目 录
摘 要
随着人们健康意识的提升和健康减脂需求的增加,本项目基于Flask框架开发了一款健康减脂饮食推荐小程序。该小程序涵盖食谱信息、身材信息、饮食信息和运动信息等功能模块。通过Python编程语言和MySQL数据库的结合,实现了系统的设计与开发。食谱信息模块提供健康饮食推荐和菜谱制作方法,身材信息模块记录用户身体数据和健康目标,饮食信息模块跟踪用户饮食摄入情况,运动信息模块展示适合减脂的运动方案。该小程序旨在帮助用户制定科学健康的饮食计划,促进健康减脂和塑造理想身材。通过用户提供的信息和需求,系统能够智能推荐适合的饮食方案和运动计划,提供个性化的健康减脂建议。该小程序的设计与实现为用户提供了一站式健康管理解决方案,助力用户实现健康减脂目标,促进身体健康和健康生活方式的养成。
关键词:Python;flask;小程序;MySQL
Abstract
With the improvement of people's health awareness and the increasing demand for healthy weight loss, this project has developed a healthy weight loss diet recommendation mini program based on the Flask framework. This mini program includes functional modules such as recipe information, body shape information, dietary information, and exercise information. The design and development of the system were achieved through the combination of Python programming language and MySQL database. The recipe information module provides recommendations for healthy eating and recipe making methods, the body information module records user body data and health goals, the diet information module tracks user dietary intake, and the exercise information module displays suitable exercise plans for weight loss. This mini program aims to help users develop a scientifically healthy diet plan, promote healthy weight loss, and shape their pycharml figure. Based on the information and needs provided by users, the system can intelligently recommend suitable dietary and exercise plans, and provide personalized health and weight loss recommendations. The design and implementation of this mini program provides users with a one-stop health management solution, helping them achieve their health and weight loss goals, and promoting physical health and healthy lifestyle development.
Keywords:Python; Flask; Mini programs; MySQL
1 绪论
随着现代生活节奏的加快,人们的生活水平不断提高,对健康的追求也日益增强。然而,随着饮食结构的改变和生活方式的西化,肥胖问题逐渐成为一个全球性的健康问题。肥胖不仅影响个人的形象和自信心,更与多种慢性疾病如心血管疾病、糖尿病等密切相关。因此,如何在保证营养摄入的同时实现健康减脂成为了人们关注的焦点。
传统的减脂方法往往强调单一的饮食控制或高强度的运动,但这些方法往往难以持续,且效果不一。近年来,随着科技的进步和大数据的应用,人们开始尝试通过科学的饮食推荐来实现健康减脂。通过分析个人的身体状况、饮食习惯和营养需求,为用户量身定制个性化的饮食方案,既保证了营养的全面性,又能有效促进脂肪的消耗。
本研究旨在开发一款健康减脂饮食推荐小程序,结合现代科技手段,为用户提供科学、合理、个性化的饮食建议。该程序将基于大量用户的身体数据和饮食记录,通过算法分析,为用户提供符合其营养需求和减脂目标的饮食方案。同时,该程序还将提供饮食记录、进度追踪和饮食信息等功能,帮助用户更好地监控自己的减脂进程,实现健康减脂的目标。
本研究不仅有助于解决当前肥胖问题,提高人们的健康水平,还可为个性化营养推荐技术的发展提供有力支持,推动健康产业的创新发展。
1.2研究意义
在当今社会,随着生活节奏的加快和饮食习惯的改变,越来越多的人开始面临肥胖和相关健康问题的困扰。肥胖不仅影响个人的外观,更是心血管疾病、糖尿病、高血压等多种慢性病的重要诱因。因此,如何有效地减脂并保持健康的体重成为了人们关注的焦点。
传统的减脂方法往往依赖于个人的自觉性和对营养知识的了解,但在实际操作中,由于缺乏专业的指导和科学的饮食计划,很多人往往难以取得理想的减脂效果。此外,市场上的减脂产品琳琅满目,真假难辨,也给消费者带来了很大的困扰。
