摘 要
随着互联网技术的迅猛发展,传统行业在信息化、智能化方面逐渐暴露出效率低下、信息孤岛、数据管理困难等问题,亟需借助现代技术进行优化。在高校学生实习管理领域,企业与学生、学校之间的信息流通常依赖于线下管理和纸质文档,导致资源浪费、信息滞后和沟通障碍。
本平台通过技术手段解决上述问题,提供一个高效、便捷的实习服务平台。平台采用微信小程序作为前端技术,SpringBoot作为后端框架,MySQL作为数据库。通过这一技术架构,学生用户能够实现在线查看实习岗位、申请岗位、查看招聘活动、安排面试、进行实习签到和请假管理等功能;企业用户可以进行实习岗位管理、岗位申请管理、面试安排管理等操作;导师用户可以管理岗位申请、实习签到、请假及实习报告等;管理员可进行全平台用户管理、岗位申请管理、面试安排管理等全面操作。平台通过集成各方需求,提供高效的信息交流和管理平台,简化了各项流程,提高了工作效率,推动了高校与企业间的深度合作。
关键词:实习服务;小程序;Springboot;MySQL
Abstract
With the rapid development of Internet technology, traditional industries have gradually exposed problems such as low efficiency, isolated information islands, and data management difficulties in terms of informatization and intelligence, which need to be optimized with the help of modern technology. In the field of college student internship management, the information flow between enterprises, students, and schools often relies on offline management and paper documents, resulting in resource waste, information lag, and communication barriers.
This platform solves the above problems through technological means and provides an efficient and convenient internship service platform. The platform adopts WeChat Mini Program as the front-end technology, SpringBoot as the back-end framework, and MySQL as the database. Through this technological architecture, users can achieve functions such as online viewing of internship positions, applying for positions, viewing recruitment activities, arranging interviews, checking in for internships, and managing leave requests; Enterprise users can manage internship positions, job applications, interview arrangements, and other operations; Mentor users can manage job applications, internship sign ins, leave requests, and internship reports, etc; Administrators can perform comprehensive operations such as platform wide user management, job application management, and interview arrangement management. The platform integrates the needs of all parties, provides an efficient information exchange and management platform, simplifies various processes, improves work efficiency, and promotes deep cooperation between universities and enterprises..
