异常检测可以作为异常值分析的一项统计任务来处理。但是如果我们开发一个机器学习模型,它可以像往常一样自动化,可以节省很多时间。
异常检测有很多用例。信用卡欺诈检测、故障机器检测或基于异常特征的硬件系统检测、基于医疗记录的疾病检测都是很好的例子。还有更多的用例。异常检测的应用只会越来越多。
在本文中,我将解释在Python中从头开始开发异常检测算法的过程。
公式和过程
与我之前解释过的其他机器学习算法相比,这要简单得多。该算法将使用均值和方差来计算每个训练数据的概率。
如果一个训练实例的概率很高,这是正常的。如果某个训练实例的概率很低,那就是一个异常的例子。对于不同的训练集,高概率和低概率的定义是不同的。我们以后再讨论。
如果我要解释异常检测的工作过程,这很简单。
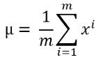
- 使用以下公式计算平均值:
这里m是数据集的长度或训练数据的数量,而$x^i$是一个单独的训练例子。如果你有多个训练特征,大多数情况下都需要计算每个特征能的平均值。
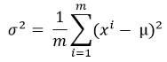
- 使用以下公式计算方差:
这里,mu是上一步计算的平均值。
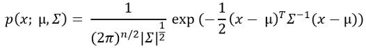
- 现在,用这个概率公式计算每个训练例子的概率。
不要被这个公式中的求和符号弄糊涂了!这实际上是Sigma代表方差。
稍后我们将实现该算法时,你将看到它的样子。
- 我们现在需要找到概率的临界值。正如我前面提到的,如果一个训练例子的概率很低,那就是一个异常的例子。
低概率有多大?
这没有普遍的限制。我们需要为我们的训练数据集找出这个。
我们从步骤3中得到的输出中获取一系列概率值。对于每个概率,通过阈值的设置得到数据是否异常
然后计算一系列概率的精确度、召回率和f1分数。
精度可使用以下公式计算
召回率的计算公式如下:
Python异常检测:检测概率与虚警概率

本文介绍了如何使用Python从头开始开发异常检测算法,通过计算概率和方差来识别异常实例。详细解释了概率计算公式,并通过计算精确度、召回率和F1分数来确定阈值。最后,通过示例数据集展示了如何找出并标记异常数据。
最低0.47元/天 解锁文章

被折叠的 条评论
为什么被折叠?



