功能强大且直观,支持对系统进行全面监控和管理。系统还包含了详细的操作日志记录,便于追踪任何异常情况,保障系统的透明度和可追溯性。所有这些特点都极大地简化了日常操作和管理流程。
3.2系统性能需求分析
1.可用性需求
系统必须具备高可用性,以确保其在各种使用场景下能够稳定运行。为满足可用性要求,系统应当具备自恢复能力和冗余机制,避免因单点故障而导致的服务中断。具体而言,系统的部署架构应支持负载均衡和集群配置,通过多个实例的协作提高整体系统的可用性。系统应提供详尽的监控与告警机制,能够实时追踪系统运行状态,及时发现潜在问题并触发自动恢复操作或通知管理员。在用户体验方面,系统需要提供清晰的错误提示信息,并能够在发生异常时通过回滚操作或其他容错机制,保证用户的操作不受到严重影响。
2.可靠性需求
可靠性要求系统在长时间运行中保持稳定,能够有效应对各种可能的故障和压力。系统设计应支持高可用的数据库架构,采用数据库主从复制、分片等技术以实现数据的可靠存储与访问。应用层应具备容错能力,在面对硬件故障、网络中断等意外情况时,能够保持系统的正常服务或在故障恢复后迅速恢复数据和业务流程。系统应具备日志记录功能,能够全面记录操作过程和异常信息,从而为问题追踪与系统优化提供数据支持。系统的可靠性还需要通过压力测试和稳定性测试来验证,确保在大规模用户访问及高并发场景下能够正常运行,不发生崩溃或数据丢失现象。
3.安全性需求
系统的安全性需求必须得到高度重视,确保系统和用户数据的保密性、完整性和可用性。为实现数据安全,系统应采用加密技术,特别是在用户认证、敏感数据传输和存储过程中,采用SSL/TLS协议进行加密通信,确保数据在传输过程中不被窃取或篡改。系统应支持用户身份验证与授权管理,采用如OAuth、JWT等安全机制防止未授权访问。访问控制应细化到资源级别,确保不同角色的用户只能访问其权限范围内的功能。为了防止恶意攻击,系统还应加强对常见攻击方式(如SQL注入、XSS攻击、CSRF攻击等)的防护,通过输入验证、输出转义、会话管理等技术措施提高系统的安全性。系统应定期进行安全审计与漏洞扫描,及时发现并修补可能的安全漏洞,保障系统的长期安全运营。
3.2.1功能性分析
普通用户模块:
- 注册登录:用户可以在此模块中完成注册和登录操作,以便进入系统进行后续的管理和服务功能。注册功能允许新用户创建账户,而登录功能则允许已注册用户进入个人账户。
- 后台首页:后台首页是管理员进行系统管理的起始界面,提供了功能导航栏,方便管理员快速访问各个管理模块。首页还包含一个头像区域,点击头像可以查看或修改个人中心信息以及更改密码,确保管理员能够方便地管理个人信息。
- 设备信息管理:设备信息管理模块允许用户查询和管理系统中的设备信息。用户可以查看设备的详细信息,并在必要时填写并上报设备故障。这一功能确保了设备的正常运行和及时维护。
- 故障上报管理:故障上报管理模块为用户提供了一个界面,用于查询和查看已上报的故障详情。用户可以追踪故障处理进度,并了解故障解决的状态,从而确保问题得到及时和有效的处理。
- 门禁卡片管理:门禁卡片管理模块允许用户查询和管理门禁系统的卡片信息。用户可以查看卡片的详细信息,包括卡片的使用状态和权限设置,必要时还可以进行卡片的新增或更新操作。
- 出入记录管理:出入记录管理模块提供了查询和查看出入记录的功能。用户可以查看详细的出入记录,并在发现异常情况时填写申诉内容,以便进行进一步的审核和处理。
- 异常申诉管理:异常申诉管理模块允许用户查询和查看所有异常申诉的详细信息。用户可以了解申诉的处理状态,并在必要时提供额外信息或跟进处理进度,确保问题得到妥善解决。
- 访客邀请管理:访客邀请管理模块提供了添加和查询访客邀请的功能。用户可以创建新的访客邀请,并管理已发出的邀请,包括查看邀请详情和状态,确保访客访问的顺利进行。
- 访客权限管理:访客权限管理模块允许用户查询和管理访客的权限设置。用户可以查看访客的权限详情,并根据需要进行调整,确保访客在访问期间的权限符合安全和访问政策。
- 权限申请管理:权限申请管理模块提供了添加和查询权限申请的功能。用户可以发起新的权限申请,并管理已提交的申请,包括查看申请详情和状态,以便及时获得所需的权限进行工作。
管理员模块:
- 登录功能:管理员可以通过输入正确的用户名和密码来登录系统,确保只有授权的人员能够访问后台管理界面。
- 后台首页:提供了一个功能导航栏,方便管理员快速访问不同的管理模块。同时,页面上展示了普通用户和设备信息的统计概览,以及一个头像图标,点击后可以查看或修改个人中心信息以及密码。
- 系统用户:管理员可以在此模块中对普通用户进行添加、删除、查询和修改操作。同时,可以查看用户的详细信息。
- 设备信息管理:管理员能够添加新的设备信息,也可以删除或查询现有设备,并查看设备的详细信息。管理员还可以处理设备上报的相关事宜。
- 故障上报管理:管理员可以删除或查询故障上报记录,并查看每条记录的详细情况。
- 区域名称管理:管理员可以添加新的区域名称,也可以删除或查询现有区域,并查看区域的详细信息。
- 门禁卡片管理:管理员可以添加新的门禁卡片信息,也可以删除或查询现有卡片,并查看卡片的详细信息。此外,管理员还可以录入卡片的出入记录。
- 出入记录管理:管理员可以删除或查询出入记录,并查看记录的详细情况。用户还可以对出入记录提出申诉。
- 异常申诉管理:管理员可以删除或查询异常申诉记录,并查看记录的详细情况。管理员还需要对申诉进行审核。
- 访客邀请管理:管理员可以添加新的访客邀请信息,也可以删除或查询现有邀请,并查看邀请的详细信息。审核通过后,管理员需要填写访客的可访问时段和区域权限。
- 访客权限管理:管理员可以删除或查询访客权限,并查看权限的详细信息。
- 权限申请管理:管理员可以添加新的权限申请,也可以删除或查询现有申请,并查看申请的详细信息。管理员还需要对权限申请进行审核。
- 操作日志:管理员可以查看操作日志列表,了解系统中所有操作的记录和详情。
3.2.2系统用例分析
高校信息化门禁系统设计的完整UML用例图分别是图3-1、3-2。
普通用户角色用例如下图所示。

