剑指Offer 36.二叉搜索树与双向链表
题目
输入一棵二叉搜索树,将该二叉搜索树转换成一个排序的循环双向链表。要求不能创建任何新的节点,只能调整树中节点指针的指向。
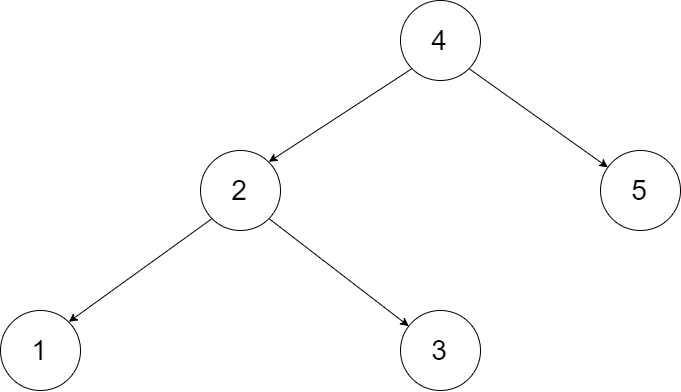
为了让您更好地理解问题,以下面的二叉搜索树为例:

我们希望将这个二叉搜索树转化为双向循环链表。链表中的每个节点都有一个前驱和后继指针。对于双向循环链表,第一个节点的前驱是最后一个节点,最后一个节点的后继是第一个节点。
下图展示了上面的二叉搜索树转化成的链表。“head” 表示指向链表中有最小元素的节点。

特别地,我们希望可以就地完成转换操作。当转化完成以后,树中节点的左指针需要指向前驱,树中节点的右指针需要指向后继。还需要返回链表中的第一个节点的指针。
解析
最开始我是使用的队列+中序遍历的方式来完成二叉搜索树转换为双向链表。这个方式虽然可以完成操作,但是时间复杂度很低,击败了16.68%的用户。哈哈哈。
后来,直接用中序遍历+pre指针+cur指针来完成转换。因为直接用遍历转换,所以效率比较高。击败了100%
解释一下,思路:
利用pre、cur指针。pre指针是记录前一个节点,cur指针是记录当前节点。head指针是记录头节点,即第一个节点,方便形成环状。
还是利用中序遍历。在操作的时候分两种情况:
pre为null,则表示cur指针指向的是第一个节点,此时就应该将head指针指向第一个节点,记录下来。pre不为null,则表示有前驱节点,直接按照双向链表规则,确定前驱和后继指针。然后将pre=cur,确定下一个前驱节点。
最佳理解为:画图。哈哈哈
解答
/*
// Definition for a Node.
class Node {
public int val;
public Node left;
public Node right;
public Node() {}
public Node(int _val) {
val = _val;
}
public Node(int _val,Node _left,Node _right) {
val = _val;
left = _left;
right = _right;
}
};
*/
class Solution {
Node pre, head;
public Node treeToDoublyList(Node root) {
if(root==null)return null;
dfs(root);
head.left = pre;
pre.right = head;
return head;
}
public void dfs(Node cur){
if(cur == null) return;
dfs(cur.left);
if(pre!=null){
pre.right = cur;
}else{
head = cur;
}
cur.left = pre;
pre = cur;
dfs(cur.right);
}
}

6166

被折叠的 条评论
为什么被折叠?



