目 录
摘 要
本系统基于Spring Boot框架设计并实现了一款面向大学生的心理健康服务应用,命名为“心灵花园”。通过现代化的前后端分离架构,系统具备良好的可维护性与扩展性,支持用户注册登录、心理测试、情绪缓解方法推荐、考试评测等核心功能。界面简洁直观,操作便捷,贴合大学生日常使用习惯,提供高效、便捷的心理健康支持服务。
系统整合了试卷管理、试题管理、用户管理及心理知识展示等功能模块,满足教师和管理员对内容维护与数据分析的需求。通过轮播图、收藏机制、点击统计等方式提升用户活跃度,增强平台互动体验。整体设计注重数据安全性与角色权限划分,适用于高校心理健康教育场景,为师生提供稳定可靠的心理支持工具。
关键词:大学生心灵花园健康系统APP;SpringBoot框架;
This system is designed and implemented based on the Spring Boot framework as a mental health service application for college students, named "Mind Garden". Through a modern front-end and back-end separation architecture, the system has good maintainability and scalability, supporting core functions such as user registration and login, psychological testing, emotion relief method recommendation, and exam evaluation. The interface is simple and intuitive, easy to operate, and conforms to the daily habits of college students, providing efficient and convenient mental health support services.
The system integrates functional modules such as test paper management, question management, user management, and psychological knowledge display, meeting the needs of teachers and administrators for content maintenance and data analysis. By using methods such as rotating images, bookmarking mechanisms, and click statistics, we aim to increase user engagement and enhance the platform's interactive experience. The overall design focuses on data security and role permission division, suitable for mental health education scenarios in universities, providing stable and reliable psychological support tools for teachers and students.
Keywords: College Students' Mind Garden Health System APP; SpringBoot framework;
第一章 绪 论
1.1研究背景
随着社会节奏加快和学业压力增加,大学生心理健康问题日益突出,情绪焦虑、人际交往障碍等心理困扰影响着学生的成长与发展。高校虽然逐步重视心理健康教育,但传统心理咨询方式存在资源有限、覆盖面窄、服务形式单一等问题,难以满足学生多元化、即时性的心理支持需求。因此,构建一个便捷、高效的心理健康服务平台成为现实需要。
移动互联网的普及为心理健康服务提供了新的解决方案。基于Spring Boot开发的“心灵花园”健康系统APP,依托现代软件架构设计,打造了一个集心理测试、知识传播、情绪调节与考试评估于一体的综合平台。通过信息化手段,增强大学生对心理健康的认知与关注,也为教师和管理员提供数据支持与管理工具,提升心理健康教育工作的针对性与实效性。
1.2研究目的与意义
随着大学生心理问题日益受到关注,传统心理健康服务模式在覆盖范围与使用便捷性上存在局限,难以满足学生群体的多样化需求。本系统的设计与实现,希望借助移动应用的形式,为大学生提供一个随时随地可访问的心理健康支持平台。通过整合心理测试、情绪缓解方法推荐、考试评估等功能,帮助学生更好地认识自我心理状态,提升心理调适能力,增强心理素质。
该系统的开发还为高校教师和管理人员提供了有效的辅助工具,支持对学生心理状况的整体了解与及时干预。通过数据统计与管理功能,提高心理健康教育工作的科学性和针对性。整体来看,该APP不仅丰富了高校心理健康服务手段,也为推动大学生心理健康发展提供了一种创新性的技术支撑。
1.3国内外研究现状
在国内,近年来随着心理健康问题受到越来越多关注,不少高校和科研机构开始探索基于移动互联网的心理健康服务模式。已有部分学校开发了相关心理服务平台或微信小程序,涵盖心理测评、情绪疏导、心理咨询预约等功能。这些系统大多依托本地服务器搭建,功能较为基础,在内容更新、用户交互与数据管理方面存在一定局限。总体来看,国内在该领域的研究仍处于发展阶段,系统化、专业化的心理健康类应用尚不成熟。
国外在心理健康服务的数字化探索方面起步较早,一些国家已经建立了相对完善的心理健康在线服务平台,支持用户自助式进行心理评估与干预。部分高校推出配套的移动端应用,提供匿名咨询、压力管理建议以及心理健康知识普及等服务。尽管部分平台已形成一定规模,但其设计背景与文化语境不同于国内高校环境,难以直接适用于我国大学生群体的需求。因此,结合本土实际,有必要进一步设计符合我国高校特点的心理健康服务系统。
1.4研究内容与方法
本系统围绕大学生心理健康服务需求,设计并实现一个基于Spring Boot的移动端应用平台。研究内容涵盖用户权限管理、心理测试模块、情绪缓解知识展示、考试评测、数据统计等多个功能模块。通过合理划分系统角色,区分学生、教师与管理员的操作权限,确保信息管理的安全性与便捷性。后端采用Java语言结合Spring Boot框架进行开发,前端使用主流技术实现交互界面,数据库选用MySQL存储用户信息、测试结果及心理知识内容。
系统开发过程中采用软件工程的标准流程,包括需求分析、系统设计、编码实现与功能测试等阶段。通过调研高校心理健康教育实际场景,明确功能需求与业务流程,构建合理的数据库结构与系统架构。在功能实现基础上,进行多轮测试以验证系统运行的稳定性与数据处理的准确性,最终形成一套适用于高校环境的心理健康服务APP,为大学生提供便捷、实用的心理支持工具。
1.5论文组织结构
本论文共分为七个主要章节,具体结构如下:
1. 绪论:介绍研究背景与意义,回顾国内外研究现状,并概述论文的组织结构。
2. 相关技术介绍:详细介绍与本研究相关的技术,包括Java语言、B/S框架、springboot框架、Vue技术和MySQL数据库。
3. 需求分析:对系统的功能需求和非功能需求进行分析,明确用户和管理员的需求,并进行可行性分析,包括技术、操作和经济可行性。
4. 系统设计:涵盖系统架构设计、系统模块设计,并进行数据库的概念设计与表设计。
5. 系统实现:具体描述各个功能模块的实现过程,展示系统如何根据需求进行开发。
6. 系统测试:阐述测试的目的,分析测试结果并得出结论,以验证系统的稳定性和功能完整性。
7. 总结:总结研究的主要成果和贡献,指出存在的不足及未来的研究方向。
第二章 关键技术
2.1Java语言
Java语言是一种广泛使用的高级编程语言,具有平台无关性、面向对象特性和丰富的标准库。Java通过Java虚拟机(JVM)实现跨平台运行,开发者可以编写一次代码,在任何支持JVM的环境中执行[1]。Java的面向对象特性使得代码复用和模块化变得更加容易,促进了软件的维护和扩展。Java支持多线程编程,允许开发者在同一程序中同时执行多个任务,提升了应用程序的性能。
Java语言的语法结构简洁且易于理解,吸引了大量开发者。Java的标准库包含数据结构、输入输出处理、网络编程等众多功能模块。这使得开发者在构建应用程序时能够高效利用已有工具,减少重复劳动。Java广泛应用于企业级应用、移动应用、Web开发和大数据处理等领域。
2.2 B/S框架
B/S(Browser/Server)架构是一种基于浏览器和服务器的系统架构模式,用户通过浏览器与服务器进行交互。B/S架构简化了客户端的部署和管理,用户无需在本地安装复杂的软件,只需使用标准浏览器即可访问应用程序。服务器端负责处理业务逻辑和数据存储,客户端则主要负责展示用户界面和数据交互[2]。B/S架构的设计使得系统更新和维护集中在服务器端,降低了维护成本。