鉴于此,开发一款健康减脂饮食推荐小程序显得尤为必要。这款小程序可以根据用户的身体状况、减脂目标和口味偏好,提供个性化的饮食建议。通过智能算法,它可以为用户推荐合适的食材、菜品和营养配比,帮助用户制定科学、合理的减脂计划。
此外,小程序还可以提供营养知识普及和健康生活方式的建议,帮助用户提升健康意识,形成健康的生活习惯。这不仅有助于用户减脂成功,更能提升他们的整体健康水平。
健康减脂饮食推荐小程序的研究意义不仅在于帮助用户实现减脂目标,更在于通过科学、智能的方式,普及健康知识,提高人们的健康素养,促进社会的健康发展。
1.3论文结构与章节安排
本文共分为六章,章节内容安排如下:
第一章为引言,此章节对所设计和实现的系统的背景和意义进行详细的论述以及说明,同时进行了论文整体框架的结构的简要介绍。
第二章为系统需求分析,章节所做的主要的工作是对系统进行了技术、经济和操作方面可行性的分析;对系统实行了总体功能的需求、用例分析。
第三章为系统的设计,主要是对系统的功能结构进行设计,并对系统数据库的概念结构以及物理结构的设计进行了分析。
第四章就是对系统的实现,根据系统功能的划分,分别的对系统所需要实现的前台客户功能和后台管理员功能进行了分析和说明。
第五章:系统测试。主要对系统的部分界面进行测试并对主要功能进行测试
2 健康减脂饮食推荐小程序系统分析
系统需求分析是系统开发的一个关键环节,它在系统的设计和实现上起到了一个承上启下的位置。系统需求分析是对所需要做的系统进行一个需求的挖掘,如果分析的准确可以精准的解决现实中碰到的问题。如果分析不到位会影响后期系统的实现。一个系统的优秀程度需求分析也是占据了非常大的比例,如果需求分析不到位,后面的系统设计要实现就是一个偏离导航的设计。
2.1 可行性分析
系统可行行分析是对系统对系统可行性进行一个探讨。在探讨系统的可行性上我们主要从技术上的可行性和经济上的可行性以及法律层面的可行性上进行分析,如果三个层面度通过,我们则认为系统是比较可行的。
2.1.1 技术可行性分析
健康减脂饮食推荐小程序存储所使用的mysql数据库以及开发中所使用的pycharm、Tomcat这些开发工具的使用,能够给我们的编写工作带来许多的便利。系统使用flask框架进行开发,使系统的可扩展性和维护性更佳,减少Python配置代码,简化编程代码,目前flask框架也是很多企业选择的框架之一。
2.1.2 经济可行性分析
从经济可行性上看项目在开发阶段需要一台开发PC,在生产阶段需要web服务器和数据库服务器。一台个人PC从经济上来看也不是太多问题,在后期的系统部署生产上来说,服务器的投入也不会过高,在经济层面上是一个比较可行的。
系统从法律层面上来没有对第三方有其他放有法律层面的问题,系统数据库采用的Mysql 开源社区数据库、框架采用的是开源的flask。系统资讯和相关内容也是法律层面的。在源码的管理上采用git开源进行管理,所以在法律可行性上是成立的。
在数字健康的浪潮中,减脂饮食推荐小程序正成为越来越多人追求健康生活的得力助手。而在这背后,协同过滤算法发挥着至关重要的作用。这种智能算法通过分析用户的兴趣、偏好和饮食习惯,结合其他相似用户的经验,为用户量身打造个性化的健康减脂饮食计划。
2.2 系统功能分析
2.2.1 功能性分析
健康减脂饮食推荐小程序我划分为了注册用户管理模块和管理员模块这两大部分。
注册用户管理模块:
(1)查看健康减脂饮食推荐小程序的首页信息:健康减脂饮食推荐小程序的首页信息包含了首页、通知公告、健康资讯、食谱信息等。
(2)浏览健康资讯:用户可以浏览主页面的健康资讯来了解系统的最新健康资讯。
(3)通知公告:可以接收系统发出的公告内容。
(4)食谱信息:注册用户点击“食谱信息”菜单可以查看所有食谱信息,可以按照条件查看食谱信息,或者输入关键词进行查询,点击可以进入食谱信息详细展示界面。
(5)基本信息:用户点击“基本信息”可以对个人资料以及密码进行更新。
(6)我的收藏:用户点击“我的收藏”,会显示出自己收藏的所有信息,点击某一条收藏可以查看信息详细介绍,同时删除收藏;
管理员管理模块:
(1)系统用户:管理员可以对健康减脂饮食推荐小程序中的管理员以及前台注册的用户进行审核管理。
(2)食谱信息:对食谱信息进行维护,新增、删除、修改信息。
(3)健康资讯信息管理:发布、删除相关的健康资讯信息。
(4)身材信息:对身材信息进行维护,新增、删除、修改信息。
(5)饮食信息管理:对饮食信息进行管理以及查看评论。
(6)系统管理:管理员可以对健康减脂饮食推荐小程序前台展示的轮播图进行管控。
(7)运动信息:对运动信息进行维护,新增、删除、修改信息。
2.2.2 非功能性分析
健康减脂饮食推荐小程序的非功能性需求比如健康减脂饮食推荐小程序的安全性怎么样,可靠性怎么样,性能怎么样,可拓展性怎么样等。具体可以表示在如下3-1表格中:
表3-1健康减脂饮食推荐小程序非功能需求表
| 安全性 | 主要指健康减脂饮食推荐小程序数据库的安装,数据库的使用和密码的设定必须合乎规范。 |
| 可靠性 | 可靠性是指健康减脂饮食推荐小程序能够按照用户提交的指示进行操作,经过测试,可靠性90%以上。 |
| 性能 | 性能是影响健康减脂饮食推荐小程序占据市场的必要条件,所以性能最好要佳才好。 |
| 可扩展性 | 比如数据库预留多个属性,比如接口的使用等确保了系统的非功能性需求。 |
| 易用性 | 用户只要跟着健康减脂饮食推荐小程序的页面展示内容进行操作,就可以了。 |
| 可维护性 | 健康减脂饮食推荐小程序开发的可维护性是非常重要的,经过测试,可维护性没有问题 |
2.3 系统用例分析
健康减脂饮食推荐小程序的完整UML用例图分别是图2-1和图2-2。
图2-1就是管理员角色的用例展示。