图3-1高校信息化门禁系统设计普通用户角色用例图
管理员角色用例如下图所示。

图3-2高校信息化门禁系统设计管理员角色用例图
3.3系统总体流程设计
3.3.1数据开发流程
系统开发流程的主要步骤,从需求分析到系统完成的全过程。流程包括需求分析、总体设计(结构、功能、数据)、详细设计(模块、编码)、模块整合与调用,以及测试、扩展和完善,最终完成系统的开发。本系统的开发流程如下图所示

图3-3系统开发流程图
3.3.2用户登录流程
用户输入用户名和密码后,系统先检查输入是否为空,再验证用户名是否存在,若存在则通过用户名获取密码并校验。若密码正确则登录成功,否则提示密码错误。若用户名不存在或无法登录,提示用户操作无效。如下图所示。

图3-4登录流程图
3.3.3系统操作流程
用户首先进入系统登录界面,输入用户名和密码后,系统验证信息是否正确。若验证失败,返回登录界面重新输入,若验证成功,则进入功能界面,执行相应功能处理后结束操作流程。操作流程如下图所示。

图3-5系统操作流程图
3.3.4添加信息流程
管理员可以添加信息,用户添加可以自己权限内的信息,输入信息后,要想利用这个软件来进行系统的安全管理,首先需要登录到该软件中。添加信息流程如下图所示。

图3-6添加信息流程图
3.3.5修改信息流程
用户首先选择需要修改的记录,输入修改后的数据,系统判断输入数据是否合法。若数据不合法,提示重新输入,若数据合法,则将修改后的数据写入数据库,完成操作后流程结束。修改信息流程图如下图所示。

图3-7修改信息流程图
3.3.6删除信息流程
用户选择需要删除的记录后,系统判断是否确认删除。若未确认,返回选择环节,若确认删除,则更新数据库,删除对应记录,完成操作后流程结束。删除信息流程图如下图所示。

图3-8删除信息流程图
第四章 总体设计
本章主要讨论的内容包括高校信息化门禁系统设计的系统结构设计、功能模块设计、数据库系统设计。
4.1系统架构设计
系统采用SpringBoot 框架开发,该系统分为VIEW层、Controller层、Model层、DAO层和持久化数据存储层,VIEW层支持电脑浏览器访问系统。VIEW 层与 Controller 层紧密结合并系协同工作,共同完成前台页面的数据展示;Controller层为控制层,通过接收前端请求的参数进行业务处理,返回指定的路径或数据;Model层主要是服务层,用于业务逻辑处理;DAO 和持久化层,主要用于访问数据库和持久化数据[9]。整个系统架构如图下所示。

图4-1系统架构图
4.2系统模块设计
在上一章节中主要对系统的功能性需求和非功能性需求进行分析,并且根据需求分析了本高校信息化门禁系统设计中的用例。那么接下来就要开始对本高校信息化门禁系统设计的架构、主要功能和数据库开始进行设计。高校信息化门禁系统设计根据前面章节的需求分析得出,高校信息化门禁系统设计的功能模块图如下图所示。

图4-2高校信息化门禁系统设计功能模块图
4.3数据库设计
数据库设计一般包括需求分析、概念模型设计、数据库表建立三大过程,其中需求分析前面章节已经阐述,概念模型设计有概念模型和逻辑结构设计两部分。
4.3.1数据库概念结构设计
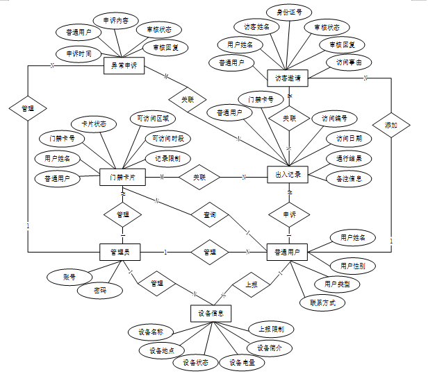
下面是整个高校信息化门禁系统设计中主要的数据库表总E-R实体关系图。

