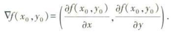
在介绍梯度,旋度,与散度这些东西之前,我们首先引入一个东西:nabla算符

(也叫做向量微分算子),其中

。
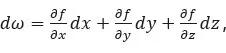
这个东西到底有什么用呢,继续向下看,你就会明白我把这个东西放在最前面的用意。梯度:在介绍梯度之前,就不得不说方向向量的事情。首先假设我们都是纸片人,在爬一座纸片山

显然我们向上爬的时候,每一处地方,山的陡峭程度是不同的。我们直观的感受就是爬山的时候费不费力。在二维中,这个陡峭程度我们把它叫做导数,导数可以表示函数曲线上的切线斜率。除了切线的斜率,导数还表示函数在该点的变化率。

回到现实,我们开始爬这座三维的山,不同于二维之中,我们只能上下爬山,在三维之中,当我们站在一个点的时候,我们可以向四周随意行动(注意安全)。这也就意味着在这一点有着无数的方向,这么多方向,我们如何才能把他们表示出来呢?这时我们有了一个好办法,就像在一个坐标系中的向量可以用x,y轴上的单位向量表示一样,我们可以建立空间直角坐标系,把山放进坐标系之中,假设山坡可以表示为

,和之前的思想类似,我们同样可以把不同方向的斜率用x,y方向上的变化表示。而y方向的斜率可以对y偏微分得到.,x方向的斜率可以对x偏微分得到。这里我们直接给出这个结论:

设

。我们可以把之前这个式子写成两个向量点积的形式,

,
一点处的方向导数有很多,但是如果我们要找一个最大,那么

。
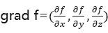
这时候当A和I重合时,方向导数最大,也就意味着这时,在这一点,山是最陡峭的。这时我们把A命名为梯度,记作

,

这样,我们就知道了梯度的意义,从字面来看,这两个字还是比较符合它的实际意义的。下次你再爬山的时候,也许你可以建立山的函数,求出自己所在位置的梯度,从而规划一条最短的路哦。
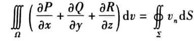
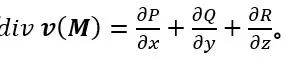
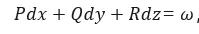
通量与散度:之前,我们用房顶为曲面的房子讲了进入房子里面的雨水的量,也就是

,现在我们可以给这个东西取一个名字了,数学家们一拍脑袋,有了这个东西我们就把它叫做通量。显然,通量描述的是进入房子的整体的水的量,而整体是部分的加和。就像之前我们用过的长方体气球,从水龙头中进来的水等于从气球周围流出的水,这样我们便得到了高斯公式:

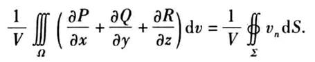
现在,用闭区域的体积V除上式两端,得

左端表示单位时间内单位体积产生的水的平均值,显然在这个气球里边一定会有一个点单位时间内单位体积产生的水等于这个平均值,我们让这个点取为M(x,y,z),那么左边的式子可以表示为:

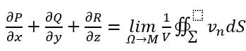
我们把这个区域不断地接近M点,也就是对上边的式子取极限得到:

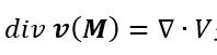
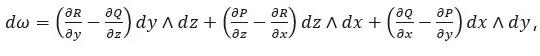
我们把上式左端叫做场v在M点的通量密度或散度,记作

即

设V=(P,Q,R),把散度写成向量点乘的形式,

显然我们又一次看到了

这个东西。
散度的几何意义:
散度散度,从名字上来看这个,这个量是用来描述“散开的程度”,但是根据我们之前的分析,散度这个量表示的是无穷小曲面处的通量。散度的大小直接与在这一个小曲面是否有通量有关。想像一个朝四面八方喷水的水水龙头。在这个水龙头上套一个橡皮圈。

