
上周一直在忙报告的事情,专栏更新的速度变慢了。大家看我的文章可能会觉得不连贯,比如说第十三课我没有写。必要着急,回头会补上的。最近事情比较多,这周我会抓紧时间尽快把文章更新上来的。
说真的,随着考试时间越发的临近,我的内心越发的不能保持平静了。谁把我时间偷走了,快还给我!

我们现在已经讲到第五章矩阵分析了,实际上这一章的核心思想就是用函数的思维来分析矩阵。同我们学习微积分知识引入函数概念一样,我面先要从数列谈起。

同微积分中我们排一列数类似的,我们现在只是排一列矩阵,下面我们引入定义:

通过这个定义我们就定义了矩阵序列的收敛性。

研究矩阵序列收敛性的常用方法,是用矩阵的范数理论来研究矩阵序列的极限。下面我们具体介绍一下定理2:

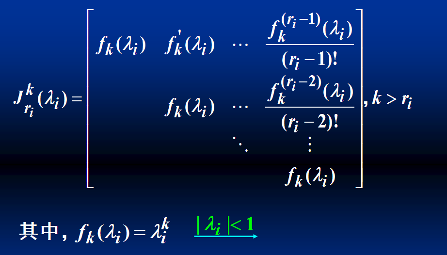
在矩阵序列中,最常见的是由一个方阵的幂构成的序列,关于这样的矩阵序列有如下概念和收敛定理:

比如:

证明如下:

关于Jordan块和Jordan的详细介绍见第四课:特征值与特征向量

归纳规律,我们有



同微积分中的幂级数的概念一样,我们引入矩阵级数

由定义知道,矩阵级数收敛的充要条件是mn个数项级数

利用矩阵范数,可以将判定矩阵级数是否绝对收敛化为判断一个正项级数是否收敛的问题,下面我们介绍一下该定理:



注1:(大收敛,小收敛)1范数收敛,那么其他矩阵范数肯定也收敛。
注2:任意矩阵范数收敛,那么肯定也包含1范数,故1范数收敛。
与数项级数类似,若矩阵级数绝对收敛,则它一定收敛,并且任意交换各项在和式中的次序所得的新的级数仍然收敛,和也不变。
下面开始建立矩阵幂级数理论

该定理让人忍不住联想到在微积分中有如下级数公式:

下面给出证明:

注1 :定理3说的是A若是收敛矩阵,那么他的谱半径小于1

注1:假设E-A不可逆,那么E-A有0特征值,A的特征值为1。而A的谱半径小于1,矛盾,故E-A可逆
注2:A的谱半径小于1,由定理3可知A为收敛矩阵。那么

本文介绍了矩阵序列的收敛性定义及其研究方法,特别关注了由方阵幂构成的序列的收敛定理,涉及矩阵级数的定义、判定准则,以及矩阵幂级数与微积分级数的联系。还提及了谱半径与矩阵收敛的关系。
1554

被折叠的 条评论
为什么被折叠?



