摘 要
运城学院本科生导师制学生管理系统采用Spring Boot框架进行开发,旨在提升学生管理和导师辅导效率。本系统通过构建集成化的学生信息管理、辅导记录、学业成绩管理及数据分析功能,方便管理员、学生与导师之间的信息交流和学业辅导管理。管理员可以对学生信息进行增、删、改、查操作,管理导师与学生的对应关系,并对学业成绩和辅导记录进行全面监控和分析。学生可以查看个人学业成绩,获取导师辅导记录,并根据自身发展需求进行反馈。导师则能够高效管理所辅导学生的学习情况,及时进行学业指导和成绩评定。此外,系统还提供数据分析功能,帮助各方更好地了解学生学业进展、辅导效果及成绩变化,为个性化辅导和资源分配提供数据支持。
系统采用Spring Boot框架搭建,具备高效的后端处理能力和良好的可扩展性。前端界面简洁直观,操作流畅,能够满足用户对信息管理、数据分析和实时反馈的需求。该系统不仅提高了学生学业管理的自动化和精确度,也优化了导师与学生之间的沟通和互动,提升了整个学院的教学管理水平。
关键词:运城学院;导师制;学生管理系统;Spring Boot;数据分析;学业成绩
Abstract
The undergraduate mentorship student management system of Yuncheng College is developed using the Spring Boot framework, aiming to improve the efficiency of student management and mentorship. This system facilitates information exchange and academic tutoring management among administrators, students, and mentors by building integrated student information management, tutoring records, academic performance management, and data analysis functions. Administrators can perform operations such as adding, deleting, modifying, and querying student information, manage the correspondence between mentors and students, and comprehensively monitor and analyze academic performance and tutoring records. Students can view their personal academic performance, obtain guidance records from their mentors, and provide feedback based on their own development needs. Mentors can efficiently manage the learning situation of the students they are tutoring, provide timely academic guidance and grade evaluation. In addition, the system also provides data analysis functions to help all parties better understand students' academic progress, tutoring effectiveness, and changes in grades, providing data support for personalized tutoring and resource allocation.
The system is built using the Spring Boot framework, which has efficient backend processing capabilities and good scalability. The front-end interface is simple and intuitive, with smooth operation, which can meet users' needs for information management, data analysis, and real-time feedback. This system not only improves the automation and accuracy of student academic management, but also optimizes communication and interaction between mentors and students, enhancing the teaching management level of the entire college.
Keywords:Yuncheng College; Mentorship system; Student management system; Spring Boot; Data analysis; academic achievement
目 录
1 前 言
1.1研究背景
运城学院本科生导师制学生管理系统的建立源于对提升教育质量和促进学生个性化发展的追求。随着高等教育规模的不断扩大,传统的管理模式在面对日益增长的学生群体时逐渐暴露出效率低下和资源分配不均的问题。为了更好地满足学生多样化的学习需求,加强导师与学生之间的沟通联系,开发一套专门针对本科生导师制的管理系统显得至关重要。
系统旨在通过信息化手段优化导师指导过程,确保每位学生都能得到充分的关注和支持。借助此系统,管理者可以高效地进行角色权限设置、信息维护及数据分析等工作,保障学生信息的安全性和准确性。同时,学生能够便捷地访问个人学业情况,主动参与到自我管理和规划中来,而导师则能依据系统提供的详实数据对学生进行全面评估,制定出更加科学合理的辅导方案。整体上,这套系统不仅提升了管理工作的透明度和效率,也为构建和谐师生关系提供了有力的技术支撑。
1.2研究意义
运城学院本科生导师制学生管理系统的研究意义在于促进学院教育管理模式的优化和信息化建设。通过构建一个高效、规范化的管理平台,能够有效地整合和处理学生与导师之间的各类数据,提升学业辅导的个性化和精准性。系统不仅能够减少人工操作的繁琐,提高管理效率,还能确保学生信息、辅导记录以及学业成绩的实时更新与准确存档,避免了传统管理模式中的信息滞后和误差。
系统的设计还注重导师与学生之间的互动与沟通,使导师能够更好地了解学生的学业状态和需求,提供个性化的学业建议和指导,进一步增强导师制模式的实际效果。通过数据的系统化管理,学院可以更清晰地掌握学生的学术表现,进而为教育决策提供有力的数据支持。
对于学生而言,信息化管理平台使其能够更加方便地查询个人学业情况,及时了解辅导反馈,促进自我学习和进步。通过科学的管理手段,学院能够推动教学质量的提升,促进学生综合素质的提高,从而推动教育改革的深入发展。运城学院本科生导师制学生管理系统的研究,不仅具备理论意义,还有着重要的实践价值,为高效的学业管理和教育创新提供了有力的技术支撑
1.3国内外研究现状
1.3.1国内研究现状
国内在学生管理系统方面的研究逐渐向信息化、数字化和智能化发展。随着技术的进步,高校越来越重视管理系统的现代化,尤其是在导师制管理系统的设计和应用方面。陈国良等人提出的“导师制”管理系统构建研究,针对高职院校导师制的特点,探索了如何通过信息系统实现导师与学生的高效管理[1]。该研究为运城学院本科生导师制学生管理系统提供了理论支持,强调了通过数字化手段提高学生学业管理和导师辅导效率。借鉴该文献中的管理模式,可以有效地提升本课题系统的功能设计与实现方案,确保系统能够满足导师与学生之间的日常互动需求。
徐栋的研究着重于基于B/S架构的高校毕业设计管理系统的设计与实现[2]。该系统通过B/S架构解决了毕业设计管理中的数据处理和系统维护问题,具有较强的可扩展性和便捷性。对于运城学院本科生导师制学生管理系统而言,采用B/S架构可以实现更加高效的数据交换和信息处理,提升系统的整体性能与易用性。借鉴徐栋的设计思路,本课题在技术选型上明确了B/S架构的优势,并确保系统能够适应未来可能的业务需求变化。
辛翠平提出的基于Highcharts的高职校学生成绩管理系统设计,运用了图表工具来直观展示学生成绩的变化趋势[3]。这一设计思路对于本课题具有重要参考价值,能够通过图形化界面展示学生学业成绩变化,提升导师和学生在成绩反馈过程中的互动性和效率。通过引入类似的可视化工具,可以帮助运城学院本科生导师制学生管理系统更加直观地呈现学生的学习进展,便于导师及时调整教学方案。
叶小波提出的基于云计算的高校学生信息分类管理系统设计,通过云计算技术实现了学生信息的集中管理和快速查询[4]。运城学院本科生导师制学生管理系统可以借鉴云计算的优势,将学生信息存储和管理集中化,确保数据的高效存取与安全性。云计算为系统提供了良好的可扩展性和灵活性,可以适应日后系统功能的不断扩展和数据量的增加。