B/S架构通常采用Web技术进行实现,包括HTML、CSS和JavaScript等。用户在浏览器中发起请求,服务器响应并返回数据。数据传输通常通过HTTP或HTTPS协议进行,B/S架构的灵活性使其适用于在线购物、信息管理系统和社交网络等各类应用场景[3]。由于其易于扩展性,B/S架构可以方便地支持大规模用户访问,适应不断变化的业务需求。
2.3 Spingboot框架
Spring Boot,作为Spring生态系统中一颗璀璨的明星,以其“约定优于配置”的核心理念,极大地简化了Java应用的开发、部署与管理流程。它并非是对Spring框架的颠覆,而是在其基础上进行了深度封装与优化,旨在快速搭建独立的、生产级别的Spring应用[4]。Spring Boot通过自动配置功能,减少了大量繁琐的配置工作,让开发者能够更加专注于业务逻辑的实现。同时,它集成了众多常用库,如数据库连接池、缓存、消息队列等,为开发者提供了一站式的解决方案。此外,Spring Boot还支持多种部署方式,无论是传统的WAR包部署,还是现代的容器化部署,都能轻松应对。因此,选择Spring Boot作为大学生心灵花园健康系统APP的开发框架,不仅能够提升开发效率,还能确保系统的稳定性和可维护性[5]。
2.4 Vue技术
Vue是一种渐进式JavaScript框架,专注于构建用户界面。Vue采用组件化的开发模式,允许开发者将应用程序拆分为独立的、可重用的组件,从而提高了开发效率和代码的可维护性[6]。框架的核心库专注于视图层,支持数据绑定和DOM操作,提供了简洁的API。Vue的虚拟DOM机制提升了应用的性能,减少了实际DOM操作的次数。
Vue支持双向数据绑定,能够自动更新视图与模型之间的变化。开发者可以通过Vue的指令系统,简化数据展示和事件处理。Vue还支持路由管理和状态管理,使得开发复杂单页面应用变得更加容易[7]。借助Vue的生态系统,开发者能够使用多种工具和库来扩展功能,满足不同的业务需求。Vue在前端开发中逐渐成为主流选择,受到广泛关注和应用。
2.5 MySQL数据库
MySQL是一种开源关系型数据库管理系统,广泛应用于Web应用和企业级数据存储。MySQL支持结构化查询语言,允许开发者通过标准语句进行数据的创建、读取、更新和删除操作[8]。数据库通过表格形式组织数据,支持数据完整性和约束条件的定义。MySQL的存储引擎机制使得用户可以根据具体需求选择不同的存储引擎,以优化性能和功能。
MySQL具有高性能和可扩展性,支持大规模数据存储和高并发访问。系统提供了丰富的用户权限管理和数据加密安全特性。
第三章 系统分析
3.1系统可行性分析
3.1.1技术可行性
利用SpringBoot框架、MySQL数据库以及Vue.js前端技术开发大学生心灵花园健康系统APP,在技术层面上是完全可行的。SpringBoot通过简化开发配置,显著提升了开发效率;MySQL数据库则提供了稳定可靠的数据存储与管理解决方案;而Vue.js确保了用户界面的快速响应和卓越的用户体验。此外,随着语音合成技术的不断进步,为有声读物的制作提供了强大的技术支持,使得该系统能够更加高效地服务于其目标用户群体。
3.1.2经济可行性
从经济角度来看,开发大学生心灵花园健康系统APP的初期投资主要包括软件开发、服务器租赁及维护成本。然而,考虑到其社会效益和潜在的政府支持或公益基金资助,长期运营成本将逐步降低。此外,随着用户数量的增长,可以通过广告、会员服务等方式实现收入增长,确保项目的可持续发展。因此,该项目在经济上具有较高的可行性。
3.1.3操作可行性
该系统设计注重用户体验,提供简洁直观的操作界面,无论是管理员、教师用户还是学生用户都能轻松上手。通过人脸识别或账号密码登录的方式提高了安全性与便捷性。此外,系统集成了详细的帮助文档和客户支持服务,进一步降低了操作难度。因此,无论技术水平如何,所有用户都能有效使用本系统,证明了其操作上的可行性。
3.1.4社会可行性
当前社会对大学生心理健康问题的关注度持续提升,高校普遍加强心理咨询服务体系建设。本系统契合这一发展趋势,依托移动互联网技术,提供便捷的心理测评、情绪调节与知识学习服务,符合学生群体的使用习惯与心理需求。平台功能设计贴近实际应用场景,易于推广与落地实施,具备良好的社会应用前景。
3.2系统功能分析
3.2.1功能性分析
大学生心灵花园健康系统APP划分为了前端模块和后端模块两大部分。
前端学生用户模块:
- 注册登录:学生用户首先需要注册账号,填写必要信息如学号、姓名、邮箱等完成账户创建。登录时使用注册的账号信息进入系统,确保在安全的网络环境下操作以保护个人隐私。
- 首页:首页提供了一个简洁的界面,集成了待办事项提醒、最新消息通知以及快捷入口等功能,方便学生快速访问所需的服务和信息。这里也是学生获取心理健康教育资源的第一站。
- 考试:在考试功能中,学生可以搜索特定的心理学相关测试或浏览已有的试卷资源进行自我评估。情绪测试帮助学生了解自身的情绪状态,所有测试完成后可以直接在线提交并查看结果反馈。
- 心理缓解方法:这部分内容提供了多种心理调适技巧和策略,学生可以根据自己的兴趣选择阅读并学习如何应对压力和负面情绪。每篇文章都可以点赞表示支持,或者收藏以便日后回顾,并且支持关键词搜索来快速定位感兴趣的主题。
- 网站介绍:网站介绍页面详细说明了平台的功能和服务对象,让学生清楚了解这个平台能为自己提供什么样的帮助和支持,包括各种心理健康教育资源和互动交流的机会。
- 友情链接:通过友情链接,学生可以跳转到其他专业的心理学服务平台,如心理学空间、壹心理和简单心理等,拓宽获取专业心理咨询和知识的渠道。
- 我的:在我的页面,学生能够管理个人信息,包括查看教师联系方式、整理个人收藏的内容、回顾考试记录、查阅聊天历史以及修改密码等,确保个人信息的安全与更新。
后端教师用户模块:
- 登录: 教师账号由管理员统一分配,教师收到账号信息后,通过指定的登录页面输入用户名和密码进入系统。首次登录建议及时修改初始密码以保障账户安全。
- 首页: 首页为教师提供快捷操作入口,包括访问我的、查看聊天记录、修改密码以及退出当前登录状态。界面简洁明了,方便教师快速进行日常管理操作。
- 用户管理: 教师可以在用户管理模块中查看学生列表,并对学生信息进行搜索、查看详情或发送私信。此功能帮助教师与学生保持沟通,了解学生的学习情况和需求。
- 试卷管理: 试卷管理模块允许教师对考试试卷进行维护。可以通过关键词搜索已有试卷,查看试卷详情,并对其进行修改、删除或新增操作,确保考试内容的时效性和准确性。
- 试题管理: 在试题管理模块中,教师可以针对具体题目进行精细化操作。支持搜索题目、查看详细内容、修改题目信息、删除旧题或添加新题,提升试卷质量与多样性。
- 考试管理: 考试管理模块提供完整的考试流程支持。教师可以搜索考试任务、手动开始考试,并在学生提交答卷后查看所有答题记录,便于后续评分和分析工作。
后端管理员模块:
- 登录: 管理员账号由系统初始化时创建,通过指定的后台登录入口输入用户名和密码进行身份验证。为保障系统安全,建议管理员定期更换密码,并妥善保管账户信息。
- 首页: 首页展示平台核心数据概览,包括各类问题类型的点击时长统计、收藏数量统计以及心理缓解方法的总数,帮助管理员快速掌握系统的使用情况和内容热度趋势。
- 轮播图管理: 管理员可以对首页轮播图进行统一管理,包括新增、删除、修改和查看轮播图详情。同时支持对网站介绍和友情链接的内容更新,确保平台展示信息的准确性和时效性。
- 心理缓解知识管理: 该模块用于管理平台上所有的心理缓解方法及相关问题类型。管理员可以执行搜索、查看详情、新增、编辑或删除操作,并可查看各类问题类型的点击时长与收藏次数,辅助优化内容布局。
- 用户管理: 管理员可在用户管理模块中对学生、教师及管理员自身的信息进行维护,包括搜索用户、查看详情、修改资料、新增或删除用户账号,并支持向用户发送私信,实现有效的沟通与管理。
- 试卷管理: 支持管理员对所有试卷资源进行统一管理,包括搜索试卷、查看详情、新建、修改或删除已有试卷,保证考试内容的规范性和完整性。
- 试题管理: 管理员可以对试题进行添加、编辑、搜索、删除和查看详情等操作,确保试题库内容的专业性和丰富性,为试卷生成提供稳定支持。
- 考试管理: 在考试管理模块中,管理员可以搜索考试任务、手动开启考试,并在考试结束后查看学生的答卷情况,协助完成后续的成绩评定与数据分析工作。
3.2.2非功能性分析
大学生心灵花园健康系统APP的非功能性需求比如大学生心灵花园健康系统APP的安全性怎么样,可靠性怎么样,性能怎么样,可拓展性怎么样等,具体可以表示在如下3-1表格中:
表3-1大学生心灵花园健康系统APP非功能需求表
| 安全性 | 主要指大学生心灵花园健康系统APP数据库的安装,数据库的使用和密码的设定必须合乎规范。 |
| 可靠性 | 可靠性是指大学生心灵花园健康系统APP能够安装用户的指示进行操作,经过测试,可靠性90%以上。 |
| 性能 | 性能是影响大学生心灵花园健康系统APP占据市场的必要条件,所以性能最好要佳才好。 |
| 可扩展性 | 比如数据库预留多个属性,比如接口的使用等确保了系统的非功能性需求。 |
| 易用性 | 用户只要跟着大学生心灵花园健康系统APP的页面展示内容进行操作,就可以了。 |
| 可维护性 | 大学生心灵花园健康系统APP开发的可维护性是非常重要的,经过测试,可维护性没有问题 |
3.3系统用例分析
大学生心灵花园健康系统APP的完整UML用例图分别是图3-1、3-2和3-3。
学生用户角色用例如下图所示。