图2-1 健康减脂饮食推荐小程序管理员角色用例图
图2-2就是注册用户角色的用例展示。

图2-2 健康减脂饮食推荐小程序注册用户角色用例图
2.4 系统流程分析
本系统在处理数据时,其内部的操作逻辑也需要使用相应的工具进行展示。
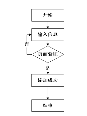
在本系统的数据录入页面,对于操作者提供的每条数据都有相应的检验规则,比如数据信息不能有非法字符,或者本来应该是汉字的数据,不能用字母代替,还有对数据内容的长度等进行规范,这样的可以确保数据准确性的检验规则,在编码时,就提前编写好了。数据添加的流程见下图。如果数据已经保存进入数据库,则说明操作者提供的数据内容和格式都是符合要求的。

图2-4 添加信息流程图
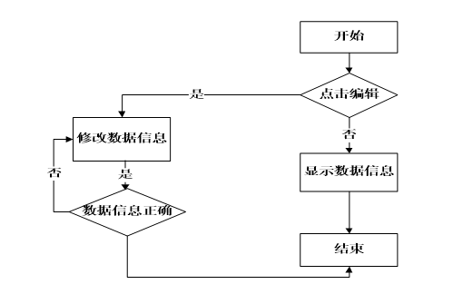
很多时候,面对系统中的大量数据,难免会发现一些错误,因此需要及时纠正错误,本系统也提供数据后期的修改功能,其流程见下图。但是更新的数据也需要通过数据有效性检验。能够最终写入数据库则说明修改的数据是符合要求的。

图2-5修改信息流程图
面对数据库里面大量数据,在系统的前台,要想快速获取需要的信息,就需要使用查询功能。其流程见下图。该功能需要操作者提前输入关键词,当系统的后台数据库保存了与关键词匹配的数据时,就会及时显示出来,整个过程耗时很短。

图2-6查询信息流程图
2.5本章小结
本章主要通过对健康减脂饮食推荐小程序的可行性分析、功能需求分析、系统用例分析、系统流程分析,确定整个健康减脂饮食推荐小程序要实现的功能。同时也为健康减脂饮食推荐小程序的代码实现和测试提供了标准。
3 健康减脂饮食推荐小程序总体设计
本章主要讨论的内容包括健康减脂饮食推荐小程序的功能模块设计、数据库系统设计。
3.1 推荐算法
协同过滤算法:基于用户行为数据,发现用户之间的相似性或物品之间的相似性,从而进行推荐。包括基于用户的协同过滤和基于物品的协同过滤算法。
内容-based算法:基于物品的属性和用户的历史偏好,推荐与用户过去喜欢的物品相似的物品。
矩阵分解算法:将用户-物品行为矩阵分解为两个低维矩阵,通过学习用户和物品的隐含特征向量,进行推荐。
深度学习算法:如神经网络模型,在推荐系统中应用日益广泛,通过多层次的神经网络学习用户和物品之间的复杂关系。
基于标签的推荐算法:根据用户对物品的标签信息进行推荐,提高推荐的多样性和覆盖度。
基于时间序列的推荐算法:考虑用户行为在时间上的变化,预测用户未来的兴趣和行为,实现动态推荐。
3.2 系统功能模块设计
3.2.1整体功能模块设计
在上一章节中主要对系统的功能性需求和非功能性需求进行分析,并且根据需求分析了本健康减脂饮食推荐小程序中的用例。那么接下来就要开始对本健康减脂饮食推荐小程序的架构、主要功能和数据库开始进行设计。健康减脂饮食推荐小程序根据前面章节的需求分析得出,其总体设计模块图如图3-1所示。
图3-1 健康减脂饮食推荐小程序功能模块图
3.2.2用户模块设计
本系统的用户包括管理员和用户两种用户模块的功能基本是相同的,用户比管理员多了一个注册功能,所以以用户模块的结构图为例进行分析,用户模块结构图为例进行分析,如下图:

图3-2用户模块结构图
3.2.3 评论管理模块设计
健康减脂饮食推荐小程序是一个交流性质的公开平台,用户在平台上提交评论,增加用户之间的互动性。但是同时也为了更好的规范评论的内容,给予管理员删除不合适的评论的功能,所以需要专门设计一个评论管理模块,具体的结构图如下:

图3-3评论管理模块结构图
3.2.4食谱管理模块设计
健康减脂饮食推荐小程序是中需要存储不少食谱信息,其模块功能结构,具体的结构图如下:

图3-4食谱信息模块结构图
3.3 数据库设计
数据库设计一般包括需求分析、概念模型设计、数据库表建立三大过程,其中需求分析前面章节已经阐述,概念模型设计有概念模型和逻辑结构设计两部分。
3.3.1 数据库概念结构设计
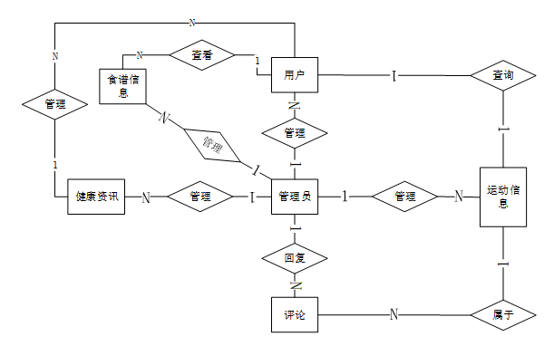
下面是整个健康减脂饮食推荐小程序中主要的数据库表总E-R实体关系图。