图4-3高校信息化门禁系统设计总E-R关系图
4.3.2数据库逻辑结构设计
通过上一小节中高校信息化门禁系统设计中总E-R关系图上得出一共需要创建多个数据表。在此主要罗列几个主要的数据库表结构设计。
表 4-1-abnormal_complaints(异常申诉)
| 编号 | 字段名 | 类型 | 长度 | 是否非空 | 是否主键 | 注释 |
| 1 | abnormal_complaints_id | int | 是 | 是 | 异常申诉ID | |
| 2 | ordinary_user | int | 否 | 否 | 普通用户 | |
| 3 | user_name | varchar | 64 | 否 | 否 | 用户姓名 |
| 4 | access_number | varchar | 64 | 否 | 否 | 访问编号 |
| 5 | appeal_time | date | 否 | 否 | 申诉时间 | |
| 6 | complaint_content | text | 65535 | 否 | 否 | 申诉内容 |
| 7 | examine_state | varchar | 16 | 是 | 否 | 审核状态 |
| 8 | examine_reply | varchar | 255 | 否 | 否 | 审核回复 |
| 9 | create_time | datetime | 是 | 否 | 创建时间 | |
| 10 | update_time | timestamp | 是 | 否 | 更新时间 | |
| 11 | source_table | varchar | 255 | 否 | 否 | 来源表 |
| 12 | source_id | int | 否 | 否 | 来源ID | |
| 13 | source_user_id | int | 否 | 否 | 来源用户 |
表 4-2-access_card(门禁卡片)
| 编号 | 字段名 | 类型 | 长度 | 是否非空 | 是否主键 | 注释 |
| 1 | access_card_id | int | 是 | 是 | 门禁卡片ID | |
| 2 | ordinary_user | int | 否 | 否 | 普通用户 | |
| 3 | user_name | varchar | 64 | 否 | 否 | 用户姓名 |
| 4 | access_card_number | varchar | 64 | 否 | 否 | 门禁卡号 |
| 5 | card_status | varchar | 64 | 否 | 否 | 卡片状态 |
| 6 | accessible_area | varchar | 64 | 否 | 否 | 可访问区域 |
| 7 | accessible_period | varchar | 64 | 否 | 否 | 可访问时段 |
| 8 | access_records_limit_times | int | 是 | 否 | 记录限制次数 | |
| 9 | create_time | datetime | 是 | 否 | 创建时间 | |
| 10 | update_time | timestamp | 是 | 否 | 更新时间 |
表 4-3-access_records(出入记录)
| 编号 | 字段名 | 类型 | 长度 | 是否非空 | 是否主键 | 注释 |
| 1 | access_records_id | int | 是 | 是 | 出入记录ID | |
| 2 | ordinary_user | int | 否 | 否 | 普通用户 | |
| 3 | user_name | varchar | 64 | 否 | 否 | 用户姓名 |
| 4 | access_card_number | varchar | 64 | 否 | 否 | 门禁卡号 |
| 5 | access_number | varchar | 64 | 否 | 否 | 访问编号 |
| 6 | access_area | varchar | 64 | 否 | 否 | 访问区域 |
| 7 | date_of_visit | datetime | 否 | 否 | 访问日期 | |
| 8 | visit_duration | double | 否 | 否 | 访问时长 | |
| 9 | passage_results | varchar | 64 | 否 | 否 | 通行结果 |
| 10 | note_information | text | 65535 | 否 | 否 | 备注信息 |
| 11 | abnormal_complaints_limit_times | int | 是 | 否 | 申诉限制次数 | |
| 12 | create_time | datetime | 是 | 否 | 创建时间 | |
| 13 | update_time | timestamp | 是 | 否 | 更新时间 | |
| 14 | source_table | varchar | 255 | 否 | 否 | 来源表 |
| 15 | source_id | int | 否 | 否 | 来源ID | |
| 16 | source_user_id | int | 否 | 否 | 来源用户 |
表 4-4-access_token(登陆访问时长)
| 编号 | 字段名 | 类型 | 长度 | 是否非空 | 是否主键 | 注释 |
| 1 | token_id | int | 是 | 是 | 临时访问牌ID | |
| 2 | token | varchar | 64 | 否 | 否 | 临时访问牌 |
| 3 | info | text | 65535 | 否 | 否 | 信息 |
| 4 | maxage | int | 是 | 否 | 最大寿命:默认2小时 | |
| 5 | create_time | timestamp | 是 | 否 | 创建时间 | |
| 6 | update_time | timestamp | 是 | 否 | 更新时间 | |
| 7 | user_id | int | 是 | 否 | 用户编号 |
表 4-5-area_name(区域名称)
| 编号 | 字段名 | 类型 | 长度 | 是否非空 | 是否主键 | 注释 |
| 1 | area_name_id | int | 是 | 是 | 区域名称ID | |
| 2 | area_name | varchar | 64 | 否 | 否 | 区域名称 |
| 3 | create_time | datetime | 是 | 否 | 创建时间 | |
| 4 | update_time | timestamp | 是 | 否 | 更新时间 |
表 4-6-auth(用户权限管理)
| 编号 | 字段名 | 类型 | 长度 | 是否非空 | 是否主键 | 注释 |
| 1 | auth_id | int | 是 | 是 | 授权ID | |
| 2 | user_group | varchar | 64 | 否 | 否 | 用户组 |
| 3 | mod_name | varchar | 64 | 否 | 否 | 模块名 |
| 4 | table_name | varchar | 64 | 否 | 否 | 表名 |
| 5 | page_title | varchar | 255 | 否 | 否 | 页面标题 |
| 6 | path | varchar | 255 | 否 | 否 | 路由路径 |
| 7 | parent | varchar | 64 | 否 | 否 | 父级菜单 |
| 8 | parent_sort | int | 是 | 否 | 父级菜单排序 | |
| 9 | position | varchar | 32 | 否 | 否 | 位置 |
| 10 | mode | varchar | 32 | 是 | 否 | 跳转方式 |
| 11 | add | tinyint | 是 | 否 | 是否可增加 | |
| 12 | del | tinyint | 是 | 否 | 是否可删除 | |