图 3-1大学生心灵花园健康系统APP学生用户角色用例图
教师用户角色用例如下图所示。

图 3-2大学生心灵花园健康系统APP教师用户角色用例图
管理员角色用例如下图所示。

图 3-3大学生心灵花园健康系统APP管理员角色用例图
3.4系统总体流程设计
3.4.1数据开发流程
系统开发流程的主要步骤,从需求分析到系统完成的全过程。流程包括需求分析、总体设计(结构、功能、数据)、详细设计(模块、编码)、模块整合与调用,以及测试、扩展和完善,最终完成系统的开发。本系统的开发流程如下图所示

图 3-4系统开发流程图
3.4.2用户登录流程
用户输入用户名和密码后,系统先检查输入是否为空,再验证用户名是否存在,若存在则通过用户名获取密码并校验。若密码正确则登录成功,否则提示密码错误。若用户名不存在或无法登录,提示用户操作无效。如下图所示。

图 3-5登录流程图
3.4.3添加信息流程
管理员可以添加信息,用户添加可以自己权限内的信息,输入信息后,要想利用这个软件来进行系统的安全管理,首先需要登录到该软件中。添加信息流程如下图所示。

图 3-6 添加信息流程图
3.4.4修改信息流程
用户首先选择需要修改的记录,输入修改后的数据,系统判断输入数据是否合法。若数据不合法,提示重新输入,若数据合法,则将修改后的数据写入数据库,完成操作后流程结束。修改信息流程图如下图所示。

图 3-7 修改信息流程图
3.4.5删除信息流程
用户选择需要删除的记录后,系统判断是否确认删除。若未确认,返回选择环节,若确认删除,则更新数据库,删除对应记录,完成操作后流程结束。删除信息流程图如下图所示。

图 3-8删除信息流程图
第四章 总体设计
本章主要讨论的内容包括大学生心灵花园健康系统APP的功能模块设计、数据库系统设计。
4.1系统架构设计
在设计本系统架构时,将确定系统整体结构与组件之间的联系,包括选择恰当的架构以及划分系统的层次结构,定义每个模块的职责和交互方式,系统架构如图4-1所示。