图3-6 健康减脂饮食推荐小程序总E-R关系图
3.3.2 数据库逻辑结构设计
通过上一小节中健康减脂饮食推荐小程序中总E-R关系图上得出一共需要创建很多个数据表。在此我主要罗列几个主要的数据库表结构设计。
表body_information (身材信息)
| 编号 | 名称 | 数据类型 | 长度 | 小数位 | 允许空值 | 主键 | 默认值 | 说明 |
| 1 | body_information_id | int | 10 | 0 | N | Y | 身材信息ID | |
| 2 | user_account | int | 10 | 0 | Y | N | 0 | 用户账号 |
| 3 | user_name | varchar | 64 | 0 | Y | N | 用户姓名 | |
| 4 | statistical_time | datetime | 19 | 0 | Y | N | 统计时间 | |
| 5 | height_quantity | varchar | 64 | 0 | Y | N | 身高数量 | |
| 6 | weight_quantity | varchar | 64 | 0 | Y | N | 体重数量 | |
| 7 | other_remarks | text | 65535 | 0 | Y | N | 其他备注 | |
| 8 | create_time | datetime | 19 | 0 | N | N | CURRENT_TIMESTAMP | 创建时间 |
| 9 | update_time | timestamp | 19 | 0 | N | N | CURRENT_TIMESTAMP | 更新时间 |
表comment (评论)
| 编号 | 名称 | 数据类型 | 长度 | 小数位 | 允许空值 | 主键 | 默认值 | 说明 |
| 1 | comment_id | int | 10 | 0 | N | Y | 评论ID: | |
| 2 | user_id | int | 10 | 0 | N | N | 0 | 评论人ID: |
| 3 | reply_to_id | int | 10 | 0 | N | N | 0 | 回复评论ID:空为0 |
| 4 | content | longtext | 2147483647 | 0 | Y | N | 内容: | |
| 5 | nickname | varchar | 255 | 0 | Y | N | 昵称: | |
| 6 | avatar | varchar | 255 | 0 | Y | N | 头像地址:[0,255] | |
| 7 | create_time | timestamp | 19 | 0 | N | N | CURRENT_TIMESTAMP | 创建时间: |
| 8 | update_time | timestamp | 19 | 0 | N | N | CURRENT_TIMESTAMP | 更新时间: |
| 9 | source_table | varchar | 255 | 0 | Y | N | 来源表: | |
| 10 | source_field | varchar | 255 | 0 | Y | N | 来源字段: | |
| 11 | source_id | int | 10 | 0 | N | N | 0 | 来源ID: |
表dietary_information (饮食信息)
| 编号 | 名称 | 数据类型 | 长度 | 小数位 | 允许空值 | 主键 | 默认值 | 说明 |
| 1 | dietary_information_id | int | 10 | 0 | N | Y | 饮食信息ID | |
| 2 | user_account | int | 10 | 0 | Y | N | 0 | 用户账号 |
| 3 | user_name | varchar | 64 | 0 | Y | N | 用户姓名 | |
| 4 | statistical_time | datetime | 19 | 0 | Y | N | 统计时间 | |
| 5 | ingredients_name | varchar | 64 | 0 | Y | N | 食材名称 | |
| 6 | ingredients_details | text | 65535 | 0 | Y | N | 食材详情 | |
| 7 | other_remarks | text | 65535 | 0 | Y | N | 其他备注 | |
| 8 | create_time | datetime | 19 | 0 | N | N | CURRENT_TIMESTAMP | 创建时间 |
| 9 | update_time | timestamp | 19 | 0 | N | N | CURRENT_TIMESTAMP | 更新时间 |
表notice (公告)
| 编号 | 名称 | 数据类型 | 长度 | 小数位 | 允许空值 | 主键 | 默认值 | 说明 |
| 1 | notice_id | mediumint | 8 | 0 | N | Y | 公告id: | |
| 2 | title | varchar | 125 | 0 | N | N | 标题: | |
| 3 | content | longtext | 2147483647 | 0 | Y | N | 正文: | |
| 4 | create_time | timestamp | 19 | 0 | N | N | CURRENT_TIMESTAMP | 创建时间: |
| 5 | update_time | timestamp | 19 | 0 | N | N | CURRENT_TIMESTAMP | 更新时间: |
表recipe_classification (食谱分类)
| 编号 | 名称 | 数据类型 | 长度 | 小数位 | 允许空值 | 主键 | 默认值 | 说明 |
| 1 | recipe_classification_id | int | 10 | 0 | N | Y | 食谱分类ID | |
| 2 | recipe_classification | varchar | 64 | 0 | Y | N | 食谱分类 | |
| 3 | create_time | datetime | 19 | 0 | N | N | CURRENT_TIMESTAMP | 创建时间 |
| 4 | update_time | timestamp | 19 | 0 | N | N | CURRENT_TIMESTAMP | 更新时间 |
表recipe_information (食谱信息)
| 编号 | 名称 | 数据类型 | 长度 | 小数位 | 允许空值 | 主键 | 默认值 | 说明 |
| 1 | recipe_information_id | int | 10 | 0 | N | Y | 食谱信息ID | |
| 2 | recipe_name | varchar | 64 | 0 | Y | N | 食谱名称 | |
| 3 | recipe_images | varchar | 255 | 0 | Y | N | 食谱图片 | |
| 4 | recipe_classification | varchar | 64 | 0 | Y | N | 食谱分类 | |
| 5 | ingredients_name | varchar | 64 | 0 | Y | N | 食材名称 | |
| 6 | calories_of_ingredients | varchar | 64 | 0 | Y | N | 食材热量 | |
| 7 | suitable_for_the_audience | varchar | 64 | 0 | Y | N | 适合人群 | |
| 8 | recipe_details | text | 65535 | 0 | Y | N | 食谱详情 | |
| 9 | hits | int | 10 | 0 | N | N | 0 | 点击数 |
| 10 | praise_len | int | 10 | 0 | N | N | 0 | 点赞数 |
| 11 | recommend | int | 10 | 0 | N | N | 0 | 智能推荐 |
| 12 | create_time | datetime | 19 | 0 | N | N | CURRENT_TIMESTAMP | 创建时间 |
| 13 | update_time | timestamp | 19 | 0 | N | N | CURRENT_TIMESTAMP | 更新时间 |
表registered_users (注册用户)
| 编号 | 名称 | 数据类型 | 长度 | 小数位 | 允许空值 | 主键 | 默认值 | 说明 |
| 1 | registered_users_id | int | 10 | 0 | N | Y | 注册用户ID | |
| 2 | user_name | varchar | 64 | 0 | Y | N | 用户姓名 | |
| 3 | user_phone_number | varchar | 16 | 0 | Y | N | 用户电话 | |
| 4 | examine_state | varchar | 16 | 0 | N | N | 已通过 | 审核状态 |
| 5 | user_id | int | 10 | 0 | N | N | 0 | 用户ID |
| 6 | create_time | datetime | 19 | 0 | N | N | CURRENT_TIMESTAMP | 创建时间 |
| 7 | update_time | timestamp | 19 | 0 | N | N | CURRENT_TIMESTAMP | 更新时间 |
表sports_information (运动信息)
| 编号 | 名称 | 数据类型 | 长度 | 小数位 | 允许空值 | 主键 | 默认值 | 说明 |
| 1 | sports_information_id | int | 10 | 0 | N | Y | 运动信息ID | |
| 2 | user_account | int | 10 | 0 | Y | N | 0 | 用户账号 |
| 3 | user_name | varchar | 64 | 0 | Y | N | 用户姓名 | |
| 4 | statistical_time | datetime | 19 | 0 | Y | N | 统计时间 | |
| 5 | sports_events | varchar | 64 | 0 | Y | N | 运动项目 | |
| 6 | exercise_duration | varchar | 64 | 0 | Y | N | 运动时长 | |
| 7 | quantity_of_drinking_water | varchar | 64 | 0 | Y | N | 饮水数量 | |
| 8 | other_remarks | text | 65535 | 0 | Y | N | 其他备注 | |
| 9 | create_time | datetime | 19 | 0 | N | N | CURRENT_TIMESTAMP | 创建时间 |
| 10 | update_time | timestamp | 19 | 0 | N | N | CURRENT_TIMESTAMP | 更新时间 |
3.4本章小结
整个健康减脂饮食推荐小程序的需求分析主要对系统总体架构以及功能模块的设计,通过建立E-R模型和数据库逻辑系统设计完成了数据库系统设计。
4 健康减脂饮食推荐小程序详细设计与实现
健康减脂饮食推荐小程序的详细设计与实现主要是根据前面的健康减脂饮食推荐小程序的需求分析和健康减脂饮食推荐小程序的总体设计来设计页面并实现业务逻辑。主要从健康减脂饮食推荐小程序界面实现、业务逻辑实现这两部分进行介绍。
4.1用户功能模块
4.1.1 前台首页界面
当进入健康减脂饮食推荐小程序的时候,系统以上中下的布局进行展示,首先映入眼帘的是系统的导航栏,下面是轮播图,再往下是食谱信息,其主界面展示如下图4-1所示。