常见和许颖的研究围绕基于大数据的高校学生信息化管理系统设计展开,探讨了如何通过大数据技术提升学生信息管理的智能化水平[5]。虽然本课题的主要技术选型不包括大数据技术,但常见和许颖的研究为系统的未来扩展提供了理论依据。随着系统功能的发展,基于大数据的分析与应用可能成为未来提升系统智能化水平的关键,为运城学院本科生导师制学生管理系统提供了进一步发展的方向。
韦彩仁和张锐杭的研究基于Vue 3和Spring Boot框架,设计并实现了学生信息管理系统[6]。Vue 3和Spring Boot的结合为系统提供了良好的前后端分离架构,具有高效、稳定的特性。该研究的技术实现对本课题的技术选型产生了直接影响,采用Vue 3和Spring Boot能够使系统具备良好的扩展性和稳定性,提升了开发效率和用户体验。借鉴韦彩仁等人的技术方案,本课题在系统实现过程中充分考虑了前后端分离和技术栈的合理选择,确保了系统能够满足运城学院的管理需求。
综上所述,国内相关文献为本课题的研究与设计提供了有力的理论支持和技术参考,进一步丰富了系统的设计思路和实现路径。通过借鉴现有的研究成果,本课题能够更好地应对导师制管理中遇到的实际问题,并为未来的系统优化和扩展奠定基础。
1.3.2国外研究现状
国外在学生管理系统方面的研究也日益重视信息化、智能化的发展,尤其是在提高学生满意度、教学管理效率以及系统的可扩展性等方面,许多研究为本课题提供了重要的参考和借鉴。
Li和Ni的研究探讨了学习管理系统如何影响学生的语言学习满意度与成绩[7]。该研究强调了学习管理系统的用户体验和个性化服务对学生学习效果的影响,这对于运城学院本科生导师制学生管理系统具有重要的启示作用。通过优化系统界面的设计和交互逻辑,可以提升学生的使用体验和满意度,进而促进导师与学生之间更高效的学业管理。借鉴该文献的研究成果,本课题可以更好地关注用户需求,特别是在学生个性化需求的处理上,增强系统的实用性和互动性。
Chen的研究讨论了基于云计算平台构建的大学生信息管理系统[8]。云计算的应用能够有效地集中管理学生信息,提高数据的处理速度与存储安全性。对于运城学院本科生导师制学生管理系统来说,云计算技术能够确保学生信息的高效存取和系统的稳定运行。此外,云计算的可扩展性为系统未来的升级与扩展提供了保障。借鉴该研究的思路,本课题在系统架构设计时选择了云计算平台作为基础架构,以便更好地应对未来可能增加的用户需求和数据量。
Bin的研究介绍了基于云计算的高等院校学生信息管理系统的设计与实现[9]。该系统通过云计算技术实现了学生数据的集中管理和高效查询,为高校信息化管理提供了新的解决方案。对于运城学院本科生导师制学生管理系统,云计算同样能够提供集中化的管理平台,确保数据的安全性和高效性。借鉴Bin的研究成果,可以帮助本课题进一步优化系统架构,提高数据处理的效率,并保障系统的灵活性和扩展性。
综上所述,国外的研究成果为本课题的设计与实现提供了重要的技术和理论支持,尤其是在系统架构设计、云计算平台应用以及用户体验优化方面。这些研究为运城学院本科生导师制学生管理系统的技术选型和功能实现提供了有益的借鉴,确保了系统的高效性、稳定性和可扩展性,推动了系统的创新发展。
1.4论文结构与章节安排
本文共分为七章,章节内容安排如下:
第一章:前言,主要介绍运城学院本科生导师制学生管理系统领域研究的背景和意义,概述研究的现状。
第二章:关键技术,主要探讨和说明实现运城学院本科生导师制学生管理系统的关键技术。
第三章:系统分析,主要从运城学院本科生导师制学生管理系统的可行性、功能、性能等方面进行分析,为后续系统设计提供理论支持。
第四章:系统设计,主要对运城学院本科生导师制学生管理系统功能模块、数据库进行功能设计。
第五章:系统实现,主要介绍了运城学院本科生导师制学生管理系统各个用户的功能、系统界面的实现。
第六章:系统测试,主要对运城学院本科生导师制学生管理系统进行测试,验证功能完整性、稳定性和安全性,评估系统在实际运行中的性能表现。
第七章:结束语。总结全文研究内容,提出对运城学院本科生导师制学生管理系统领域未来发展的展望和建议,指出研究的不足和可优化之处,为相关领域的进一步探索提供参考。
2 关键技术
2.1Java
Java是一种跨平台的编程语言,广泛用于开发各种类型的应用程序,包括Web应用、移动应用和大型软件系统。在运城学院本科生导师制学生管理系统中,Java通常用于后端开发,提供强大的处理能力和稳定性。同时Java是一种面向对象的编程语言,支持封装、继承和多态等特性,使代码更易于维护和重用。还拥有丰富的标准库和第三方框架,如Spring、Hibernate等,可以大大提高开发效率。
2.2B/S模式
B/S模式(Browser/Server模式)是一种网络应用架构,其中浏览器(Browser)作为客户端与服务器(Server)进行通信 。这种模式使用户可以通过普通的Web浏览器访问应用程序,而无需安装额外的客户端软件。用户通过浏览器发送请求,服务器接收并处理这些请求,然后将结果返回给浏览器显示给用户。在运城学院本科生导师制学生管理系统中,Spring Boot结合B/S模式的优势包括跨平台的兼容性,用户可以在不同操作系统和设备上访问应用程序 。维护和部署也更为简便,并且能够实现较高的安全性,因为服务器端控制了应用程序和数据的访问权限。
2.3Spring Boot框架
Spring Boot是一个用于构建微服务的Java框架,简化了Spring应用程序的开发和部署过程 。Spring Boot通过自动配置和约定优于配置的理念,简化了Spring应用程序的开发过程,使开发者可以更快地构建和部署应用程序。拥有丰富的生态系统,如Spring Cloud、Spring Security等,可以满足各种企业级应用的需求。在运城学院本科生导师制学生管理系统中,Spring Boot可以帮助开发团队快速搭建后端服务,并实现各种功能模块的集成和管理。
2.4MySQL
MySQL是一种流行的开源关系型数据库管理系统,用于存储和管理数据。在运城学院本科生导师制学生管理系统中,MySQL可以用于数据存储、数据查询和数据管理等方面,用户可以免费使用和修改源代码,为平台提供可靠和高性能的数据库支持。MySQL支持多种存储引擎,如InnoDB和MyISAM,可以根据不同的应用场景选择合适的存储引擎,提高性能;提供了多种数据安全机制,如用户权限管理、数据加密和备份恢复等,保证数据的安全性。
3 系统分析
3.1可行性分析
3.1.1技术可行性
从技术角度来看,Spring Boot作为一种轻量级、快速构建的Java框架,能够提高开发效率,降低系统的复杂程度,易于维护和升级。MySQL作为关系型数据库,能够支持平台数据的存储与管理,保障系统的稳定性和高效性。因此,本系统具有技术可行性。
3.1.2经济可行性
从经济角度来看,基于Spring Boot搭建运城学院本科生导师制学生管理系统的投入成本相对较低,因为Spring Boot本身是一个免费、开源的框架,可以节省开发成本。使用MySQL作为数据库也具有成本效益高的优势。因此,本系统具有经济可行性。
3.1.3操作可行性
从操作角度来看,Spring Boot的简洁性和高度集成的特点使得系统的部署和运行相对简单,容易维护和管理的同时,能够提供一个界面直观友好和操作简单高效的系统,能满足用户的各项要求,方便用户快速上手使用。因此,本系统具有操作可行性。
3.1.4运行可行性
从运行角度来看,正因为本系统是在服务器的基础上开发的,系统开发成功以后,用户无需导航指导便可自己上手进行操作。系统一经开发测试后,在计算机移动客户端能上网的情况下,只需在浏览器里完成所有可用操作,也无需配置复杂的使用和运行环境,只需一个网址便可进入系统。因此,本系统具有运行可行性。
综合来看,运城学院本科生导师制学生管理系统在经济、技术、操作、运行等方面都具有较高的可行性,能够为用户提供便捷的服务。
3.2功能需求分析
本运城学院本科生导师制学生管理系统设计分为三个主要用户角色:学生用户、导师用户和管理员。以下是对每个角色的功能需求的详细描述。
- 学生用户功能模块
数据分析:学生可以查看与自己学业相关的数据分析,如成绩趋势、辅导反馈等。这帮助学生了解自己的学习状态及进展。
学生信息管理:学生可以查看个人信息。确保个人资料的准确性。
辅导记录管理:学生能够查看与导师的辅导记录,了解每次辅导的内容及学业进展。同时,可以给辅导提供反馈,帮助导师改进辅导方案。
学业成绩管理:学生可以随时查看自己的成绩单和历史成绩,便于跟踪自己的学术表现和目标达成情况。
(2)导师用户功能模块
数据分析:导师可以通过数据分析,了解所辅导学生的学业情况、成绩变化等。这有助于导师及时调整辅导策略,帮助学生更好地成长。
学生信息管理:导师可以查看和添加学生的个人信息和学业资料,帮助其了解每个学生的背景和需求,提供个性化辅导。
辅导记录管理:导师能够记录和查看与学生的辅导记录,包括辅导内容、学生反馈、成绩变化等。这是学生成长的重要档案。
学业成绩管理:导师可以跟踪学生的学业成绩,并及时为学生提供建议或帮助,确保学生在学术上获得持续进步。
(3)管理员功能模块
数据分析:管理员可以通过系统收集的数据对学生、导师以及辅导情况进行全面分析。这有助于优化教学管理和学业辅导资源配置。
角色管理:管理员有权限创建、修改和删除不同角色的用户,如导师和学生。可以分配导师与学生的对应关系,确保每个学生都有相应的学业导师。
学生信息管理:管理员可以查看、修改和维护学生的基本信息,包括个人资料、学号、班级、学业成绩等。
辅导记录管理:管理员可以监督和记录导师与学生之间的辅导情况,包括每次辅导的时间、内容及成果。通过记录,可以对学生的学业进展和辅导效果进行评估。
学业成绩管理:管理员可以查看和编辑学生的学业成绩,帮助跟踪学生的学术表现。成绩信息可用于评估学生的学业发展和辅导成效。
学生用户角色用例如图3-1所示。