图 4-1系统整体架构图
展示层:负责与用户进行交互,将系统的功能和数据以易于理解和操作的方式展示给用户。通常包括用户界面、页面设计和用户输入验证等。
业务层:处理系统的核心业务逻辑,包括对用户请求的处理、业务规则的执行以及数据的处理和转换。它独立于表现层和数据层,实现了业务逻辑的封装和复用。
数据层:负责数据的存储、访问和管理,包括数据库和持久化机制。数据层提供了对数据的增删改查操作,并与业务逻辑层进行交互,使系统能够有效地存储和检索数据。
这三个层次相互独立,通过明确的接口和协议进行通信,实现了系统的模块化和可扩展性。表现层负责将用户的请求传递给业务逻辑层,业务逻辑层处理请求并返回结果,最后数据层负责与数据库交互并提供数据支持。这种分层架构有助于实现系统的可维护性、灵活性和可测试性。
4.2系统模块设计
在上一章节中主要对系统的功能性需求和非功能性需求进行分析,并且根据需求分析了本大学生心灵花园健康系统APP中的用例。那么接下来就要开始对本大学生心灵花园健康系统APP的架构、主要功能和数据库开始进行设计。大学生心灵花园健康系统APP根据前面章节的需求分析得出,大学生心灵花园健康系统APP的功能模块图如下图所示。

图 4-2大学生心灵花园健康系统APP功能模块图
4.3数据库设计
数据库设计是一种用于创建数据库结构的过程,通过需求分析确定数据类型和操作需求,并使用实体-关系图表达数据的实体、属性及其关系,形成概念模型。在此基础上,将概念模型转化为特定数据库系统可识别的逻辑模型,确定表结构、字段、数据类型及约束关系。数据库设计通常分为概念设计、逻辑设计两个阶段。
4.3.1数据库概念结构设计
概念设计作为数据库设计的关键环节,通过高层次的抽象描述系统中的数据结构和关系,明确系统的数据需求。通常采用E-R图来展现数据的实体、属性及关系,形成逻辑完整的模型,更加清晰地表达和传达设计意图。在该阶段,需要确定关键数据实体,定义属性并表达关系类型,为数据库的逻辑设计和物理设计奠定必要基础。以下是系统各个实体图和总体E-R图。
(1)教师用户实体属性图如下图4-3所示

图 4-3 教师用户实体属性图
(2) 学生用户实体属性如下图4-4所示

图 4-4 学生用户实体属性图
(3) 试题库管理实体属性如下图4-5所示

图 4-5 试题库管理实体属性图
(4) 友情链接属性如下图4-6所示

图 4-6 友情链接属性图
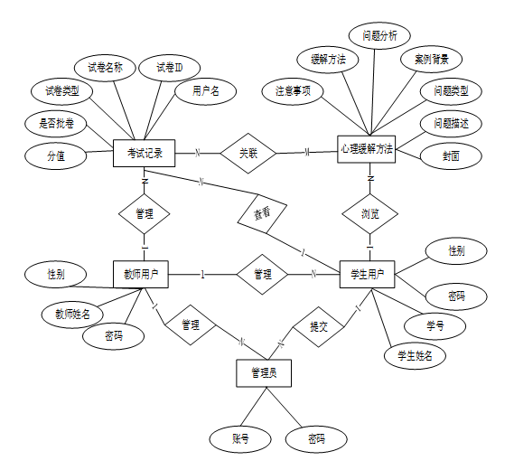
下面是整个大学生心灵花园健康系统APP中主要的数据库表总E-R实体关系图。