图4-1 前台首页界面图
4.1.2 用户注册界面
健康减脂饮食推荐小程序的用户可以进行注册登录,当用户左上角“注册”按钮的时候,当填写上自己的账号+密码+确认密码+昵称+邮箱+手机号,选择身份,然后填写身份信息后再点击“注册”按钮后将会先验证输入的有没有空数据,再次验证密码和确认密码是否是一样的,最后验证输入的账户名和数据库表中已经注册的账户名是否重复,只有都验证没问题后即可注册成功。其用注册界面展示如下图4-2所示。

图4-2注册界面图
注册关键代码如下:
# 用户类
class User(controllerClass):
def __init__(self, config={}):
"""
构造函数
@param {Object} config 配置参数
"""
config_init = {
# 选择的模板那路径模板
"tpl": "./user/",
# 选择的服务
"services": "user",
# 注册API
"get_api": ["state", "quit"],
"post_api": ["login", "register", "change_password", "forget_password"],
# 唯一判断
"unique": ["username"]
}
config_temp = config
config_temp.update(config_init)
super(User, self).__init__(config_temp)
def Register(self, ctx):
"""
注册API
@param {Object} config 配置参数
"""
print("===================注册=====================")
userService = service_select("user")
body = ctx.body
# 判断必须信息
if "username" not in body and body["username"] == '':
return {"error": {
"code": 70000,
"message": "用户名不能为空",
}}
if "user_group" not in body and body["user_group"] == '':
return {
"error": {
"code": 70000,
"message": "用户组不能为空",
}
}
if "password" not in body and body["password"] == '':
return {
"error": {
"code": 70000,
"message": "密码不能为空",
}
}
# 取出表单
post_param = body
post_param['nickname'] = body["nickname"] or ""
post_param['password'] = md5hash(body["password"])
# 校验是否存在用户
obj = userService.Get_obj({"username": post_param['username']}, {"like": False})
if obj:
return {
"error": {
"code": 70000,
"message": "用户名已存在",
}
}
ret = {
"error": {
"code": 70000,
"message": "注册失败",
}
}
# 添加
bl = userService.Add(post_param)
if bl:
ret = {
"result": {
"bl": True,
"message": "注册成功"
}
}
return ret
4.1.3用户登录界面
健康减脂饮食推荐小程序中的前台上注册后的用户是可以通过自己的账户名和密码进行登录的,当用户输入完整的自己的账户名和密码信息并点击“登录”按钮后,将会首先验证输入的有没有空数据,再次验证输入的账户名+密码和数据库中当前保存的用户信息是否一致,只有在一致后将会登录成功并自动跳转到健康减脂饮食推荐小程序的首页中;否则将会提示相应错误信息,用户登录界面如下图4-3所示。