图3-1学生用户用例图
导师用户角色用例如3-2所示。

图3-2 导师用户用例图
管理员角色用例如3-3所示。

图3-3 管理人员用例图
3.3系统非功能性需求分析
非功能性分析是系统设计的重要组成部分,其目标是保证系统在各种负载条件下的高效、稳定和可靠。对于运城学院本科生导师制学生管理系统的设计与实现,系统非功能性需求分析表如表3-1所示。
表3-1 非功能性需求表
| 项目 | 内容 |
| 性能 | 系统应支持至少500个并发用户访问,响应时间不超过2秒 |
| 安全性 | 用户数据需加密,系统应具备防攻击机制(如SQL注入、XSS防护) |
| 可用性 | 系统年可用性应达到99.5%,保证大部分时间能够正常访问 |
| 可维护性 | 代码易于阅读与修改,文档齐全,便于后期维护和功能扩展 |
| 扩展性 | 系统架构应支持后续功能的扩展,易于添加新模块或功能 |
| 兼容性 | 系统应支持主流浏览器(如Chrome、Firefox、Safari) |
| 用户体验 | 界面友好、简洁,操作应当简便,避免用户困惑 |
3.4系统流程分析
3.4.1程序操作流程
用户访问平台网站,可以选择进行注册或登录操作。注册成功后,用户可以使用注册的账号登录平台。登录后的用户可以进入系统功能界面,使用自己权限内的功能操作。程序操作流程图如图3-4所示。

图3-4 程序操作流程图
3.4.2登录流程
用户访问平台的网站,进入登录页面页面,入其用户名和密码,后端服务接收登录请求,验证用户提供的用户名和密码是否匹配数据库中存储的信息,验证通过即可登录成功。登录流程图如图3-5所示。