图 4-7大学生心灵花园健康系统APP总E-R关系图
4.3.2数据库逻辑结构设计
通过上一小节中大学生心灵花园健康系统APP中总E-R关系图上得出一共需要创建多个数据表。在此主要罗列几个主要的数据库表结构设计。
表名:chat_friend
功能:好友表
| 字段名称 | 类型 | 长度 | 字段说明 | 主键 | 默认值 |
| id | bigint | 主键 | 主键 | ||
| addtime | timestamp | 创建时间 | CURRENT_TIMESTAMP | ||
| uid | bigint | 用户id | |||
| fid | bigint | 好友id | |||
| name | varchar | 200 | 名称 | ||
| picture | longtext | 4294967295 | 图片 | ||
| role | varchar | 200 | 角色 | ||
| tablename | varchar | 200 | 表名 | ||
| alias | varchar | 200 | 别名 | ||
| type | int | 类型(0:好友申请,1:好友,2:消息) | 0 |
表名:storeup
功能:我的收藏
| 字段名称 | 类型 | 长度 | 字段说明 | 主键 | 默认值 |
| id | bigint | 主键 | 主键 | ||
| addtime | timestamp | 创建时间 | CURRENT_TIMESTAMP | ||
| refid | bigint | refid | |||
| tablename | varchar | 200 | 表名 | ||
| name | varchar | 200 | 名称 | ||
| picture | longtext | 4294967295 | 图片 | ||
| type | varchar | 200 | 类型(1:收藏,21:赞,22:踩,31:竞拍参与,41:关注) | 1 | |
| inteltype | varchar | 200 | 推荐类型 | ||
| remark | varchar | 200 | 备注 | ||
| userid | bigint | 用户id |
表名:menu
功能:菜单
| 字段名称 | 类型 | 长度 | 字段说明 | 主键 | 默认值 |
| id | bigint | 主键 | 主键 | ||
| addtime | timestamp | 创建时间 | CURRENT_TIMESTAMP | ||
| menujson | longtext | 4294967295 | 菜单 |
表名:jiaoshi
功能:教师
| 字段名称 | 类型 | 长度 | 字段说明 | 主键 | 默认值 |
| id | bigint | 主键 | 主键 | ||
| addtime | timestamp | 创建时间 | CURRENT_TIMESTAMP | ||
| gonghao | varchar | 200 | 工号 | ||
| mima | varchar | 200 | 密码 | ||
| jiaoshixingming | varchar | 200 | 教师姓名 | ||
| touxiang | longtext | 4294967295 | 头像 | ||
| xingbie | varchar | 200 | 性别 | ||
| lianxidianhua | varchar | 200 | 联系电话 | ||
| gerenjieshao | longtext | 4294967295 | 个人介绍 |
表名:friendship_link
功能:友情链接
| 字段名称 | 类型 | 长度 | 字段说明 | 主键 | 默认值 |
| id | bigint | 主键 | 主键 | ||
| addtime | timestamp | 创建时间 | CURRENT_TIMESTAMP | ||
| link_name | varchar | 200 | 链接名称 | ||
| link_image | longtext | 4294967295 | 链接图片 | ||
| link_url | longtext | 4294967295 | 链接地址 |
表名:examrecord
功能:考试记录
| 字段名称 | 类型 | 长度 | 字段说明 | 主键 | 默认值 |
| id | bigint | 主键 | 主键 | ||
| addtime | timestamp | 创建时间 | CURRENT_TIMESTAMP | ||
| username | varchar | 200 | 用户名 | ||
| paperid | bigint | 试卷id(外键) | |||
| papername | varchar | 200 | 试卷名称 | ||
| questionid | bigint | 试题id(外键) | |||
| questionname | varchar | 200 | 试题名称 | ||
| type | bigint | 试题类型 | |||
| ismark | bigint | 是否批卷 | |||
| options | longtext | 4294967295 | 选项,json字符串 | ||
| score | bigint | 分值 | 0 | ||
| answer | varchar | 200 | 正确答案 | ||
| analysis | longtext | 4294967295 | 答案解析 | ||
| myscore | bigint | 试题得分 | 0 | ||
| myanswer | varchar | 200 | 考生答案 | ||
| userid | bigint | 用户id | |||
| gonghao | varchar | 200 | 工号 |
表名:examquestionbank
功能:试题库管理
| 字段名称 | 类型 | 长度 | 字段说明 | 主键 | 默认值 |
| id | bigint | 主键 | 主键 | ||
| addtime | timestamp | 创建时间 | CURRENT_TIMESTAMP | ||
| questionname | varchar | 200 | 试题名称 | ||
| options | longtext | 4294967295 | 选项,json字符串 | ||
| score | bigint | 分值 | 0 | ||
| answer | varchar | 200 | 正确答案 | ||
| analysis | longtext | 4294967295 | 答案解析 | ||
| type | bigint | 试题类型 | |||
| sequence | bigint | 试题排序,值越大排越前面 | |||
| gonghao | varchar | 200 | 工号 |
表名:examquestion
功能:试题管理
| 字段名称 | 类型 | 长度 | 字段说明 | 主键 | 默认值 |
| id | bigint | 主键 | 主键 | ||
| addtime | timestamp | 创建时间 | CURRENT_TIMESTAMP | ||
| paperid | bigint | 试卷id(外键) | |||
| papername | varchar | 200 | 试卷名称 | ||
| questionname | varchar | 200 | 试题名称 | ||
| options | longtext | 4294967295 | 选项,json字符串 | ||
| score | bigint | 分值 | 0 | ||
| answer | varchar | 200 | 正确答案 | ||
| analysis | longtext | 4294967295 | 答案解析 | ||
| type | bigint | 试题类型 | |||
| sequence | bigint | 试题排序,值越大排越前面 | |||
| gonghao | varchar | 200 | 工号 |
表名:xuesheng
功能:学生
| 字段名称 | 类型 | 长度 | 字段说明 | 主键 | 默认值 |
| id | bigint | 主键 | 主键 | ||
| addtime | timestamp | 创建时间 | CURRENT_TIMESTAMP | ||
| xuehao | varchar | 200 | 学号 | ||
| mima | varchar | 200 | 密码 | ||
| xueshengxingming | varchar | 200 | 学生姓名 | ||
| touxiang | longtext | 4294967295 | 头像 | ||
| xingbie | varchar | 200 | 性别 | ||
| shoujihaoma | varchar | 200 | 手机号码 |
表名:exampaper
功能:试卷管理
| 字段名称 | 类型 | 长度 | 字段说明 | 主键 | 默认值 |
| id | bigint | 主键 | 主键 | ||
| addtime | timestamp | 创建时间 | CURRENT_TIMESTAMP | ||
| name | varchar | 200 | 试卷名称 | ||
| time | int | 考试时长(分钟) | |||
| status | varchar | 200 | 试卷状态 | 启用 | |
| gonghao | varchar | 200 | 工号 |
表名:xinlihuanjiefangfa
功能:心理缓解方法
| 字段名称 | 类型 | 长度 | 字段说明 | 主键 | 默认值 |
| id | bigint | 主键 | 主键 | ||
| addtime | timestamp | 创建时间 | CURRENT_TIMESTAMP | ||
| anlibianhao | varchar | 200 | 案例编号 | ||
| fengmian | longtext | 4294967295 | 封面 | ||
| wentimiaoshu | varchar | 200 | 问题描述 | ||
| wentileixing | varchar | 200 | 问题类型 | ||
| anlibeijing | longtext | 4294967295 | 案例背景 | ||
| wentifenxi | varchar | 200 | 问题分析 | ||
| huanjiefangfa | varchar | 200 | 缓解方法 | ||
| zhuyishixiang | varchar | 200 | 注意事项 | ||
| gonghao | varchar | 200 | 工号 | ||
| jiaoshixingming | varchar | 200 | 教师姓名 | ||
| storeup_number | int | 收藏数 | 0 | ||
| browseduration | int | 浏览时长 | 0 |
表名:users
功能:管理员
| 字段名称 | 类型 | 长度 | 字段说明 | 主键 | 默认值 |
| id | bigint | 主键 | 主键 | ||
| addtime | timestamp | 创建时间 | CURRENT_TIMESTAMP | ||
| username | varchar | 200 | 用户名 | ||
| password | varchar | 200 | 密码 | ||
| role | varchar | 200 | 角色 | 管理员 |
表名:config
功能:轮播图
| 字段名称 | 类型 | 长度 | 字段说明 | 主键 | 默认值 |
| id | bigint | 主键 | 主键 | ||
| addtime | timestamp | 创建时间 | CURRENT_TIMESTAMP | ||
| name | varchar | 200 | 名称 | ||
| value | longtext | 4294967295 | 值 | ||
| url | longtext | 4294967295 | 链接 |
表名:token
功能:token表
| 字段名称 | 类型 | 长度 | 字段说明 | 主键 | 默认值 |
| id | bigint | 主键 | 主键 | ||
| userid | bigint | 用户id | |||
| username | varchar | 100 | 用户名 | ||
| tablename | varchar | 100 | 表名 | ||
| role | varchar | 100 | 角色 | ||
| token | varchar | 200 | 密码 | ||
| addtime | timestamp | 新增时间 | CURRENT_TIMESTAMP | ||
| expiratedtime | timestamp | 过期时间 | CURRENT_TIMESTAMP |
表名:wentileixing
功能:问题类型
| 字段名称 | 类型 | 长度 | 字段说明 | 主键 | 默认值 |
| id | bigint | 主键 | 主键 | ||
| addtime | timestamp | 创建时间 | CURRENT_TIMESTAMP | ||
| wentileixing | varchar | 200 | 问题类型 |
表名:chat_message
功能:消息表
| 字段名称 | 类型 | 长度 | 字段说明 | 主键 | 默认值 |
| id | bigint | 主键 | 主键 | ||
| addtime | timestamp | 创建时间 | CURRENT_TIMESTAMP | ||
| uid | bigint | 用户id | |||
| fid | bigint | 好友id | |||
| content | varchar | 200 | 内容 | ||
| format | int | 格式(1:文字,2:图片) | |||
| is_read | int | 消息已读(0:未读,1:已读) | 0 |
表名:systemintro
功能:网站介绍
| 字段名称 | 类型 | 长度 | 字段说明 | 主键 | 默认值 |
| id | bigint | 主键 | 主键 | ||
| addtime | timestamp | 创建时间 | CURRENT_TIMESTAMP | ||
| title | varchar | 200 | 标题 | ||
| subtitle | varchar | 200 | 副标题 | ||
| content | longtext | 4294967295 | 内容 | ||
| picture1 | longtext | 4294967295 | 图片1 | ||
| picture2 | longtext | 4294967295 | 图片2 | ||
| picture3 | longtext | 4294967295 | 图片3 |
第五章 详细设计与实现
大学生心灵花园健康系统APP的详细设计与实现主要是根据前面的大学生心灵花园健康系统APP的需求分析和大学生心灵花园健康系统APP的总体设计来设计页面并实现业务逻辑。主要从大学生心灵花园健康系统APP界面实现、业务逻辑实现这两部分进行介绍。
5.1前端首页模块
该页面设计简洁明了,布局合理。顶部导航栏清晰地展示了各个功能模块的入口,方便用户快速访问所需内容。中间部分为主要展示区域,通过轮播图、网站介绍、心理缓解方法、友情链接等形式,实时更新和展示最新的信息和推荐内容,吸引用户的注意力。整体设计注重用户体验,色彩搭配和谐,视觉效果良好。前台首页模块展示如下图所示。