图4-3用户登录界面图
登录关键代码如下:
"""
登录API
@param {Object} ctx http请求上下文
"""
print("===================登录=====================")
ret = {
"error": {
"code": 70000,
"message": "账户不存在",
}
}
body = ctx.body
# 获取用户
password = md5hash(body["password"]) or ""
obj = service_select("user").Get_obj(
{"username": body["username"]}, {"like": False}
)
if obj:
# 检查用户所属用户组
user_group = service_select("user_group").Get_obj({'name': obj['user_group']}, {"like": False})
if user_group and user_group['source_table'] != '':
user_obj = service_select(user_group['source_table']).Get_obj({"user_id": obj['user_id']},
{"like": False})
if user_obj['examine_state'] == '未通过':
ret = {
"error": {
"code": 70000,
"message": "账户未通过审核",
}
}
return ret
if user_obj['examine_state'] == '未审核':
ret = {
"error": {
"code": 70000,
"message": "账户未审核",
}
}
return ret
# 校验用户状态
if obj["state"] == 1:
# 校验密码
if obj["password"] == password:
# 生成Token
timeout = datetime.now(tz=timezone.utc)
timestamp = int(time.mktime(timeout.timetuple())) * 1000
token = md5hash(str(obj["user_id"]) + "_" + str(timestamp))
# 存储Token
# session[token] = obj["user_id"]
session.setdefault(token, obj["user_id"])
session.permanent = True
service_select("access_token").Add(
{"token": token, "user_id": obj["user_id"]}
)
# 回传用户
obj["token"] = token
ret = {
"result": {"obj": obj}
}
else:
ret = {
"error": {
"code": 70000,
"message": "密码错误",
}
}
else:
ret = {
"error": {
"code": 70000,
"message": "用户账户不可用,请联系管理员",
}
}
return ret
4.1.4 食谱信息界面
用户点击“食谱信息”菜单可以查看所有食谱信息,可以按照条件查看食谱信息,或者输入关键词进行查询,点击可以进入食谱信息详细展示界面,在此界面用户可以收藏、点赞和评论,食谱信息界面如下图4-4所示。

图4-4食谱信息界面图
4.1.5健康资讯详情界面
用户点击“健康资讯”菜单可以查看所有健康资讯,可以按照条件查看健康资讯,或者输入关键词进行查询,点击可以进入健康资讯详细展示界面,在此界面用户可以收藏、点赞和评论,健康资讯详情展示页面如图4-5所示。

图4-5健康资讯详情界面图
4.1.6饮食信息管理界面
用户在后台点击“饮食信息”可以查看所有的饮食信息,可以查看饮食的详细信息。饮食信息管理界面如下图4-6所示。

图4-6饮食信息界面图
4.2管理员功能模块
4.2.1系统用户管理界面
管理用户点击“系统用户”这一菜单会显示所有用户信息,管理员可以对管理员以及注册用户进行增删改查操作。界面如下图4-7所示。

图4-7系统用户管理界面图
系统用户管理关键代码如下:
"""
增
@param {Object} ctx http请求上下文
@return {Object} 返回json-rpc格式结果
"""
body = ctx.body
unique = self.config.get("unique")
obj = None
if unique:
qy = {}
for i in range(len(unique)):
key = unique[i]
qy[key] = body.get(key)
obj = self.service.Get_obj(qy)
if not obj:
# 添加数据前
error = self.Add_before(ctx)
if error["code"]:
return {"error": error}
error = self.Events("add_before", ctx, None)
if error["code"]:
return {"error": error}
# 添加数据
result = self.service.Add(body, self.config)
# 添加数据发生错误
if self.service.error:
return {"error": self.service.error}
# 添加数据成功后
res = self.Add_after(ctx, result)
if res:
result = res
res = self.Events("add_after", ctx, result)
if res:
result = res
return {"result": result}
else:
return {"error": {"code": 10000, "message": "已存在"}}
4.2.2 食谱信息管理界面
管理用户点击“食谱信息”按钮会显示自己添加的食谱信息,如果想要添加新的食谱信息,点击“添加”按钮根据提示输入食谱信息,点击“提交”后在食谱信息界面就可以显示了,如果信息有错可以对食谱信息进行更新维护,也可以直接删除某一食谱信息,还可以管理评论信息,界面如下图4-8所示。

图4-8食谱信息管理界面图
食谱信息管理关键代码如下:
# 删
def Del(self, ctx):
"""
删
@param {Object} ctx http请求上下文
@return {Object} 返回json-rpc格式结果
"""
if len(ctx.query) == 0:
errorMsg = {"code": 30000, "message": "删除条件不能为空!"}
return errorMsg
result = self.service.Del(ctx.query, self.config)
if self.service.error:
return {"error": self.service.error}
return {"result": result}
4.2.3身材信息管理界面
管理员点击“身材信息”这一按钮后会显示出所有的身材信息,在身材信息界面可以添加新的身材信息,可以对身材信息进行修改、删除,也可以按照用户姓名或者统计时间对身材信息查询。界面如下图4-9所示。