Keywords: Internship services; Mini program; Springboot; MySQL
1 绪论
在高校学生实习管理领域,长期以来,学生、学校与企业之间的合作和信息交流多依赖于传统的线下操作。学生通过学校获取实习信息,填写申请表格,前往企业进行面试,并在企业指导下完成实习任务。企业与学校的联系主要通过人工方式进行,相关信息和数据的收集、整理与传递大多依赖纸质文件或手工操作,造成了沟通不畅、信息滞后和管理效率低下的问题。学生的实习申请、面试安排、实习签到及报告的提交等环节,通常缺乏高效的线上平台,导致了大量的人工管理和时间上的浪费。同时,企业在招募学生、安排面试和跟踪实习进程时,也面临数据不集中、信息无法实时更新的问题。随着计算机技术的飞速发展,尤其是移动互联网技术的普及,这种传统的管理方式逐渐暴露出无法满足现代化需求的弊端,亟需借助更高效的信息化平台来进行优化。
本系统的出现正是对上述问题的有效回应。通过集成化、智能化的平台,学校、企业、学生之间的信息流动更加畅通,操作流程更加简化和高效。该平台不仅为学生提供了一个便捷的实习信息查询、申请和管理渠道,还为企业提供了一个集中管理招聘信息和实习生管理的有效工具。系统将学生、企业与学校之间的互动进行了数字化、平台化处理,解决了信息孤岛的问题,使得每一个环节的信息能够实时共享和更新,提高了工作效率和沟通效果。对于学生来说,能够更方便地进行实习岗位申请、面试安排、实习签到等操作。企业能够更好地进行岗位发布、申请管理和面试安排,节省了大量的人工管理成本。学校则可以通过平台实时监控学生的实习进展,确保实习质量和管理的规范性。本系统不仅提高了各方工作的效率,还促使高校和企业之间的合作更加紧密,为学生提供了更广阔的就业和实习机会,对推动教育和就业市场的结合具有重要意义。
随着互联网创业潮的兴起,不少高校也积极开展“校企合作”项目,帮助学生提供更多实习机会。一些平台如实习僧、猎云网等也在国内市场中具有一定的影响力,推动了整个实习服务平台市场的成熟。但是在国内许多高校的实习服务平台主要依赖于某一方(如学校或企业)的信息提供,这种资源的集中化可能导致平台信息的单一化,学生的选择余地和匹配度受到限制。
2024年,廖洁、苏华玲、陈婷婷、王宁在《现代信息科技》上发表《高校学生就业服务数据分析与可视化平台的设计与实现》,开发毕业生数据分析与就业服务可视化平台,采集招聘网站热门岗位技能需求,利用自然语言处理算法建立岗位能力知识图谱与学习地图,整合构建就业服务可视化交互平台,辅助学生学习与就业,实现技术赋能高校就业管理工作[1]。2021年,轩璐在《电脑编程技巧与维护》上发表《高校精准推送就业服务平台设计》,设计精准推送就业服务平台,收集学生学习过程信息,建立学生模型,全面测评学生能力,结合企业用人需求深度分析,实现学生与岗位匹配,精准投放就业信息,促进学生与企业交流,实现精准求职与招聘[2]。2020年,张焕焕在《造纸装备及材料》上发表《高校学生就业指导工作的创新分析》,指出高校学生就业指导工作对学生未来发展起决定性作用,分析高校学生就业指导工作现状,探讨普遍存在问题,强调高校应根据实际需求和现状进行分析,不断创新和优化学生就业指导工作,为学生指引就业方向,培养社会需求的适用性人才[3]。
在国外,基于移动平台的学生实习服务也得到了广泛的应用,但相比于中国,国外更多地聚焦于跨平台的整合和创新。一些基于Web和移动端的国际平台,如Internshala(印度)、Handshake(美国)、LinkedIn(全球)等,已经建立了成熟的实习服务体系,并在一定程度上影响了高校生就业与实习选择的方式。然而,虽然国际上已经出现一些成功的实习服务平台,但普遍面临的挑战是如何利用平台技术为用户提供个性化推荐、社交互动的创新模式。因此,结合微信小程序的便捷性和社交功能,开发适应本土需求的实习服务平台,依然具有很强的研究价值和市场前景。
2022年,Sun Taiwei在《Computers and Electrical Engineering》上发表《Design of cross-cultural teaching management system for international students based on cloud service platform》,提出基于云服务平台的跨文化教学管理系统,利用视频物联网和云计算服务构建教学资源管理框架,设计前端门户,优化传感器设计,将视频物联网系统与教学管理、应用管理等云模块集成,从安全外壳框架实现、接口和功能模块等角度展示模型,实验结果表明该系统能有效管理教学资源[4]。2022年,Jingxian Yi、Feng Yang在《Adult and Higher Education》上发表《Innovation and Entrepreneurship Information Data Service Platform for College Students in Ordinary Colleges and Universities》,设计普通高校大学生创新创业信息数据服务平台,测试平台运行和性能,结果符合设计预期,实现数据存储和修改,为大学生创新创业提供数据支持,推动高校创新创业教育改革与发展[5]。