| 13 | set | tinyint | 是 | 否 | 是否可修改 | |
| 14 | get | tinyint | 是 | 否 | 是否可查看 | |
| 15 | field_add | text | 65535 | 否 | 否 | 添加字段 |
| 16 | field_set | text | 65535 | 否 | 否 | 修改字段 |
| 17 | field_get | text | 65535 | 否 | 否 | 查询字段 |
| 18 | table_nav_name | varchar | 500 | 否 | 否 | 跨表导航名称 |
| 19 | table_nav | varchar | 500 | 否 | 否 | 跨表导航 |
| 20 | option | text | 65535 | 否 | 否 | 配置 |
| 21 | create_time | timestamp | 是 | 否 | 创建时间 | |
| 22 | update_time | timestamp | 是 | 否 | 更新时间 |
表 4-7-code_token(验证码)
| 编号 | 字段名 | 类型 | 长度 | 是否非空 | 是否主键 | 注释 |
| 1 | code_token_id | int | 是 | 是 | 验证码ID | |
| 2 | token | varchar | 255 | 否 | 否 | 令牌 |
| 3 | code | varchar | 255 | 否 | 否 | 验证码 |
| 4 | expire_time | timestamp | 是 | 否 | 失效时间 | |
| 5 | create_time | timestamp | 是 | 否 | 创建时间 | |
| 6 | update_time | timestamp | 是 | 否 | 更新时间 |
表 4-8-device_information(设备信息)
| 编号 | 字段名 | 类型 | 长度 | 是否非空 | 是否主键 | 注释 |
| 1 | device_information_id | int | 是 | 是 | 设备信息ID | |
| 2 | equipment_name | varchar | 64 | 否 | 否 | 设备名称 |
| 3 | equipment_location | varchar | 64 | 否 | 否 | 设备地点 |
| 4 | device_status | varchar | 64 | 否 | 否 | 设备状态 |
| 5 | equipment_power | varchar | 64 | 否 | 否 | 设备电量 |
| 6 | equipment_introduction | text | 65535 | 否 | 否 | 设备简介 |
| 7 | fault_reporting_limit_times | int | 是 | 否 | 上报限制次数 | |
| 8 | create_time | datetime | 是 | 否 | 创建时间 | |
| 9 | update_time | timestamp | 是 | 否 | 更新时间 |
表 4-9-fault_reporting(故障上报)
| 编号 | 字段名 | 类型 | 长度 | 是否非空 | 是否主键 | 注释 |
| 1 | fault_reporting_id | int | 是 | 是 | 故障上报ID | |
| 2 | ordinary_user | int | 否 | 否 | 普通用户 | |
| 3 | user_name | varchar | 64 | 否 | 否 | 用户姓名 |
| 4 | equipment_name | varchar | 64 | 否 | 否 | 设备名称 |
| 5 | reporting_time | date | 否 | 否 | 上报时间 | |
| 6 | fault_content | text | 65535 | 否 | 否 | 故障内容 |
| 7 | create_time | datetime | 是 | 否 | 创建时间 | |
| 8 | update_time | timestamp | 是 | 否 | 更新时间 | |
| 9 | source_table | varchar | 255 | 否 | 否 | 来源表 |
| 10 | source_id | int | 否 | 否 | 来源ID | |
| 11 | source_user_id | int | 否 | 否 | 来源用户 |
表 4-10-hits(用户点击)
| 编号 | 字段名 | 类型 | 长度 | 是否非空 | 是否主键 | 注释 |
| 1 | hits_id | int | 是 | 是 | 点赞ID | |
| 2 | user_id | int | 是 | 否 | 点赞人 | |
| 3 | create_time | timestamp | 是 | 否 | 创建时间 | |
| 4 | update_time | timestamp | 是 | 否 | 更新时间 | |
| 5 | source_table | varchar | 255 | 否 | 否 | 来源表 |
| 6 | source_field | varchar | 255 | 否 | 否 | 来源字段 |
| 7 | source_id | int | 是 | 否 | 来源ID |
表 4-11-operation_log(操作日志表)
| 编号 | 字段名 | 类型 | 长度 | 是否非空 | 是否主键 | 注释 |
| 1 | operation_log_id | int | 是 | 是 | 操作日志ID | |
| 2 | user_group | varchar | 64 | 否 | 否 | 用户角色 |
| 3 | user_name | varchar | 64 | 否 | 否 | 用户账号 |
| 4 | routes | varchar | 64 | 否 | 否 | 模块名称 |
| 5 | create_time | datetime | 是 | 否 | 创建时间 | |
| 6 | update_time | timestamp | 是 | 否 | 更新时间 |
表 4-12-ordinary_user(普通用户)
| 编号 | 字段名 | 类型 | 长度 | 是否非空 | 是否主键 | 注释 |
| 1 | ordinary_user_id | int | 是 | 是 | 普通用户ID | |
| 2 | user_name | varchar | 64 | 否 | 否 | 用户姓名 |
| 3 | user_gender | varchar | 64 | 否 | 否 | 用户性别 |
| 4 | user_type | varchar | 64 | 否 | 否 | 用户类型 |
| 5 | contact_information | varchar | 16 | 否 | 否 | 联系方式 |
| 6 | examine_state | varchar | 16 | 是 | 否 | 审核状态 |
| 7 | user_id | int | 是 | 否 | 用户ID | |
| 8 | create_time | datetime | 是 | 否 | 创建时间 | |
| 9 | update_time | timestamp | 是 | 否 | 更新时间 |
表 4-13-permission_request(权限申请)
| 编号 | 字段名 | 类型 | 长度 | 是否非空 | 是否主键 | 注释 |
| 1 | permission_request_id | int | 是 | 是 | 权限申请ID | |
| 2 | ordinary_user | int | 否 | 否 | 普通用户 | |
| 3 | user_name | varchar | 64 | 否 | 否 | 用户姓名 |
| 4 | application_name | varchar | 64 | 否 | 否 | 申请名称 |