图4-9身材信息管理界面图
身材信息管理关键代码如下:
# 改
def Set(self, ctx):
"""
改
@param {Object} ctx http请求上下文
@return {Object} 返回json-rpc格式结果
"""
# 修改数据前
error = self.Set_before(ctx)
if error["code"]:
return {"error": error}
error = self.Events("set_before", ctx, None)
if error["code"]:
return {"error": error}
query = ctx.query
if 'page' in query.keys():
del ctx.query['page']
if 'size' in query.keys():
del ctx.query['size']
if 'orderby' in query.keys():
del ctx.query['orderby']
# 修改数据
result = self.service.Set(ctx.query, ctx.body, self.config)
# 修改数据发生错误
if self.service.error:
return {"error": self.service.error}
# 修改数据成功后
res = self.Set_after(ctx, result)
if res:
result = res
res = self.Events("set_after", ctx, result)
if res:
result = res
return {"result": result}
管理员点击“饮食信息”这一按钮后会显示出所有的饮食信息,在饮食信息界面可以添加新的饮食信息,可以对饮食信息进行修改、删除,也可以按照用户姓名或者统计时间对饮食信息查询。界面如下图4-10所示。

图4-10饮食信息管理界面图
饮食信息管理关键代码如下:
# 查多条
def Get_list(self, ctx):
"""
查多条
@param {Object} ctx http请求上下文
@return {Object} 返回json-rpc格式结果
"""
query = dict(ctx.query)
config_plus = {}
if "field" in query:
field = query.pop("field")
config_plus["field"] = field
if "page" in query:
config_plus["page"] = query.pop("page")
if "size" in query:
config_plus["size"] = query.pop("size")
if "orderby" in query:
config_plus["orderby"] = query.pop("orderby")
if "like" in query:
config_plus["like"] = query.pop("like")
if "groupby" in query:
config_plus["groupby"] = query.pop("groupby")
count = self.service.Count(query)
lst = []
if self.service.error:
return {"error": self.service.error}
elif count:
lst = self.service.Get_list(query,
obj_update(self.config, config_plus))
if self.service.error:
return {"error": self.service.error}
self.interact_list(ctx, lst)
return {"result": {"list": lst, "count": count}}
管理员点击“运动信息”菜单可以对运动信息进行增删改查,界面如下图4-11所示。