图 5-1 前台首页模块图
5.2用户注册模块
不是大学生心灵花园健康系统APP中正式用户的是可以在线进行注册的,当填写上自己的账号+设置密码+确认密码+昵称+邮箱+手机号+身份+用户姓名+用户性别等信息后再点击“注册”按钮后将会先验证输入的有没有空数据,再次验证密码和确认密码是否是一样的,最后验证输入的账户名和数据库表中已经注册的账户名是否重复,只有都验证没问题后即可用户注册成功。其用户注册模块展示如下图所示。

图 5-2注册模块图
5.3用户登录模块
大学生心灵花园健康系统APP中的前台上注册后的用户是可以通过自己的用户名+密码进行登录的,当用户输入完整的自己的用户名+密码信息并点击“登录”按钮后,将会首先验证输入的有没有空数据,再次验证输入的用户名+密码和数据库中当前保存的用户信息是否一致,只有在一致后将会登录成功并自动跳转到大学生心灵花园健康系统APP的首页中,否则将会提示相应错误信息,登录模块如下图所示。

图 5-3 登录模块图
5.4前端学生用户功能模块
5.4.1心理缓解方法模块
心理缓解方法:这部分内容提供了多种心理调适技巧和策略,学生可以根据自己的兴趣选择阅读并学习如何应对压力和负面情绪。每篇文章都可以点赞表示支持,或者收藏以便日后回顾,并且支持关键词搜索来快速定位感兴趣的主题。心理缓解方法模块如下图所示。

图 5-4心理缓解方法模块图
5.4.2考试模块
考试:在考试功能中,学生可以搜索特定的心理学相关测试或浏览已有的试卷资源进行自我评估。情绪测试帮助学生了解自身的情绪状态,所有测试完成后可以直接在线提交并查看结果反馈。考试模块如下图所示。

图 5-5考试模块图
5.4.3网站介绍模块
网站介绍:网站介绍页面详细说明了平台的功能和服务对象,让学生清楚了解这个平台能为自己提供什么样的帮助和支持,包括各种心理健康教育资源和互动交流的机会。网站介绍模块如下图所示。

图 5-6网站介绍模块图
5.4.4我的模块
我的:在我的页面,学生能够管理个人信息,包括查看教师联系方式、整理个人收藏的内容、回顾考试记录、查阅聊天历史以及修改密码等,确保个人信息的安全与更新。我的模块如下图所示。

图 5-7我的模块图
5.5后端教师用户功能模块
5.5.1首页模块
首页: 首页为教师提供快捷操作入口,包括访问个人中心、查看聊天记录、修改密码以及退出当前登录状态。界面简洁明了,方便教师快速进行日常管理操作。首页模块如下图所示:

图 5-8首页模块图
5.5.2用户管理模块
用户管理: 教师可以在用户管理模块中查看学生列表,并对学生信息进行搜索、查看详情或发送私信。此功能帮助教师与学生保持沟通,了解学生的学习情况和需求。用户管理模块如下图所示。

图 5-9 用户管理模块图
5.5.3试题管理模块
试题管理: 在试题管理模块中,教师可以针对具体题目进行精细化操作。支持搜索题目、查看详细内容、修改题目信息、删除旧题或添加新题,提升试卷质量与多样性。试题管理模块如下图所示。

图 5-10试题管理模块图
5.6后端管理员功能模块
5.6.1首页模块
首页: 首页展示平台核心数据概览,包括各类问题类型的点击时长统计、收藏数量统计以及心理缓解方法的总数,帮助管理员快速掌握系统的使用情况和内容热度趋势。首页模块如下图所示。

图 5-11首页模块图
5.6.2心理缓解知识管理模块
心理缓解知识管理: 该模块用于管理平台上所有的心理缓解方法及相关问题类型。管理员可以执行搜索、查看详情、新增、编辑或删除操作,并可查看各类问题类型的点击时长与收藏次数,辅助优化内容布局。心理缓解知识管理模块如下所示。

图 5-12心理缓解知识管理模块图
5.6.3轮播图管理模块
轮播图管理: 管理员可以对首页轮播图进行统一管理,包括新增、删除、修改和查看轮播图详情。同时支持对网站介绍和友情链接的内容更新,确保平台展示信息的准确性和时效性。轮播图管理模块如下所示。

图 5-13轮播图管理模块图
5.6.4用户管理模块
用户管理: 管理员可在用户管理模块中对学生、教师及管理员自身的信息进行维护,包括搜索用户、查看详情、修改资料、新增或删除用户账号,并支持向用户发送私信,实现有效的沟通与管理。用户管理模块如下图所示。

图 5-14用户管理模块图
5.6.5考试管理模块
考试管理: 在考试管理模块中,管理员可以搜索考试任务、手动开启考试,并在考试结束后查看学生的答卷情况,协助完成后续的成绩评定与数据分析工作。考试管理模块如下图所示。