图3-5 登录流程图
3.4.3注册流程
未有账号的用户可进入注册界面进行注册操作,填写注册表格,包括用户名、密码、电子邮件等必要信息。后台系统验证并保存用户提交的信息。分配唯一用户标识符。注册成功后,用户可以使用账号密码进行登录。用户注册流程图如图3-6所示。

图3-6 注册流程图
4 系统设计
4.1系统架构设计
本项目采用B/S架构,遵循MVC设计思想,采用前后端分离的方式进行架构搭建。系统主要由表示层、控制层、业务逻辑层和数据层构成,系统架构如图4-1所示。

图4-1 系统整体架构图
系统使用Spring Boot与Vue框架进行搭建,架构分为视图层、控制层、业务逻辑层、数据持久层和数据库服务器。视图层利用Vue框架和Element UI界面渲染工具构建前端页面,前端页面通过HTTP协议发送请求至控制层。控制层与业务逻辑层通过Spring Boot框架搭建,控制层接收前端请求,进行解析和数据校验,将数据传递至Service层进行业务逻辑处理。业务处理完成后,通过数据持久层访问数据库服务器,执行数据库操作,最终将结果返回至控制层,并传递至前端进行页面处理。
4.2系统功能模块设计
根据系统分析,运城学院本科生导师制学生管理系统主要分为学生用户、导师用户和管理员三大模块。整个系统的功能模块设计如图4-2所示。

图4-2 系统功能模块图
4.3数据库设计
数据库设计是一种用于创建数据库结构的过程,通过需求分析确定数据类型和操作需求,并使用实体-关系图表达数据的实体、属性及其关系,形成概念模型 。在此基础上,将概念模型转化为特定数据库系统可识别的逻辑模型,确定表结构、字段、数据类型及约束关系。数据库设计通常分为概念设计、逻辑设计两个阶段。
4.3.1概念设计
概念设计作为数据库设计的关键环节,通过高层次的抽象描述系统中的数据结构和关系,明确系统的数据需求。通常采用E-R图来展现数据的实体、属性及关系,形成逻辑完整的模型,更加清晰地表达和传达设计意图。在该阶段,需要确定关键数据实体,定义属性并表达关系类型,为数据库的逻辑设计和物理设计奠定必要基础。以下是系统各个实体图和总体E-R图。
(1)管理员实体属性图如下图4-3所示

图4-3管理员实体属性图
(2) 学生用户实体属性如下图4-4所示

图4-4学生用户实体属性图
(3) 学生信息实体属性如下图4-5所示

图4-5学生信息实体属性图
(4) 辅导记录实体属性如下图4-6所示

图4-6辅导记录实体属性图
(5) 学生成绩实体属性如下图4-7所示

图4-7学生成绩实体属性图
(6)导师用户实体属性如下图4-8所示

图4-8导师用户实体属性图
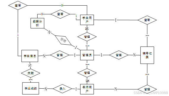
(6)运城学院本科生导师制学生管理系统总E-R图如下图4-9所示