显然,橡皮圈会被水撑大,这一点散度就不为0,如果我们把这个橡皮圈拿出这个中心,就好像我们划船一样,这个橡皮圈会被水流冲走,这样这个点的散度就为0了,所以说散度并不是描述“散开的程度”的一个量。
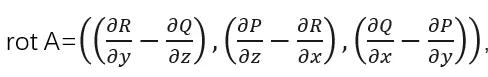
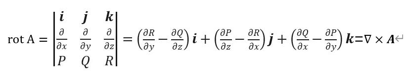
旋度:环流量、旋度与通量、散度是比较类似的。我们把单位时间内绕着一条曲线的量叫做环流量。和之前散度的定义类似,我们都是从宏观到微观,逐渐的把这个曲线缩小,缩小到围绕着一个点附近很小的区域里的平均环流量,这样我们就得出了在一个点的旋度:

,之前的散度可以写成

的形式,而我们的旋度又和散度十分相似,而与点乘十分相似的是什么呢?没错就是叉乘,我们可以把

这个形式写成叉乘的形式

总结:
一个矢量一般来说有3种“乘法”:
1、 矢量A和一个标量a相乘:aA
2、 矢量A和一个矢量B进行点乘:A·B
3、 矢量A和一个矢量B进行叉乘
同样,算子也有三种运算
1、 ▽算子作用在一个标量函数z上:▽z,这个表示的是z的梯度
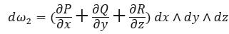
2、 ▽算子跟一个矢量函数E点乘:▽·E。表示E的散度
3、 3、▽算子跟一个矢量函数E叉乘:▽×E。表示E的旋度
了解了这些之后,你就可以去看被誉为史上最美方程的的麦克斯韦方程组了。
还有一件事
对于格林公式,高斯公式,stokes公式,如果学习了外微分的话,这些公式其实表示的是一个东西
在这里,我仅抛砖引玉,想要学习的可以阅读龚升老师的《微积分五讲》
假设满足

,这两条规则的微分乘积称为微分的外乘积,由微分的外乘积乘上函数组成的微分形式,称为外微分形式

为一次外微分形式

为二次外微分形式

为三次外微分形式
(A,B,C,D,P,Q,R,H)都是x,y,z的函数
对于任意两个外微分形式

也可以定义外微分

则


外微分的外乘积满足分配律和结合律,如果

是任意的三个外积分形式,则

对于外微分形式

,可以定义外微分算子
对于零次外微分形式,就是普通的全微分算子
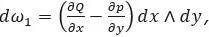
对于一次外微分形式,

,定义

,即对P,Q,R进行外微分(全微分),然后进行外乘积,

对于二次外微分形式:

同样,定义

,代入dA,dB,dC利用外乘积的性质得到

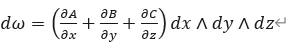
对于三次外积分形式

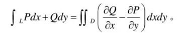
格林公式:

记,

,

是一次外微分形式,
于是

对两边同时积分,得到格林公式
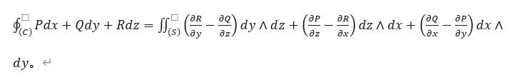
Stokes公式:


,看作是一次外微分形式,于是

,对两边同时积分得到stokes公式。
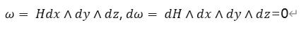
对于高斯公式

将

看作二次外微分形式,

,积分得到高斯公式
先看零次外微分形式

,外微分形式为

,而f的梯度为

,梯度与零次型的外微分相对应
同理,旋度与一次型外微分相对应,散度与二次型外微分相对应
牛顿-莱布尼兹法则建立了直线段与边界的关系
格林公式建立了平面区域与其边界的关系
Stokes公式建立了空间曲面与其边界的关系
高斯公式建立了空间中区域与其边界的关系
这四个公式其实说的都是一个内容,都是建立了围成区域与边界之间的关系
参考书目:
工科数学分析基础 下册-马知恩等主编-高等教育出版社-1998
《微积分五讲》龚升
最美的公式:你也能懂的麦克斯韦方程组(微分篇)长尾科技
本文介绍了梯度、旋度和散度的概念,通过三维空间的比喻帮助理解。梯度表示函数最陡峭方向及其斜率,散度描述的是场中某点产生或消失的量,而旋度则表示矢量场的旋转效应。文章通过数学表达式和几何解释,深入浅出地阐述了这些概念,并提到了它们在麦克斯韦方程组中的重要性。
3464

被折叠的 条评论
为什么被折叠?