| 5 | application_time | date | 否 | 否 | 申请时间 | |
| 6 | application_content | text | 65535 | 否 | 否 | 申请内容 |
| 7 | examine_state | varchar | 16 | 是 | 否 | 审核状态 |
| 8 | examine_reply | varchar | 255 | 否 | 否 | 审核回复 |
| 9 | create_time | datetime | 是 | 否 | 创建时间 | |
| 10 | update_time | timestamp | 是 | 否 | 更新时间 |
表 4-14-upload(文件上传)
| 编号 | 字段名 | 类型 | 长度 | 是否非空 | 是否主键 | 注释 |
| 1 | upload_id | int | 是 | 是 | 上传ID | |
| 2 | name | varchar | 64 | 否 | 否 | 文件名 |
| 3 | path | varchar | 255 | 否 | 否 | 访问路径 |
| 4 | file | varchar | 255 | 否 | 否 | 文件路径 |
| 5 | display | varchar | 255 | 否 | 否 | 显示顺序 |
| 6 | father_id | int | 否 | 否 | 父级ID | |
| 7 | dir | varchar | 255 | 否 | 否 | 文件夹 |
| 8 | type | varchar | 32 | 否 | 否 | 文件类型 |
表 4-15-user(用户账户)
| 编号 | 字段名 | 类型 | 长度 | 是否非空 | 是否主键 | 注释 |
| 1 | user_id | int | 是 | 是 | 用户ID | |
| 2 | state | smallint | 是 | 否 | 账户状态:(1可用|2异常|3已冻结|4已注销) | |
| 3 | user_group | varchar | 32 | 否 | 否 | 所在用户组 |
| 4 | login_time | timestamp | 是 | 否 | 上次登录时间 | |
| 5 | phone | varchar | 11 | 否 | 否 | 手机号码 |
| 6 | phone_state | smallint | 是 | 否 | 手机认证:(0未认证|1审核中|2已认证) | |
| 7 | username | varchar | 16 | 是 | 否 | 用户名 |
| 8 | nickname | varchar | 16 | 否 | 否 | 昵称 |
| 9 | password | varchar | 64 | 是 | 否 | 密码 |
| 10 | | varchar | 64 | 否 | 否 | 邮箱 |
| 11 | email_state | smallint | 是 | 否 | 邮箱认证:(0未认证|1审核中|2已认证) | |
| 12 | avatar | varchar | 255 | 否 | 否 | 头像地址 |
| 13 | open_id | varchar | 255 | 否 | 否 | 针对获取用户信息字段 |
| 14 | create_time | timestamp | 是 | 否 | 创建时间 |
表 4-16-user_group(用户组)
| 编号 | 字段名 | 类型 | 长度 | 是否非空 | 是否主键 | 注释 |
| 1 | group_id | mediumint | 是 | 是 | 用户组ID | |
| 2 | display | smallint | 是 | 否 | 显示顺序 | |
| 3 | name | varchar | 16 | 是 | 否 | 名称 |
| 4 | description | varchar | 255 | 否 | 否 | 描述 |
| 5 | source_table | varchar | 255 | 否 | 否 | 来源表 |
| 6 | source_field | varchar | 255 | 否 | 否 | 来源字段 |
| 7 | source_id | int | 是 | 否 | 来源ID | |
| 8 | register | smallint | 否 | 否 | 注册位置 | |
| 9 | create_time | timestamp | 是 | 否 | 创建时间 | |
| 10 | update_time | timestamp | 是 | 否 | 更新时间 |
表 4-17-visitor_invitation(访客邀请)
| 编号 | 字段名 | 类型 | 长度 | 是否非空 | 是否主键 | 注释 |
| 1 | visitor_invitation_id | int | 是 | 是 | 访客邀请ID | |
| 2 | ordinary_user | int | 否 | 否 | 普通用户 | |
| 3 | user_name | varchar | 64 | 否 | 否 | 用户姓名 |
| 4 | visitors_name | varchar | 64 | 否 | 否 | 访客姓名 |
| 5 | id_number | varchar | 255 | 否 | 否 | 身份证号 |
| 6 | subject_of_the_visit | text | 65535 | 否 | 否 | 访问事由 |
| 7 | examine_state | varchar | 16 | 是 | 否 | 审核状态 |
| 8 | examine_reply | varchar | 255 | 否 | 否 | 审核回复 |
| 9 | visitor_permissions_limit_times | int | 是 | 否 | 权限限制次数 | |
| 10 | create_time | datetime | 是 | 否 | 创建时间 | |
| 11 | update_time | timestamp | 是 | 否 | 更新时间 |
表 4-18-visitor_permissions(访客权限)
| 编号 | 字段名 | 类型 | 长度 | 是否非空 | 是否主键 | 注释 |
| 1 | visitor_permissions_id | int | 是 | 是 | 访客权限ID | |
| 2 | ordinary_user | int | 否 | 否 | 普通用户 | |
| 3 | user_name | varchar | 64 | 否 | 否 | 用户姓名 |
| 4 | visitors_name | varchar | 64 | 否 | 否 | 访客姓名 |
| 5 | accessible_area | varchar | 64 | 否 | 否 | 可访问区域 |
| 6 | accessible_period | varchar | 64 | 否 | 否 | 可访问时段 |
| 7 | note_information | text | 65535 | 否 | 否 | 备注信息 |
| 8 | create_time | datetime | 是 | 否 | 创建时间 | |
| 9 | update_time | timestamp | 是 | 否 | 更新时间 | |
| 10 | source_table | varchar | 255 | 否 | 否 | 来源表 |
| 11 | source_id | int | 否 | 否 | 来源ID | |
| 12 | source_user_id | int | 否 | 否 | 来源用户 |
第五章 系统详细设计与实现
5.1登录模块
现有用户则可以通过输入已注册的用户名和密码进行登录。系统采用了加密技术保护用户的登录信息,确保数据传输的安全性。还提供了忘记密码的功能,用户可以通过注册时填写的邮箱或手机号码重置密码,保证了账户的安全性和可访问性。登录模块如下图所示。