图4-9运城学院本科生导师制学生管理系统总E-R图
4.3.2逻辑设计
逻辑设计是数据库设计中的关键环节,主要任务是将概念设计中的抽象模型转化为数据库管理系统可识别的结构,确定表结构、字段名称、数据类型、主键和外键等要素,从而构建数据的逻辑框架。逻辑设计明确了数据的存储方式和关联规则,维持数据一致性与完整性,并提升查询与管理的效率。以下是系统的数据库表设计。
表 4-1-academic_achievement(学业成绩)
| 编号 | 字段名 | 类型 | 长度 | 是否非空 | 是否主键 | 注释 |
| 1 | academic_achievement_id | int | 是 | 是 | 学业成绩ID | |
| 2 | student_users | int | 否 | 否 | 学生用户 | |
| 3 | student_name | varchar | 64 | 否 | 否 | 学生姓名 |
| 4 | class_name | varchar | 64 | 否 | 否 | 班级名称 |
| 5 | professional_type | varchar | 64 | 否 | 否 | 专业类型 |
| 6 | mentor_user | int | 否 | 否 | 导师用户 | |
| 7 | achievement_score | double | 否 | 否 | 成绩评分 | |
| 8 | scoring_level | varchar | 64 | 否 | 否 | 评分等级 |
| 9 | rating_date | date | 否 | 否 | 评分日期 | |
| 10 | rating_details | text | 65535 | 否 | 否 | 评分详情 |
| 11 | create_time | datetime | 是 | 否 | 创建时间 | |
| 12 | update_time | timestamp | 是 | 否 | 更新时间 | |
| 13 | source_table | varchar | 255 | 否 | 否 | 来源表 |
| 14 | source_id | int | 否 | 否 | 来源ID | |
| 15 | source_user_id | int | 否 | 否 | 来源用户 |
表 4-2-access_token(登陆访问时长)
| 编号 | 字段名 | 类型 | 长度 | 是否非空 | 是否主键 | 注释 |
| 1 | token_id | int | 是 | 是 | 临时访问牌ID | |
| 2 | token | varchar | 64 | 否 | 否 | 临时访问牌 |
| 3 | info | text | 65535 | 否 | 否 | 信息 |
| 4 | maxage | int | 是 | 否 | 最大寿命:默认2小时 | |
| 5 | create_time | timestamp | 是 | 否 | 创建时间 | |
| 6 | update_time | timestamp | 是 | 否 | 更新时间 | |
| 7 | user_id | int | 是 | 否 | 用户编号 |
表 4-3-auth(用户权限管理)
| 编号 | 字段名 | 类型 | 长度 | 是否非空 | 是否主键 | 注释 |
| 1 | auth_id | int | 是 | 是 | 授权ID | |
| 2 | user_group | varchar | 64 | 否 | 否 | 用户组 |
| 3 | mod_name | varchar | 64 | 否 | 否 | 模块名 |
| 4 | table_name | varchar | 64 | 否 | 否 | 表名 |
| 5 | page_title | varchar | 255 | 否 | 否 | 页面标题 |
| 6 | path | varchar | 255 | 否 | 否 | 路由路径 |
| 7 | parent | varchar | 64 | 否 | 否 | 父级菜单 |
| 8 | parent_sort | int | 是 | 否 | 父级菜单排序 | |
| 9 | position | varchar | 32 | 否 | 否 | 位置 |
| 10 | mode | varchar | 32 | 是 | 否 | 跳转方式 |
| 11 | add | tinyint | 是 | 否 | 是否可增加 | |
| 12 | del | tinyint | 是 | 否 | 是否可删除 | |
| 13 | set | tinyint | 是 | 否 | 是否可修改 | |
| 14 | get | tinyint | 是 | 否 | 是否可查看 | |
| 15 | field_add | text | 65535 | 否 | 否 | 添加字段 |
| 16 | field_set | text | 65535 | 否 | 否 | 修改字段 |
| 17 | field_get | text | 65535 | 否 | 否 | 查询字段 |
| 18 | table_nav_name | varchar | 500 | 否 | 否 | 跨表导航名称 |
| 19 | table_nav | varchar | 500 | 否 | 否 | 跨表导航 |
| 20 | option | text | 65535 | 否 | 否 | 配置 |
| 21 | create_time | timestamp | 是 | 否 | 创建时间 | |
| 22 | update_time | timestamp | 是 | 否 | 更新时间 |
表 4-4-coaching_records(辅导记录)
| 编号 | 字段名 | 类型 | 长度 | 是否非空 | 是否主键 | 注释 |
| 1 | coaching_records_id | int | 是 | 是 | 辅导记录ID | |
| 2 | student_users | int | 否 | 否 | 学生用户 | |
| 3 | student_name | varchar | 64 | 否 | 否 | 学生姓名 |
| 4 | class_name | varchar | 64 | 否 | 否 | 班级名称 |
| 5 | professional_type | varchar | 64 | 否 | 否 | 专业类型 |
| 6 | mentor_user | int | 否 | 否 | 导师用户 | |
| 7 | counseling_date | date | 否 | 否 | 辅导日期 | |
| 8 | record_details | longtext | 4294967295 | 否 | 否 | 记录详情 |
| 9 | create_time | datetime | 是 | 否 | 创建时间 | |
| 10 | update_time | timestamp | 是 | 否 | 更新时间 | |
| 11 | source_table | varchar | 255 | 否 | 否 | 来源表 |
| 12 | source_id | int | 否 | 否 | 来源ID | |
| 13 | source_user_id | int | 否 | 否 | 来源用户 |
表 4-5-code_token(验证码)
| 编号 | 字段名 | 类型 | 长度 | 是否非空 | 是否主键 | 注释 |
| 1 | code_token_id | int | 是 | 是 | 验证码ID | |
| 2 | token | varchar | 255 | 否 | 否 | 令牌 |
| 3 | code | varchar | 255 | 否 | 否 | 验证码 |
| 4 | expire_time | timestamp | 是 | 否 | 失效时间 | |
| 5 | create_time | timestamp | 是 | 否 | 创建时间 | |
| 6 | update_time | timestamp | 是 | 否 | 更新时间 |
表 4-6-hits(用户点击)
| 编号 | 字段名 | 类型 | 长度 | 是否非空 | 是否主键 | 注释 |
| 1 | hits_id | int | 是 | 是 | 点赞ID | |
| 2 | user_id | int | 是 | 否 | 点赞人 | |
| 3 | create_time | timestamp | 是 | 否 | 创建时间 | |
| 4 | update_time | timestamp | 是 | 否 | 更新时间 | |
| 5 | source_table | varchar | 255 | 否 | 否 | 来源表 |
| 6 | source_field | varchar | 255 | 否 | 否 | 来源字段 |
| 7 | source_id | int | 是 | 否 | 来源ID |
表 4-7-mentor_user(导师用户)
