问题描述:
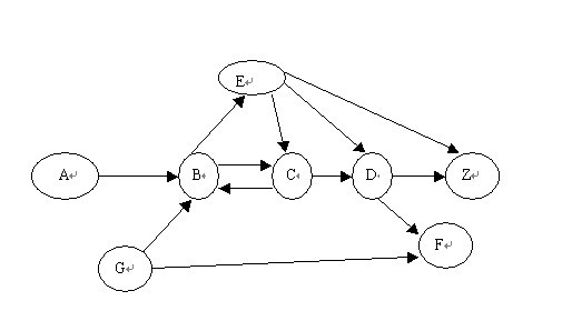
见下图,要求寻找A至Z的所有路径。
已知:两点之间的直接路径。例如:A-->B B-->C B-->E。。。。

解:
定义一个基本路径模型,属性:起始点和结束点。A-->B可抽象成new Road("A",'B');
package alogrim;
public class Road implements Cloneable {
public Road(String begin,String end) {
this.begin = begin;
this.end = end;
}
private String begin;
private String end;
public String toString() {
return begin + "->" + end;
}
public String getBegin() {
return begin;
}
public void setBegin(String begin) {
this.begin = begin;
}
public String getEnd() {
return end;
}
public void setEnd(String end) {
this.end = end;
}
public boolean equals(Object obj) {
Road r = (Road)obj;
if(this.getBegin().equals(r.getBegin()) && this.getEnd().equals(r.getEnd())) {
return true;
}
return false;
}
public Object clone() {
try {
return super.clone();
} catch (CloneNotSupportedException e) {
// TODO Auto-generated catch block
e.printStackTrace();
}
return null;
}
}
核心算法分两步:
1 过滤掉无用的路径。例如上图:G-->B G-->F D-->F都属于无效路径。
第一步:获取无效开始节点和无效结束点
/**
* 过滤掉无用的节点
* 获取到无效开始节点和无效结束点
* @param all 所有节点
* @return
*/
public Set<String> filterInvalidNode(Set<String> all, List<Road> roads,
Set<String> begins, Set<String> ends) {
Set<String> result = new HashSet<String>();
boolean isBegin = true;
boolean isEnd = true;
for (String str : all) {
if (!existEnd(str, roads)) { // 没有以此节点结尾的路径,则证明此节点为无用节点
isBegin = false;
begins.add(str);
// 删除以此节点为开始的路径
// this.deleteBegin(str, roads);
} else if (!existBegin(str, roads)) {// 没有以此节点开头的路径,则证明此节点为无用节点
isEnd = false;
ends.add(str);
// this.deleteEnd(str, roads);
} else {
result.add(str); // 有用的节点
}
}
if (isBegin == true && isEnd == true) {
return result;
} else {
return filterInvalidNode(result, roads, begins, ends);
}
}
第二步:删除无效路径
/**
* 获取到需要删除的路径
*
* @param begins
* ---无效起始节点
* @param ends
* ---无效终结点
* @param roads
*/
public Set<Road> deleteRoad(Set<String> begins, Set<String> ends,
List<Road> roads) {
Set<Road> set = new HashSet<Road>();
for (String str : begins) {
for (Road r : roads) {
if (r.getBegin().equals(str)) {
set.add(r);
}
if (r.getEnd().equals(str)) {
set.add(r);
}
}
}
return set;
}
2 路径遍历,确保找到两点之间的所有可通过路径,需要确保每条基本路径都被访问过。本算法采用自上而下遍历方式。详细含义如下:
List<Road> roadList = null; //已知的路径
List<String> backList = new ArrayList<String>(); //存放已经访问过的节点
Set<String> resultSet = new HashSet<String>(); //目的路径--访问结果
Set<Road> cirList = new HashSet<Road>(); //回路
/**
* 路径遍历的核心算法
* @param start
* ---需要寻找的起始节点。本案例为A
* @param destination
* ---需要寻找的终结点。本案例为Z
*/
public void getAllRoad(String start, String destination) {
backList.add(start);
for (int z = 0; z < roadList.size(); z++) {
if (roadList.get(z).getBegin().equals(start)) { //寻找找以start开始的路径
if (roadList.get(z).getEnd().equals(destination)) { //如果以destination结尾,则为一条有效路径
resultSet.add(backList.toString().substring(0, backList.toString().lastIndexOf("]")) + "," + destination + "]");
continue;
}
if (!backList.contains(roadList.get(z).getEnd())) {//此节点仍未遍历,则继续迭代
getAllRoad(roadList.get(z).getEnd(), destination);
} else {//證明有回路
cirList.add(roadList.get(z));
//System.out.println("wwww");
}
}
}
backList.remove(start);
}
至此已经完成‘两点之间所有路径’的核心算法。详细代码见附件,main方法在MapVisit里
573

被折叠的 条评论
为什么被折叠?