图5-1登录模块图
5.2普通用户功能模块
5.2.1设备信息管理模块
设备信息管理模块允许用户查询校园内所有门禁设备的信息详情,包括设备状态、位置等关键数据。一旦发现设备出现故障或需要维护时,用户可以直接在系统中填写上报故障信息,以便相关部门及时处理。该模块提高了设备维护效率,保障了门禁系统的正常运行,同时也增强了用户体验。模块如下图所示。

图5-2设备信息管理模块图
5.2.2出入记录管理模块
出入记录管理模块让用户能够查询自己的出入记录详情,包括时间、地点等信息。对于任何不正确的记录,用户还可以填写申诉内容,申请更正。这不仅有助于提高记录准确性,也为用户提供了一个透明、公正的平台来维护自身权益,同时加强了校园安全管理。模块如下图所示。

图5-3出入记录管理模块图
5.2.3访客邀请管理模块
访客邀请管理允许用户添加新的访客信息,查询已有访客详情,并为访客提供必要的访问指南。通过这个模块,用户可以轻松安排访客来访事宜,确保访客能够在规定的时间段内顺利进入指定区域。这大大简化了访客接待流程,提升了访客体验的同时也保证了校园的安全。模块如下图所示。

图5-4访客邀请管理添加模块图
5.2.4权限申请管理模块
权限申请管理为用户提供了一个方便的途径来申请新的访问权限或修改现有权限。用户可以通过添加新申请或查询已有申请的状态来进行权限管理。每个申请都有详细的页面展示其具体情况,如申请理由、状态更新等。这使得权限管理更加灵活高效,满足了不同用户的个性化需求。模块如下图所示。

图5-5权限申请管理添加模块图
5.3管理员功能模块
5.3.1后台首页模块
提供了一个功能导航栏,方便管理员快速访问不同的管理模块。同时,页面上展示了普通用户和设备信息的统计概览,以及一个头像图标,点击后可以查看或修改个人中心信息以及密码。模块如下图所示。

图5-6后台首页模块图
5.3.2系统用户模块
管理员可以对系统内的用户进行管理,包括添加、删除、查询和查看用户详情。用户类型涵盖管理员、普通用户,确保不同角色的用户能够执行相应的操作。流程图如下所示。

图5-7系统用户流程图
系统用户模块如下图所示。

图5-8系统用户模块图
5.3.3门禁卡片管理模块
门禁卡片管理模块赋予管理员添加、删除或查询门禁卡信息的能力,同时还能录入出入记录。每张卡片都有详细的页面展示其权限范围、有效期等信息。此模块简化了卡片管理和维护流程,确保了数据的准确性和实时性,提高了整体运营效率模块如下图所示。

图5-9门禁卡片管理模块图
5.3.4区域名称管理模块
区域名称管理模块允许管理员添加、删除或查询校园内各个区域的名称信息,并提供详细的页面展示每个区域的具体情况。通过精准管理区域名称,管理员能够更好地控制访问权限,确保访客和用户只能进入被授权的区域,提升校园安全性。模块如下图所示。

图5-10区域名称管理模块图
5.3.5设备信息管理模块
设备信息管理模块让管理员能够全面掌控校园内的门禁设备,支持添加新设备、删除或查询现有设备,并详细记录每台设备的状态与位置。管理员还可以直接在系统中上报设备故障,以便及时安排维修。该模块提高了设备维护效率,保障了系统的稳定运行,增强了用户体验。模块如下图所示。

图5-11设备信息管理添加模块图
5.3.6异常申诉管理模块
异常申诉管理模块专为管理员设计,用于审核和处理用户提交的所有异常申诉请求。管理员可以删除、查询申诉详情,并决定是否批准申诉。每项申诉都有详细的说明页面,列出申诉原因、提交时间和当前状态,确保每一个疑问都能得到妥善解决模块如下图所示。

图5-12异常申诉管理模块图
5.3.7访客邀请管理模块
访客邀请管理模块允许管理员添加、删除或查询访客信息,并在审核后为访客填写可访问时段和区域权限。通过这一模块,管理员可以有效安排访客来访事宜,确保访客能够在规定的时间段内顺利进入指定区域,同时保障校园安全。模块如下图所示。