| 编号 | 字段名 | 类型 | 长度 | 是否非空 | 是否主键 | 注释 |
| 1 | mentor_user_id | int | 是 | 是 | 导师用户ID | |
| 2 | mentor_job_number | varchar | 64 | 否 | 否 | 导师工号 |
| 3 | mentors_name | varchar | 64 | 否 | 否 | 导师姓名 |
| 4 | mentor_gender | varchar | 64 | 否 | 否 | 导师性别 |
| 5 | examine_state | varchar | 16 | 是 | 否 | 审核状态 |
| 6 | user_id | int | 是 | 否 | 用户ID | |
| 7 | create_time | datetime | 是 | 否 | 创建时间 | |
| 8 | update_time | timestamp | 是 | 否 | 更新时间 |
表 4-8-student_information(学生信息)
| 编号 | 字段名 | 类型 | 长度 | 是否非空 | 是否主键 | 注释 |
| 1 | student_information_id | int | 是 | 是 | 学生信息ID | |
| 2 | student_users | int | 否 | 否 | 学生用户 | |
| 3 | student_name | varchar | 64 | 否 | 否 | 学生姓名 |
| 4 | student_age | varchar | 64 | 否 | 否 | 学生年龄 |
| 5 | student_gender | varchar | 64 | 否 | 否 | 学生性别 |
| 6 | contact_information | varchar | 64 | 否 | 否 | 联系方式 |
| 7 | class_name | varchar | 64 | 否 | 否 | 班级名称 |
| 8 | id_number | varchar | 64 | 否 | 否 | 身份证号 |
| 9 | professional_type | varchar | 64 | 否 | 否 | 专业类型 |
| 10 | home_address | varchar | 64 | 否 | 否 | 家庭住址 |
| 11 | date_of_birth | date | 否 | 否 | 出生日期 | |
| 12 | mentor_user | int | 否 | 否 | 导师用户 | |
| 13 | record_date | date | 否 | 否 | 记录日期 | |
| 14 | details_remarks | text | 65535 | 否 | 否 | 详情备注 |
| 15 | coaching_records_limit_times | int | 是 | 否 | 辅导限制次数 | |
| 16 | academic_achievement_limit_times | int | 是 | 否 | 成绩限制次数 | |
| 17 | create_time | datetime | 是 | 否 | 创建时间 | |
| 18 | update_time | timestamp | 是 | 否 | 更新时间 |
表 4-9-student_users(学生用户)
| 编号 | 字段名 | 类型 | 长度 | 是否非空 | 是否主键 | 注释 |
| 1 | student_users_id | int | 是 | 是 | 学生用户ID | |
| 2 | student_name | varchar | 64 | 否 | 否 | 学生姓名 |
| 3 | student_age | varchar | 64 | 否 | 否 | 学生年龄 |
| 4 | student_gender | varchar | 64 | 否 | 否 | 学生性别 |
| 5 | contact_information | varchar | 16 | 否 | 否 | 联系方式 |
| 6 | class_name | varchar | 64 | 否 | 否 | 班级名称 |
| 7 | id_number | varchar | 255 | 否 | 否 | 身份证号 |
| 8 | examine_state | varchar | 16 | 是 | 否 | 审核状态 |
| 9 | user_id | int | 是 | 否 | 用户ID | |
| 10 | create_time | datetime | 是 | 否 | 创建时间 | |
| 11 | update_time | timestamp | 是 | 否 | 更新时间 |
表 4-10-upload(文件上传)
| 编号 | 字段名 | 类型 | 长度 | 是否非空 | 是否主键 | 注释 |
| 1 | upload_id | int | 是 | 是 | 上传ID | |
| 2 | name | varchar | 64 | 否 | 否 | 文件名 |
| 3 | path | varchar | 255 | 否 | 否 | 访问路径 |
| 4 | file | varchar | 255 | 否 | 否 | 文件路径 |
| 5 | display | varchar | 255 | 否 | 否 | 显示顺序 |
| 6 | father_id | int | 否 | 否 | 父级ID | |
| 7 | dir | varchar | 255 | 否 | 否 | 文件夹 |
| 8 | type | varchar | 32 | 否 | 否 | 文件类型 |
表 4-11-user(用户账户)
| 编号 | 字段名 | 类型 | 长度 | 是否非空 | 是否主键 | 注释 |
| 1 | user_id | int | 是 | 是 | 用户ID | |
| 2 | state | smallint | 是 | 否 | 账户状态:(1可用|2异常|3已冻结|4已注销) | |
| 3 | user_group | varchar | 32 | 否 | 否 | 所在用户组 |
| 4 | login_time | timestamp | 是 | 否 | 上次登录时间 | |
| 5 | phone | varchar | 11 | 否 | 否 | 手机号码 |
| 6 | phone_state | smallint | 是 | 否 | 手机认证:(0未认证|1审核中|2已认证) | |
| 7 | username | varchar | 16 | 是 | 否 | 用户名 |
| 8 | nickname | varchar | 16 | 否 | 否 | 昵称 |
| 9 | password | varchar | 64 | 是 | 否 | 密码 |
| 10 | | varchar | 64 | 否 | 否 | 邮箱 |
| 11 | email_state | smallint | 是 | 否 | 邮箱认证:(0未认证|1审核中|2已认证) | |
| 12 | avatar | varchar | 255 | 否 | 否 | 头像地址 |
| 13 | open_id | varchar | 255 | 否 | 否 | 针对获取用户信息字段 |
| 14 | create_time | timestamp | 是 | 否 | 创建时间 |
表 4-12-user_group(用户组)
| 编号 | 字段名 | 类型 | 长度 | 是否非空 | 是否主键 | 注释 |
| 1 | group_id | mediumint | 是 | 是 | 用户组ID | |
| 2 | display | smallint | 是 | 否 | 显示顺序 | |
| 3 | name | varchar | 16 | 是 | 否 | 名称 |
| 4 | description | varchar | 255 | 否 | 否 | 描述 |
| 5 | source_table | varchar | 255 | 否 | 否 | 来源表 |
| 6 | source_field | varchar | 255 | 否 | 否 | 来源字段 |
| 7 | source_id | int | 是 | 否 | 来源ID | |
| 8 | register | smallint | 否 | 否 | 注册位置 | |
| 9 | create_time | timestamp | 是 | 否 | 创建时间 | |
| 10 | update_time | timestamp | 是 | 否 | 更新时间 |
5 系统实现
5.1学生用户功能模块实现
学生用户登录后,进入“学生信息管理”模块。在列表中,可以查看所有学生信息,包括学生用户、学生姓名、学生年龄、学生性别、联系方式、班级名称、身份证号等信息。可以进行查询和重置的操作。学生信息管理功能效果图如图5-1所示。