图4-11运动信息管理界面图
5系统测试
5.1 系统测试用例
系统测试包括:用户登录功能测试、健康资讯展示功能测试、食谱信息添加、食谱信息搜索、密码修改、食谱信息功能测试,如表5-1、5-2、5-3、5-4、5-5、5-6所示:
表5-1 用户登录功能测试表
| 用例名称 | 用户登录系统 |
| 目的 | 测试用户通过正确的用户名和密码可否登录功能 |
| 前提 | 未登录的情况下 |
| 测试流程 | 1) 进入登录页面 2) 输入正确的用户名和密码 |
| 预期结果 | 用户名和密码正确的时候,跳转到登录成功界面,反之则显示错误信息,提示重新输入 |
| 实际结果 | 实际结果与预期结果一致 |
健康资讯查看功能测试:
表5-2 健康资讯查看功能测试表
| 用例名称 | 健康资讯查看 |
| 目的 | 测试健康资讯查看功能 |
| 前提 | 用户登录 |
| 测试流程 | 点击健康资讯列表 |
| 预期结果 | 可以查看到所有健康资讯信息 |
| 实际结果 | 实际结果与预期结果一致 |
管理员添加食谱信息管理界面测试:
表5-3 管理员添加食谱信息管理界面测试表
| 用例名称 | 添加食谱信息测试用例 |
| 目的 | 测试食谱信息添加功能 |
| 前提 | 管理员用户正常登录情况下 |
| 测试流程 | 1)管理员点击食谱信息,然后点击添加后并填写信息。 2)点击进行提交。 |
| 预期结果 | 提交以后,页面首页会显示新的食谱信息 |
| 实际结果 | 实际结果与预期结果一致 |
食谱信息搜索功能测试:
表5-4食谱信息搜索功能测试表
| 用例名称 | 食谱信息搜索测试 |
| 目的 | 测试食谱信息搜索功能 |
| 前提 | 无 |
| 测试流程 | 1)在搜索框填入搜索关键字。 2)点击搜索按钮。 |
| 预期结果 | 页面显示包含有搜索关键字的食谱信息 |
| 实际结果 | 实际结果与预期结果一致 |
密码修改搜索功能测试:
表5-5 密码修改功能测试表
| 用例名称 | 密码修改测试用例 |
| 目的 | 测试管理员密码修改功能 |
| 前提 | 管理员用户正常登录情况下 |
| 测试流程 | 1)管理员密码修改并完成填写。 2)点击进行提交。 |
| 预期结果 | 使用新的密码可以登录 |
| 实际结果 | 实际结果与预期结果一致 |
食谱信息功能测试:
表5-6食谱信息功能测试表
| 用例名称 | 食谱信息测试用例 |
| 目的 | 测试用户食谱信息功能 |
| 前提 | 用户正常登录情况下 |
| 测试流程 | 1)搜索查看食谱信息,点击食谱信息。 2)填写食谱信息,点击进行提交。 |
| 预期结果 | 食谱信息成功 |
| 实际结果 | 实际结果与预期结果一致 |
5.2 系统测试结果
通过编写健康减脂饮食推荐小程序的测试用例,已经检测完毕用户登录模块、健康资讯展示模块、食谱信息添加模块、食谱信息搜索模块、密码修改模块、食谱信息模块功能测试,通过这6大模块为健康减脂饮食推荐小程序的后期推广运营提供了强力的技术支撑。
在开发健康减脂饮食推荐小程序之前必须要对用户的需求进行分析,确定系统的可行性、功能需求以及其他需求。可行性分析主要包括技术可行性,经济可行性以及法律可行性,从而保证系统的实施可行性。
本文首先总结了健康减脂饮食推荐小程序管理的研究背景和研究意义,进一步阐述了具体业务需求,并依据需求对系统的结构和功能模块进行详细设计,将系统划分为多个不同的功能模块。在功能需求分析中,对系统的整体架构和功能模块进行了分析,选择了适合的系统开发技术并完成了各个模块的研制。在研制完成后,对所设计系统进行了部署和试验,试验表明所设计系统在功能和性能方面都达到了预期的要求,并具有相对高的稳定性和可靠性。
参考文献
[1]吴小凤,王天淼,朱文秀. 基于Flask框架的监控平台可视化设计研究 [J]. 工业控制计算机, 2024, 37 (03): 90-91.
[2]高敏钦. 基于微信小程序的智慧校园平台设计 [J]. 河北软件职业技术学院学报, 2024, 26 (01): 12-15.
[3]资佳阳,周灵,曾亚光. 基于微信小程序的眼科参数检测系统设计 [J]. 现代信息科技, 2024, 8 (06): 1-6.
[4]周玉竹,沙丽清,胡婷婷,等. 微信小程序“金山文档”在口腔门诊排班管理中的应用[C]// 中华口腔医学会牙体牙髓病学专业委员会. 第十六次全国牙体牙髓病学学术大会论文汇编. 中山大学光华口腔医学院·附属口腔医院牙体牙髓病科,广东省口腔医学重点实验室;, 2023: 3.
[5]Xiao Z ,Ali Y ,Xin W , et al. Sports Work Strategy of College Counselors Based on MySQL Database Big Data Analysis [J]. International Journal of Information Technology and Web Engineering (IJITWE), 2023, 18 (1): 1-14.
[6]徐新跃, 市容管理 “智泊南通”智慧停车微信小程序, 姜荣芳 主编, 南通年鉴, 江苏人民出版社, 2022, 245, 年鉴.
[7]Karthik G ,Debashish M ,Jagoda C , et al. Developing a MySQL Database for the Provenance of Black Tiger Prawns (Penaeus monodon). [J]. Foods (Basel, Switzerland), 2023, 12 (14):
[8]范路桥,高洁,段班祥. 基于Python+Flask+ECharts的国内热门旅游景点数据可视化系统 [J]. 现代电子技术, 2023, 46 (09): 126-130.
[9]平欣. 基于微信小程序的智能轮椅监控系统的设计与实现[D]. 盐城工学院, 2023.
[10]陈嘉发,黄宇靖. Flask框架在数据可视化的应用 [J]. 福建电脑, 2022, 38 (12): 44-48.
[11]来思琪,孔华锋. 基于Flask框架的新闻聚合系统设计与实现 [J]. 电脑编程技巧与维护, 2022, (11): 30-33.
[12]范路桥,高洁,段班祥,等. 基于Python+ECharts的手机销售数据可视化系统 [J]. 电脑编程技巧与维护, 2022, (06): 78-81.
[13]杜兴. 基于Flask框架Web版的扫脸登录系统研究与实现 [J]. 电子制作, 2022, 30 (12): 54-56+87.
[14]于学斗,柏晓钰. 基于Python的城市天气数据爬虫程序分析 [J]. 办公自动化, 2022, 27 (07): 10-13+9.
[15]张益珲. 微信小程序开发实战[M]. 电子工业出版社: 202001. 293.
[16]陈小兵,钱伟,郭旭,等. MySQL数据库攻击与安全防范技术研究[C]// 公安部第一研究所. 第六届全国网络安全等级保护技术大会论文集. 北京市公安局大兴分局网安大队;公安部第三研究所;北京市公安局大兴分局;, 2019: 5.
[17]梁勇,阳国贵. MySQL数据库的事务一致性研究[C]// 中国通信学会青年工作委员会. 2019通信理论与技术新发展——第十四届全国青年通信学术会议论文集. 国防科技大学计算机学院软件研究所;, 2019: 6.
致 谢
眨眼之间,大学生活就要结束了。在本文的最后,我要感谢我和蔼可亲的导师、团结有爱的同学的帮助和鼓励。此刻,我找不到感谢之词可以用来表达我最深切的感激之情。尤其感谢我的指导老师,在选题的过程中与我进行了深入的交流,在毕业设计期间给我提供了一些指导。四年的学习生活让我受益良多,老师们的丰富的学术知识、认真负责的学习态度让我受益匪浅。在此,我深深地感谢那些曾经给予我帮助和指导的老师!
我们的论文得益于许多学者的贡献,他们的研究成果为我们提供了宝贵的指导,使我们能够更好地完成这篇文章。感谢我的同学和朋友在我的写作以及排版过程中给予热情的帮助,才使得我比较顺利的完成了这篇论文。
感谢大学里遇见的朋友,你们在我这四年里留下无数的温暖和快乐,让我对这个校园多了一份留念。最后,感谢我的父母、辅导员、班长,以及室友们对我大学生活上的关心和理解,让我能保持乐观和追求我所热爱的。尽管我的能力有限,但我仍然尽力去完善这篇论文,并且诚挚地希望各位老师和学友能够给予宝贵的指导与意见!
2530

被折叠的 条评论
为什么被折叠?