图5-13访客邀请管理模块图
第六章 系统测试
6.1系统测试的目的
测试的主要目的是确保系统的功能和性能满足预期的需求,同时识别和修复潜在的缺陷。通过系统测试,可以验证各个功能模块的正确性和稳定性,确保系统在不同使用场景下的表现符合设计要求。测试目的包括确认系统功能的完整性、验证数据处理的准确性、评估系统的性能和安全性。测试还可以提高用户满意度,保证用户在使用系统时获得流畅和可靠的体验。通过全面的测试,可以降低后期维护成本,减少系统上线后出现故障的风险,从而保障系统的长期稳定运行。
6.2测试方法
在本系统中,测试方法主要依赖于测试用例的设计与执行。测试用例是根据系统需求文档编写的,覆盖所有功能模块及其边界情况。每个测试用例包含输入数据、预期结果和实际结果的对比,以验证系统的功能是否按预期工作。
常见的测试用例包括功能测试用例、边界测试用例和异常测试用例[10]。功能测试用例针对系统的各项功能进行验证;边界测试用例则侧重于输入数据的边界条件,验证系统在极端情况下是否能够稳定运行;异常测试用例则用于验证系统在处理错误输入或异常情况时的反应。本文选择功能测试用例进行系统测试。
在测试执行过程中,记录每个用例的执行结果,并根据实际结果与预期结果的对比,判断系统是否存在缺陷。通过系统化的测试用例执行,可以有效提高测试的覆盖率和效率,为系统的最终上线提供保障。
6.3测试用例
6.3.1用户登录功能测试
表6-1 用户登录功能测试表
| 用例名称 | 用户登录系统 |
| 目的 | 测试用户通过正确的用户名和密码可否登录功能 |
| 前提 | 未登录的情况下 |
| 测试流程 | 1) 进入登录页面 2) 输入正确的用户名和密码 |
| 预期结果 | 用户名和密码正确的时候,跳转到登录成功界面,反之则显示错误信息,提示重新输入 |
| 实际结果 | 实际结果与预期结果一致 |
6.3.2创建数据测试
在系统中,创建功能也是基础功能之一,因此创建功能的测试很有代表性。在此章节主要列举在创建时各种情况下系统结果的测试。由于系统涉及创建功能操作过多,因此将多处统称创建功能。
创建数据用例如表6-2 所示。
表6-2 创建数据测试用例
| 测试用例编号 | YL_02 | |
| 测试用例名称 | 系统使用者进行创建数据 | |
| 测试用例描述 | 使用者输入要创建的数据 | |
| 系统入口 | 浏览器 | |
| 步骤 | 预期结果 | 实际结果 |
| 输入完整并且格式正确的数据 | 提示“创建成功”,并显示所有数据 | 预期结果 |
| 核心位置数据但非必要位置不输入数据 | 提示“创建成功”,并显示所有数据 | 预期结果 |
| 核心数据位置不输入数据 | 提示“创建失败” | 预期结果 |
6.3.3修改数据测试
在系统中,修改功能是系统主要实现功能,因此修改功能的测试很有代表性。在此章节主要列举在修改时各种情况下系统结果的测试。由于系统涉及修改功能操作过多,因此将多处数据表记录修改和状态修改统称修改功能。
修改数据用例如表6-3所示。
表6-3 修改数据测试用例
| 测试用例编号 | YL_03 | |
| 测试用例名称 | 系统使用者进行修改数据 | |
| 测试用例描述 | 使用者对可修改的数据项进行修改 | |
| 系统入口 | 浏览器 | |
| 步骤 | 预期结果 | 实际结果 |
| 将现有数据修改成正确的数据 | 提示“修改成功”,并显示所有数据 | 预期结果 |
| 将现有数据修改成错误的数据 | 提示“修改失败” | 预期结果 |
6.3.4查询数据测试
在系统中,查询功能是使用系统使用最多也是最基础的功能,因此查询功能的测试很有代表性。在此章节主要列举在查询时各种情况下系统结果的测试。
查询数据用例如表6-4所示。
表6-4 查询数据测试用例
| 测试用例编号 | YL_04 | |
| 测试用例名称 | 系统使用者进行查询数据 | |
| 测试用例描述 | 全部查询以及输入关键词查询 | |
| 系统入口 | 浏览器 | |
| 步骤 | 预期结果 | 实际结果 |
| 界面自动查询全部 | 显示对应所有记录 | 预期结果 |
| 输入已存在且能匹配成功的关键字 | 显示所查询到的数据 | 预期结果 |
| 输入不存在的关键字 | 显示数据界面为空 | 预期结果 |
6.4测试结果
在本次测试的过程主要针对所有功能下的添加操作,修改操作和删除操作,并以真实数据一一进行相关功能项目的输入,最终能够保证每个项目涉及的功能都能够正常运行,因此能够保证本次设计的,已实现的功能能够正常运行并且相关数据库的信息也同样保证正确。
通过采用Spring Boot和Java技术框架,结合MySQL数据库的高效数据处理能力,成功开发了一套信息化门禁系统。该系统不仅实现了用户注册登录、设备信息管理、故障上报管理等基础功能,还提供了高级模块如区域名称管理、权限申请管理及操作日志记录,全面提升了校园安全管理水平。在系统设计与实现过程中,深入理解了如何利用现代软件开发工具提高系统的灵活性与扩展性,以及如何确保数据的安全性和完整性。
开发过程中的收获颇丰,包括对复杂系统架构的设计有了更深刻的认识,掌握了如何有效地进行需求分析和功能划分,提高了代码编写和调试技能。此外,通过不断优化用户体验,增强了系统的易用性和可访问性。面对挑战时,学会了灵活运用各种技术手段解决问题,积累了宝贵的实践经验。
展望未来,随着技术的发展和社会的进步,信息化门禁系统将朝着更加智能化、个性化的方向发展。可以预见的是,未来系统将集成更多创新功能,例如基于实时数据分析的动态权限调整机制,进一步提升安全性的同时也增加了便捷性。对于不同规模的校园而言,定制化解决方案将成为趋势,以满足特定需求。
- 刘江涛,王亮亮,吴庆茹,等.基于B/S模式的铁路勘测设计案例信息化管理系统设计与实现[J].铁路计算机应用,2021,30(03):32-35.
- 张丹丹,李弘.基于B/S架构的办公管理系统设计与开发[J].铁路通信信号工程技术,2024,21(09):44-48+106.
- 王志亮,纪松波.基于SpringBoot的Web前端与数据库的接口设计[J].工业控制计算机,2023,36(03):51-53.
- 熊永平.基于SpringBoot框架应用开发技术的分析与研究[J].电脑知识与技术,2021,15(36):76-77.
- 赵媛.基于Vue的Web系统前端性能优化分析[J].电脑编程技巧与维护,2024,(09):44-46.
- 秦冬.浅析Vue框架在前端开发中的应用[J].信息与电脑(理论版),2024,36(13):61-63.
- 李艳杰.MySQL数据库下存储过程的综合运用研究[J].现代信息科技,2023,7(11):80-82+88.
- 尹应荆.JAVA编程语言在计算机软件开发中的应用[J].石河子科技,2023,(05):45-47.
- 陈倩怡,何军.Vue+Springboot+MyBatis技术应用解析[J].电脑编程技巧与维护,2020,(01):14-15+28.
- 李俊萌.计算机软件测试技术与开发应用策略分析[J].信息记录材料,2023,24(03):50-52.
- Java Sunrise Coffee: Better Beans, and Better Coffee [J]. M2 Presswire, 2025,