图5-1学生信息管理功能效果图
5.1.2辅导记录管理
学生用户登录后,进入“辅导记录管理”模块。在列表中,可以查看所有辅导记录信息,包括学生用户、学生姓名、班级名称、专业类型、导师用户、辅导日期、创建时间等信息。可以进行查询和重置的操作。辅导记录管理功能效果图如图5-2所示。

图5-2辅导记录管理功能效果图
学生用户登录后,进入“学生成绩管理”模块。在列表中,可以查看所有学生成绩信息,包括学生用户、学生姓名、班级名称、专业类型、导师用户、成绩评分、评分等级等信息。可以进行查询和重置的操作。学生成绩管理功能效果图如图5-3所示。

图5-3 学生成绩管理功能效果图
5.2 导师用户功能模块
导师用户登录后,进入“学生信息管理”模块。在列表中,可以查看所有学生信息信息,点击任意条目进入编辑页面。可添加学生信息、修改学生信息或删除不再适用的条目。更改完成后,需点击“保存”按钮,确认修改。可以进行辅导和输入成绩等操作。学生信息管理功能效果图如图5-4所示。

图5-4 学生信息管理功能效果图
导师用户登录后,进入“辅导记录管理”模块。在列表中,可以查看所有辅导记录信息,包括学生用户、学生姓名、学生年龄、学生性别、联系方式、班级名称、身份证号等信息。可以进行查询、重置和删除的操作。辅导记录管理功能效果图如图5-5所示。

图5-5 辅导记录管理功能效果图
导师用户登录后,进入“学业成绩管理”模块。在列表中,可以查看所有学业成绩信息,包括学生用户、学生姓名、班级名称、专业类型、导师用户、成绩评分、评分等级等信息。可以进行查询、重置和删除的操作。学业成绩管理功能效果图如图5-6所示。

图5-6学业成绩管理功能效果图
管理员登录后,进入“学生信息管理”模块。在列表中,可以查看所有学生信息信息,点击任意条目进入编辑页面。管理员可添加学生信息、修改学生信息或删除不再适用的条目。更改完成后,需点击“保存”按钮,确认修改。学生信息管理功能效果图如图5-7所示。

图5-7 学生信息管理功能效果图
进入“辅导记录管理”后,管理员可以查看所有辅导记录成绩。每条记录包括学生用户、学生姓名、班级名称、专业类型、导师用户、辅导日期等信息。管理员可点击查看详情,必要时可进行查询、重置和删除的操作。辅导记录管理如图5-8所示。

图5-8辅导记录管理功能效果图
管理员负责添加、删除或修改系统内的用户角色,如学生、导师以及其他管理员。确保每个角色的权限设置正确,维护系统的安全性和稳定性。角色管理功能效果图如图5-9所示。