图 5-15考试管理模块图
第六章 系统测试
6.1系统测试的目的
测试的主要目的是确保系统的功能和性能满足预期的需求,同时识别和修复潜在的缺陷。通过系统测试,可以验证各个功能模块的正确性和稳定性,确保系统在不同使用场景下的表现符合设计要求。测试目的包括确认系统功能的完整性、验证数据处理的准确性、评估系统的性能和安全性。测试还可以提高用户满意度,保证用户在使用系统时获得流畅和可靠的体验。通过全面的测试,可以降低后期维护成本,减少系统上线后出现故障的风险,从而保障系统的长期稳定运行。
6.2测试方法
在本系统中,测试方法主要依赖于测试用例的设计与执行。测试用例是根据系统需求文档编写的,覆盖所有功能模块及其边界情况。每个测试用例包含输入数据、预期结果和实际结果的对比,以验证系统的功能是否按预期工作。
常见的测试用例包括功能测试用例、边界测试用例和异常测试用例。功能测试用例针对系统的各项功能进行验证;边界测试用例则侧重于输入数据的边界条件,验证系统在极端情况下是否能够稳定运行;异常测试用例则用于验证系统在处理错误输入或异常情况时的反应。本文选择功能测试用例进行系统测试。
在测试执行过程中,记录每个用例的执行结果,并根据实际结果与预期结果的对比,判断系统是否存在缺陷。通过系统化的测试用例执行,可以有效提高测试的覆盖率和效率,为系统的最终上线提供保障。
6.3测试用例
6.3.1用户登录功能测试
表6-1 用户登录功能测试表
| 用例名称 | 用户登录系统 |
| 目的 | 测试用户通过正确的用户名和密码可否登录功能 |
| 前提 | 未登录的情况下 |
| 测试流程 | 1) 进入登录页面 2) 输入正确的用户名和密码 |
| 预期结果 | 用户名和密码正确的时候,跳转到登录成功界面,反之则显示错误信息,提示重新输入 |
| 实际结果 | 实际结果与预期结果一致 |
6.3.2创建数据测试
在系统中,创建功能也是基础功能之一,因此创建功能的测试很有代表性。在此章节主要列举在创建时各种情况下系统结果的测试。由于系统涉及创建功能操作过多,因此将多处统称创建功能。
创建数据用例如表6-2 所示。
表6-2 创建数据测试用例
| 测试用例编号 | YL_02 | |
| 测试用例名称 | 系统使用者进行创建数据 | |
| 测试用例描述 | 使用者输入要创建的数据 | |
| 系统入口 | 浏览器 | |
| 步骤 | 预期结果 | 实际结果 |
| 输入完整并且格式正确的数据 | 提示“创建成功”,并显示所有数据 | 预期结果 |
| 核心位置数据但非必要位置不输入数据 | 提示“创建成功”,并显示所有数据 | 预期结果 |
| 核心数据位置不输入数据 | 提示“创建失败” | 预期结果 |
6.3.3修改数据测试
在系统中,修改功能是系统主要实现功能,因此修改功能的测试很有代表性。在此章节主要列举在修改时各种情况下系统结果的测试。由于系统涉及修改功能操作过多,因此将多处数据表记录修改和状态修改统称修改功能。
修改数据用例如表6-3所示。
表6-3 修改数据测试用例
| 测试用例编号 | YL_03 | |
| 测试用例名称 | 系统使用者进行修改数据 | |
| 测试用例描述 | 使用者对可修改的数据项进行修改 | |
| 系统入口 | 浏览器 | |
| 步骤 | 预期结果 | 实际结果 |
| 将现有数据修改成正确的数据 | 提示“修改成功”,并显示所有数据 | 预期结果 |
| 将现有数据修改成错误的数据 | 提示“修改失败” | 预期结果 |
6.3.4查询数据测试
在系统中,查询功能是使用系统使用最多也是最基础的功能,因此查询功能的测试很有代表性。在此章节主要列举在查询时各种情况下系统结果的测试。
查询数据用例如表6-4所示。
表6-4 查询数据测试用例
| 测试用例编号 | YL_04 | |
| 测试用例名称 | 系统使用者进行查询数据 | |
| 测试用例描述 | 全部查询以及输入关键词查询 | |
| 系统入口 | 浏览器 | |
| 步骤 | 预期结果 | 实际结果 |
| 界面自动查询全部 | 显示对应所有记录 | 预期结果 |
| 输入已存在且能匹配成功的关键字 | 显示所查询到的数据 | 预期结果 |
| 输入不存在的关键字 | 显示数据界面为空 | 预期结果 |
6.4测试结果
在本次测试的过程主要针对所有功能下的添加操作,修改操作和删除操作,并以真实数据一一进行相关功能项目的输入,最终能够保证每个项目涉及的功能都能够正常运行,因此能够保证本次设计的,已实现的功能能够正常运行并且相关数据库的信息也同样保证正确。
本系统基于Spring Boot框架完成了“大学生心灵花园健康系统”APP的设计与实现,采用Java语言开发,结合MySQL数据库完成了用户管理、心理测试、情绪缓解知识展示、考试评测等核心功能。通过前后端分离的方式,提高了系统的可维护性和扩展性,满足了大学生对心理健康服务的多样化需求。
在开发过程中,掌握了Spring Boot框架在实际项目中的应用方法,熟悉了RESTful接口设计和数据交互流程,提升了软件开发的整体思维与实践能力。系统实现了权限分级、内容浏览、在线测试、数据统计等功能,具备良好的实用性与稳定性。
未来可以进一步优化用户体验,丰富心理知识内容,提升平台互动性,使其更贴合高校心理教育的实际需要,为更多学生提供便捷的心理支持服务。
- 尹应荆.JAVA编程语言在计算机软件开发中的应用[J].石河子科技,2023,(05):45-47.
- 刘江涛,王亮亮,吴庆茹,等.基于B/S模式的铁路勘测设计案例信息化管理系统设计与实现[J].铁路计算机应用,2021,30(03):32-35.
- 张丹丹,李弘.基于B/S架构的办公管理系统设计与开发[J].铁路通信信号工程技术,2024,21(09):44-48+106.
- 王志亮,纪松波.基于SpringBoot的Web前端与数据库的接口设计[J].工业控制计算机,2023,36(03):51-53.
- 熊永平.基于SpringBoot框架应用开发技术的分析与研究[J].电脑知识与技术,2021,15(36):76-77.
- 赵媛.基于Vue的Web系统前端性能优化分析[J].电脑编程技巧与维护,2024,(09):44-46.
- 秦冬.浅析Vue框架在前端开发中的应用[J].信息与电脑(理论版),2024,36(13):61-63.
- 李艳杰.MySQL数据库下存储过程的综合运用研究[J].现代信息科技,2023,7(11):80-82+88.
- 周晓玉,崔文超.基于Web技术的数据库应用系统设计[J].信息与电脑(理论版),2023,35(09):189-191.
- 李俊萌.计算机软件测试技术与开发应用策略分析[J].信息记录材料,2023,24(03):50-52.
- Java Sunrise Coffee: Better Beans, and Better Coffee [J]. M2 Presswire, 2025,
- Salunke V S ,Ouda A . A Performance Benchmark for the PostgreSQL and MySQL Databases [J]. Future Internet, 2024, 16 (10): 382-382.
- Shao W ,Liu K . Design and Implementation of Online Ordering System Based on SpringBoot [J]. Journal of Big Data and Computing, 2024, 2 (3):
- 王金凯,马学良. 行为劝导下大学生健康管理产品服务'系统设计策略研究 [J]. 设计, 2025, 38 (02): 106-110.
- 娄鹏宇,刘心雨,王艳霞,等. 基于健康生态学模型的大学生健康相关行为影响因素研究 [J]. 中国健康教育, 2025, 41 (01): 34-38.
- 衡彦甫. 新媒体时代构建大学生健康管理服务体系的路径探究 [J]. 济南职业学院学报, 2024, (06): 66-72.
- 高梦竹. 积极构建大学生健康心理社会支持系统 [J]. 社会与公益, 2024, (09): 148-150.
- 孙克芝. 互联网背景下大学生心理健康教育研究 [J]. 湖北开放职业学院学报, 2024, 37 (15): 42-43+46.
- 任倩,王博. 基于系统挖掘的大学生健康数据特征提取模型 [J]. 信息技术, 2022, 46 (09): 21-24+29.
- 巨鲜婷,张博清. 基于大数据的大学生健康数据分析与处理系统设计 [J]. 自动化技术与应用, 2020, 39 (04): 172-176.
大学生心灵花园健康系统APP设计与实现工作已结束,虽然过程中充满挑战,但内心充满自豪和满足。感谢大学四年间教导我的所有老师,他们的专业知识与人生智慧让我成长为能独立完成系统的学生。特别感谢指导老师,他耐心解答疑惑,引导我解决问题,提升自主解决能力。室友和同学们的宝贵建议和支持也让我取得长足进步。未来,我将继续努力追求卓越,不辜负所学所悟和老师期望。坚信坚定信念和不懈努力,未来定能取得更辉煌成就。期待更美好未来!
此外,大学生心灵花园健康系统APP设计与实现不仅是技术挑战,挫折和困难是成长的垫脚石,让我更深入理解问题,精确找到解决方案。每次解决问题,都感到满足和自豪。
对于未来,我充满期待和信心。无论道路多崎岖,只要保持坚定信念,持续努力,定能取得更大成就。期待将知识和技能运用到实际中,为社会做出更大贡献。
最后,感谢所有帮助和支持我的人。你们的教诲、鼓励和支持让我有今天的成就。我会继续努力,不辜负期望,为实现更美好的未来而奋斗。
代码:
连接数据库的文件在Resources 文件夹下的application.yml文件,代码如下:
server:
port: 5000
servlet:
context-path: /api
spring:
mvc:
static-path-pattern: /upload/
resources:
static-locations: file:此处填写地址/project93355/server/src/main/resources/static