- Salunke V S ,Ouda A . A Performance Benchmark for the PostgreSQL and MySQL Databases [J]. Future Internet, 2024, 16 (10): 382-382.
- Shao W ,Liu K . Design and Implementation of Online Ordering System Based on SpringBoot [J]. Journal of Big Data and Computing, 2024, 2 (3):
- 陈宏伟,安博.基于人脸识别的高校学生公寓门禁系统设计[J].长江信息通信,2025,38(01):125-127.
- 张运动.高校信息化业务系统与门禁联动的方法应用[J].通信学报,2024,45(S2):203-209.
- 王小会,李保印,薛延刚,等.高校实验室门禁系统设计[J].中国集成电路,2024,33(11):63-68.
- 陈剑兴.信息化时代高校门禁系统研究与设计[J].轻工科技,2024,40(04):93-96.
- 伍倩,崔炜荣,汪超,等.基于多模态生物特征识别的高校门禁系统设计与实现[J].现代电子技术,2024,47(02):37-43.
- 王成,涂庆华.南京理工大学统一大门禁平台设计思路[J].中国教育网络,2023,(09):64-66.
- 黄龙,徐康宏.高校实验室门禁系统信息化建设与应用[J].中国信息技术教育,2021,(06):103-106.
高校信息化门禁系统设计设计与实现工作已结束,虽然过程中充满挑战,但内心充满自豪和满足。感谢大学四年间教导我的所有老师,他们的专业知识与人生智慧让我成长为能独立完成系统的学生。特别感谢指导老师,他耐心解答疑惑,引导我解决问题,提升自主解决能力。室友和同学们的宝贵建议和支持也让我取得长足进步。未来,我将继续努力追求卓越,不辜负所学所悟和老师期望。坚信坚定信念和不懈努力,未来定能取得更辉煌成就。期待更美好未来!
此外,高校信息化门禁系统设计设计与实现不仅是技术挑战,挫折和困难是成长的垫脚石,让我更深入理解问题,精确找到解决方案。每次解决问题,都感到满足和自豪。
对于未来,我充满期待和信心。无论道路多崎岖,只要保持坚定信念,持续努力,定能取得更大成就。期待将知识和技能运用到实际中,为社会做出更大贡献。
最后,感谢所有帮助和支持我的人。你们的教诲、鼓励和支持让我有今天的成就。我会继续努力,不辜负期望,为实现更美好的未来而奋斗。
代码:
修改数据代码如下:
@PostMapping("/set")
@Transactional
public Map<String, Object> set(HttpServletRequest request) throws IOException {
service.update(service.readQuery(request), service.readConfig(request), service.readBody(request.getReader()));
return success(1);
}
删除一条数据代码如下:
@RequestMapping(value = "/del")
@Transactional
public Map<String, Object> del(HttpServletRequest request) {
service.delete(service.readQuery(request), service.readConfig(request));
return success(1);
}
public void delete(Map<String,String> query,Map<String,String> config){
QueryWrapper wrapper = new QueryWrapper<E>();
toWhereWrapper(query, "0".equals(config.get(FindConfig.GROUP_BY)),wrapper);
baseMapper.delete(wrapper);
log.info("[{}] - 删除操作:{}",wrapper.getSqlSelect());
}
通过请求的参数获取列表数据,代码如下:
@RequestMapping("/get_list")
public Map<String, Object> getList(HttpServletRequest request) {
Map<String, Object> map = service.selectToPage(service.readQuery(request), service.readConfig(request));
return success(map);
}
获取某个组下面的数量,代码如下:
@RequestMapping(value = {"/count_group", "/count"})
public Map<String, Object> count(HttpServletRequest request) {
Integer value= service.selectSqlToInteger(service.groupCount(service.readQuery(request), service.readConfig(request)));
return success(value);
}
登录页代码如下:
/**
* 登录
* @param data
* @param httpServletRequest
* @return
*/
@PostMapping("login")
public Map<String, Object> login(@RequestBody Map<String, String> data, HttpServletRequest httpServletRequest) {
log.info("[执行登录接口]");
String username = data.get("username");
String email = data.get("email");
String phone = data.get("phone");
String password = data.get("password");
List resultList = null;
Map<String, String> map = new HashMap<>();
if(username != null && "".equals(username) == false){
map.put("username", username);
resultList = service.selectBaseList(service.select(map, new HashMap<>()));
}
else if(email != null && "".equals(email) == false){
map.put("email", email);
resultList = service.selectBaseList(service.select(map, new HashMap<>()));
}
910

被折叠的 条评论
为什么被折叠?