图5-9角色管理功能效果图
5.3.4学业成绩管理
管理员负责学生的学业成绩录入与维护,确保成绩数据的准确性。此外,还可以通过成绩数据对学生的学习状况进行分析,为个性化辅导提供依据。学业成绩管理功能效果图如图5-10所示。

图5-10学业成绩管理功能效果图
5.3.5数据分析
管理员可以访问系统中的所有数据,并进行各种分析。这包括但不限于学生的学习进度、辅导效果、成绩变化趋势等,以便于做出合理的决策和调整策略。数据分析功能效果图如图5-11所示。

图5-11 数据分析功能效果图
6 系统测试
6.1测试目的
软件测试的目的在于识别系统缺陷,验证软件对需求的符合程度,使其功能、性能和安全性达到设计标准。在开发过程中,测试能够及时发现潜在问题,降低发布后出现故障的风险。测试不仅关注系统的正常运行,还模拟各种异常情况,评估在不同环境和边界条件下的表现,从而提升软件的可靠性和稳定性,为用户提供更高质量的产品体验,增强信任感。测试过程中的数据和经验积累能完善测试策略,改进开发流程,成为后续项目的参考。软件测试贯穿开发生命周期,是实现产品质量和发布标准的重要环节。
6.2测试方法
测试方法是一系列用于评估和验证产品、软件或系统性能的技术和程序。这些方法根据测试目标的不同,可以划分为黑盒测试、白盒测试和灰盒测试等多种类型。黑盒测试关注输入和输出,不涉及内部逻辑结构。白盒测试深入代码和系统内部结构,检查程序流程和逻辑错误。灰盒测试介于两者之间,对内部结构有部分了解。其他方法还包括自动化测试、手动测试、性能测试和安全测试,各自具有特定的应用场景和优势。性能测试检验系统的响应时间和稳定性,安全测试识别潜在的安全漏洞。选择适当的测试方法能够有效发现问题,提高产品的质量和可靠性。
6.3测试内容
系统采用黑盒测试对系统功能进行测试,以下是测试的详细用例表。
表6-1 学生信息功能测试用例表
| 测试目的 | 验证学生信息功能 |
| 测试条件 | 用户已登录 |
| 测试步骤 | 1. 登录系统。 2. 进入学生信息模块。 3. 浏览学生信息。 4. 点击查看详细信息。 |
| 预期效果 | 能正常查看学生信息 |
| 实际效果 | 与预期结果一致 |
| 结论 | 测试通过 |
表6-2学业成绩功能测试用例表
| 测试目的 | 验证学业成绩功能 |
| 测试条件 | 用户已登录 |
| 测试步骤 | 1. 登录系统。 2. 进入学业成绩模块。 3. 浏览学业成绩。 4. 点击查看详细信息。 |
| 预期效果 | 能正常查看学业成绩 |
| 实际效果 | 与预期结果一致 |
| 结论 | 测试通过 |
表6-3 辅导记录功能测试用例表
| 测试目的 | 验证辅导记录功能 |
| 测试条件 | 用户已登录 |
| 测试步骤 | 1. 登录系统。 2. 进入辅导记录模块。 3. 浏览辅导记录。 4. 点击查看具体内容。 |
| 预期效果 | 能正常查看辅导记录 |
| 实际效果 | 与预期结果一致 |
| 结论 | 测试通过 |
表6-4 学生信息管理功能测试用例表
| 测试目的 | 验证学生信息管理功能 |
| 测试条件 | 管理员已登录 |
| 测试步骤 | 1. 登录系统。 2. 进入学生信息管理模块。 3. 添加新的学生信息。 4. 修改已有学生信息。 5. 删除学生信息。 |
| 预期效果 | 能正常添加、修改和删除信息 |
| 实际效果 | 与预期结果一致 |
| 结论 | 测试通过 |
表6-5 学业成绩管理功能测试用例表
| 测试目的 | 验证学业成绩管理功能 |
| 测试条件 | 管理员已登录 |
| 测试步骤 | 1. 登录系统。 2. 进入学业成绩管理模块。 3. 添加新的学业成绩。 4. 修改已有学业成绩。 5. 删除学业成绩。 |
| 预期效果 | 能正常添加、修改和删除信息 |
| 实际效果 | 与预期结果一致 |
| 结论 | 测试通过 |
表6-6 辅导记录管理功能测试用例表
| 测试目的 | 验证辅导记录管理功能 |
| 测试条件 | 管理员已登录 |
| 测试步骤 | 1. 登录系统。 2. 进入辅导记录管理模块。 3. 查看所有辅导记录。 4. 删除某条记录。 |
| 预期效果 | 能正常查看和删除记录 |
| 实际效果 | 与预期结果一致 |
| 结论 | 测试通过 |
6.4测试结论
所有测试功能均符合预期结果,未发现明显问题,显示出系统在当前测试条件下的稳定性和可靠性。这些结果表明,系统能够有效支持用户和管理员顺畅完成各自的核心活动,未出现操作障碍或功能缺陷。
7 总结与展望
7.1总结
在本次毕业设计项目中,成功开发了运城学院本科生导师制学生管理系统,旨在解决传统学生管理方式中信息处理效率低、管理方式滞后的问题。通过采用Spring Boot框架、MySQL数据库和前端Vue.js技术,系统实现了学生信息、辅导记录和学业成绩的数字化管理,进一步增强了用户权限管理和数据安全保护措施。这些功能的实现有效提升了管理效率,为学院在推动信息化管理和优化教学服务方面迈出了重要一步。然而,在研究与开发过程中也面临了一些挑战。虽然当前的技术选型能够满足基本需求,但随着业务环境的不断变化,系统的灵活性和扩展性仍显得不足。用户体验方面,系统界面设计和交互逻辑尚需进一步优化,以更好地符合现代用户对高效、直观操作的需求。同时,随着网络安全威胁的不断增加,确保用户数据的安全性和隐私保护也成为亟需关注的问题,需要持续提升系统的安全防护能力。
7.2展望
未来的研究将集中于以下几个方向:探索更灵活、高效的技术架构的应用提升系统的可扩展性与维护性。将引入前沿的设计理念,进一步改善用户界面并增强用户体验。在数据安全方面,研究更为先进的加密技术与安全策略,保障系统能够应对复杂的网络安全挑战。随着人工智能与大数据技术的发展,未来的研究还将探索如何利用这些技术提供智能化分析与决策支持,进一步提升管理效率与服务质量。
致 谢
时光荏苒,四年的求学生涯在不经意间画上了圆满的句号。在这段充满挑战与成长的旅程中,许多人给予了我无私的支持与鼓励。在此,我怀着无比感激的心情,向所有帮助和关心过我的人致以诚挚的感谢。
首先,我要特别感谢我的指导老师。您不仅是知识的传播者,更是我人生道路上的引路人。您严谨治学、孜孜不倦的精神深深感染了我,让我明白了追求真理的重要性。无论是细致的反馈,还是启发性的建议,您都让我感受到一种无形的力量,激励着我不断超越自我。感谢您在我最迷茫的时刻,为我指明方向,给予我勇气,让我在道路上走得更加坚定。
我要感谢我的父母。感谢你们无私的爱与支持,是你们的辛勤付出让我得以追逐梦想,成就自我。无论是在我遇到挫折时的鼓励,还是在我获得成绩时的欢笑,你们总是我最坚实的后盾。在你们的呵护下,我得以在知识的海洋中遨游,体会到求知的乐趣与美好。你们教会我如何面对生活中的风雨,教会我如何在困境中寻找希望。每当我回首过往,心中涌起的都是对你们的感激与爱戴。没有你们的支持,我无法走到今天这一步。愿在未来的日子里,能用自己的努力回报你们的厚爱。
我也要感谢我的同学们。在这四年的岁月里,我们共同经历了无数的挑战与欢笑。无论是一起熬夜复习的辛酸,还是考试后的欢庆,你们的陪伴让我不再孤单。在学习上,我们相互借鉴、共同进步。在生活中,我们彼此扶持、携手前行。与你们的友谊让我感受到青春的热情与力量。每一次的团结合作,都让我意识到团队的力量是无穷的。感谢你们在我人生旅途中的陪伴,你们的存在让我的大学生活更加丰富多彩。
最后,感谢这个校园。这里承载了我的青春与梦想,见证了我的成长与蜕变。每一处熟悉的角落,都蕴藏着我无数的回忆。无论是静谧的图书馆,还是热闹的操场,都成为我心中不可磨灭的印记。这里的每一位老师、每一位同学、每一段经历,都将成为我人生旅途中最珍贵的财富。
在即将踏入新的人生阶段之际,我衷心地感谢所有给予我帮助与关心的人。是你们的陪伴让我在这条路上走得更加坚定与自信。未来的路途或许会有荆棘与挑战,但我将带着你们给予我的勇气与力量,勇敢前行。愿在不久的将来,能够以自己的成就来回馈你们的厚爱。
再次感谢每一位在我生命中出现的人,愿我们都能在各自的人生舞台上,绽放出属于自己的光彩。
参考文献
- 陈国良,戴建成,陈春福.高职院校“导师制”管理系统构建研究[J].软件,2019,40(09):50-54.
- 徐栋.基于B/S架构的高校毕业设计管理系统设计与实现[J].电脑知识与技术,2025,21(09):79-81.DOI:10.14004/j.cnki.ckt.2025.0425.
- 辛翠平.基于Highcharts的高职校学生成绩管理系统设计[J].中国新技术新产品,2024,(22):49-51.DOI:10.13612/j.cnki.cntp.2024.22.007.
- 叶小波.基于云计算的高校学生信息分类管理系统设计[J].自动化技术与应用,2024,43(10):186-189+194.DOI:10.20033/j.1003-7241.(2024)10-0186-05.
- 常见,许颖.基于大数据的高校学生信息化管理系统设计[J].科技创新与生产力,2023,44(08):107-109.
- 韦彩仁,张锐杭.基于Vue 3和SpringBoot的学生信息管理系统设计与实现[J].电脑编程技巧与维护,2024,(10):3-6+20.DOI:10.16184/j.cnki.comprg.2024.10.045.
- Li H ,Ni A .What Contributes to Student Language Learning Satisfaction and Achievement with Learning Management Systems?[J].Behavioral sciences (Basel, Switzerland),2024,14(4):
- Chen W .Construction of Student Information Management System for Universities Based on Cloud Computing Platform[J].Applied Mathematics and Nonlinear Sciences,2024,9(1):
- Bin M .Design and Implementation of an Information Management System for College Students in Higher Education Institutions Based on Cloud Computing[J].International Journal of Advanced Computer Science and Applications (IJACSA),2024,15(5):
- 李治颖.基于大数据的学生行为模式分析与学生管理系统构建[J].数字通信世界,2025,(03):220-222.
- 罗雅莉.基于大数据技术的高职学生信息管理系统设计[J].中国新技术新产品,2025,(05):56-58.DOI:10.13612/j.cnki.cntp.2025.05.003.
- 黄清欣,邹军华,段龙.基于微信小程序的学生成绩管理系统的设计与实现[J].电脑知识与技术,2024,20(35):44-46.DOI:10.14004/j.cnki.ckt.2024.1800.
- 王晓虹.智能化与数字化技术在学生管理系统中的应用[J].集成电路应用,2024,41(12):148-149.DOI:10.19339/j.issn.1674-2583.2024.12.066.
- 潘琛.大数据背景下高校学生管理信息化探讨[J].中国管理信息化,2024,27(23):163-165.
- 韦彩仁,张锐杭.基于Uni-App小程序开发的信息管理系统学生端[J].电脑编程技巧与维护,2024,(11):70-72+120.DOI:10.16184/j.cnki.comprg.2024.11.018.
- 夏小翔.基于Echarts学生成绩管理系统关键技术应用及解析[J].鄂州大学学报,2024,31(06):91-94.DOI:10.16732/j.cnki.jeu.2024.06.029.
- 张坤.基于分层分类的学生管理系统设计与实现[J].电子技术,2024,53(07):258-259.
- 张力.基于SpringCloud微服务的高校学生信息管理系统的设计[J].电脑知识与技术,2024,20(16):65-68.DOI:10.14004/j.cnki.ckt.2024.0858.
- 袁爱平,陈畅,孙士兵,等.基于SSM框架的高校学生信息管理系统设计与实现[J].工业控制计算机,2023,36(12):127-129.
- 唐婷,聂丽霞.基于大数据技术的高校学生信息管理系统设计[J].电脑知识与技术,2023,19(30):62-64.DOI:10.14004/j.cnki.ckt.2023.1592.
630

被折叠的 条评论
为什么被折叠?