datasource:
jdbc:mysql://127.0.0.1:3306/projectxxxxx?serverTimezone=GMT%2B8&useSSL=false&characterEncoding=utf-8
username: root
password: root
driver-class-name: com.mysql.cj.jdbc.Driver
type: com.alibaba.druid.pool.DruidDataSource
jackson:
property-naming-strategy: CAMEL_CASE_TO_LOWER_CASE_WITH_UNDERSCORES
default-property-inclusion: ALWAYS
time-zone: GMT+8
date-format: yyyy-MM-dd HH:mm:ss
servlet:
项目启动文件Application.java,代码如下:
@SpringBootApplication(exclude = {DataSourceAutoConfiguration.class})
@EnableJpaRepositories
@MapperScan("com.project.demo.dao")
public class Application {
public static void main(String[] args) {
SpringApplication.run(Application.class,args);
}
}
修改数据代码如下:
@PostMapping("/set")
@Transactional
public Map<String, Object> set(HttpServletRequest request) throws IOException {
service.update(service.readQuery(request), service.readConfig(request), service.readBody(request.getReader()));
return success(1);
}
删除一条数据代码如下:
@RequestMapping(value = "/del")
@Transactional
public Map<String, Object> del(HttpServletRequest request) {
service.delete(service.readQuery(request), service.readConfig(request));
return success(1);
}
public void delete(Map<String,String> query,Map<String,String> config){
QueryWrapper wrapper = new QueryWrapper<E>();
toWhereWrapper(query, "0".equals(config.get(FindConfig.GROUP_BY)),wrapper);
baseMapper.delete(wrapper);
log.info("[{}] - 删除操作:{}",wrapper.getSqlSelect());
}
通过请求的参数获取列表数据,代码如下:
@RequestMapping("/get_list")
public Map<String, Object> getList(HttpServletRequest request) {
Map<String, Object> map = service.selectToPage(service.readQuery(request), service.readConfig(request));
return success(map);
}
获取某个组下面的数量,代码如下:
@RequestMapping(value = {"/count_group", "/count"})
public Map<String, Object> count(HttpServletRequest request) {
Integer value= service.selectSqlToInteger(service.groupCount(service.readQuery(request), service.readConfig(request)));
return success(value);
}
注册页登录代码如下:
/
* 注册
* @param user
* @return
*/
@PostMapping("register")
public Map<String, Object> signUp(@RequestBody User user) {
// 查询用户
Map<String, String> query = new HashMap<>();
Map<String,Object> map = JSON.parseObject(JSON.toJSONString(user));
query.put("username",user.getUsername());
List list = service.selectBaseList(service.select(query, new HashMap<>()));
if (list.size()>0){
return error(30000, "用户已存在");
}
map.put("password",service.encryption(String.valueOf(map.get("password"))));
service.insert(map);
return success(1);
}
MD5加密,代码如下:
public String encryption(String plainText) {
String re_md5 = new String();
try {
MessageDigest md = MessageDigest.getInstance("MD5");
md.update(plainText.getBytes());
byte b[] = md.digest();
int i;
StringBuffer buf = new StringBuffer("");
for (int offset = 0; offset < b.length; offset++) {
i = b[offset];
if (i < 0)
i += 256;
if (i < 16)
buf.append("0");
buf.append(Integer.toHexString(i));
}
re_md5 = buf.toString();
} catch (Exception e) {
e.printStackTrace();
}
return re_md5;
}
登录页代码如下:
/
* 登录
* @param data
* @param httpServletRequest
* @return
*/
@PostMapping("login")
public Map<String, Object> login(@RequestBody Map<String, String> data, HttpServletRequest httpServletRequest) {
log.info("[执行登录接口]");
String username = data.get("username");
String email = data.get("email");
String phone = data.get("phone");
String password = data.get("password");
List resultList = null;
Map<String, String> map = new HashMap<>();
if(username != null && "".equals(username) == false){
map.put("username", username);
resultList = service.selectBaseList(service.select(map, new HashMap<>()));
}
else if(email != null && "".equals(email) == false){
map.put("email", email);
resultList = service.selectBaseList(service.select(map, new HashMap<>()));
}
找回密码,接收用户输入的用户名、密码、验证码,并进行条件判断,代码如下:
/
* 找回密码
* @param form
* @return
*/
@PostMapping("forget_password")
public Map<String, Object> forgetPassword(@RequestBody User form,HttpServletRequest request) {
JSONObject ret = new JSONObject();
String username = form.getUsername();
String code = form.getCode();
String password = form.getPassword();
// 判断条件
if(code == null || code.length() == 0){
return error(30000, "验证码不能为空");
}
if(username == null || username.length() == 0){
return error(30000, "用户名不能为空");
}
if(password == null || password.length() == 0){
return error(30000, "密码不能为空");
}

被折叠的 条评论
为什么被折叠?