2020年,Ying Zhang在《Journal of Physics Conference Series》上发表《Research on the Construction of Innovation and Entrepreneurship Service Platform for College Students Integrating Mobile Internet and Entrepreneurship Practice》,研究融合移动互联网和创业实践的大学生创新创业服务平台建设,强调平台在整合资源、提供服务、促进交流等方面的作用,为大学生创新创业提供实践机会和技术支持[6]。
1.4 论文组织结构
论文共分为七章,内容结构清晰,逻辑严密,具体如下:
第一章绪论,介绍研究背景、研究意义和国内外研究现状,明确研究方向和应用价值。
第二章相关技术介绍,阐述Java语言、微信小程序、SpringBoot框架和MySQL数据库的基础知识与应用。
第三章需求分析,从功能需求、可行性分析和非功能需求三个方面,界定系统设计与开发目标。
第四章系统设计,包括系统架构设计、整体功能设计、流程设计和数据库设计等。
第五章系统实现,依照用户角色划分模块,展示学生、企业用户、导师用户与管理员的功能实现。
第六章系统测试,描述测试目的、方法、内容与结论,验证系统功能的正确性与稳定性。
第七章总结,对系统开发过程进行总结,归纳成果与不足。
2 相关技术介绍
Java 是一种广泛应用的编程语言,它最早由 Sun Microsystems 于 1995 年推出。Java 是一种面向对象的语言,设计初衷是让开发者能够一次编写,处处运行,具备平台无关性。Java 语言的核心特点之一是其跨平台能力,程序通过 Java 虚拟机(JVM)进行执行,可以在不同操作系统上运行[7]。Java 语言通过引入面向对象的编程方式,强调了数据和方法的封装、继承和多态性,使得程序的结构更加清晰、模块化。Java 提供了丰富的类库和框架,支持图形用户界面(GUI)、网络通信、数据库操作等多种功能,能够满足多种应用场景的需求[8]。开发者能够利用 Java 进行桌面应用、Web 应用、企业级应用等多种类型的开发。
Java 语言运行时依赖于 JVM,通过将源代码编译成字节码文件,JVM 根据不同的操作系统和硬件平台动态执行这些字节码,从而实现跨平台的目标[9]。Java 的垃圾回收机制能够自动管理内存,减轻开发者的内存管理负担。Java 的线程管理功能也非常强大,能够支持多线程并发执行,从而提高程序的处理能力。Java 支持与多种数据库系统的连接和操作,能够通过 JDBC(Java Database Connectivity)进行数据库操作。此外,Java 还支持分布式系统开发,开发者可以利用 RMI(Remote Method Invocation)和 Web 服务(如 SOAP 和 RESTful)等技术,构建支持远程调用的系统。
微信小程序是由腾讯推出的一种新型应用形式,用户通过微信客户端即可使用小程序,无需下载安装[10]。小程序基于微信平台,开发者通过特定的框架和工具进行开发,完成后发布在微信环境中,用户通过扫描二维码、搜索或朋友推荐等方式快速访问。微信小程序的开发语言主要是 JavaScript,开发者可以利用微信提供的 API 进行界面设计、事件处理、数据交互等操作[11]。小程序的运行不依赖独立的应用程序,而是直接在微信环境中运行,具备较高的访问速度和流畅度,能够支持丰富的界面交互和数据交互功能。
微信小程序的开发框架由前端和后端部分组成,前端主要负责用户界面的展示和交互,后端则负责数据处理和接口的提供[12]。前端开发主要依赖于 WXML(微信标记语言)、WXSS(微信样式表)和 JavaScript,开发者通过这些技术实现页面布局、样式和逻辑处理。后端通常采用 Node.js 或其他服务器端技术,通过微信提供的 API 进行数据交互和存储。微信小程序的优势之一是其与微信生态的紧密结合,开发者能够利用微信的社交功能、支付功能、地理位置等服务进行更丰富的功能实现。小程序能够快速响应用户需求,并且通过微信提供的用户数据分析,帮助开发者优化功能和提高用户体验。
SpringBoot 是一个基于 Spring 框架的开发框架,它通过简化配置和自动化配置的方式,使开发者能够快速构建和部署 Java Web 应用[13]。SpringBoot 的设计目标是让开发者不需要关心复杂的配置问题,通过约定优于配置的方式,使得 Java 开发更加简洁和高效。SpringBoot 默认提供了大量的配置和功能,开发者只需要关注应用的业务逻辑和特定需求,而不需要编写繁琐的 XML 配置文件[14]。SpringBoot 支持嵌入式的 Web 服务器,如 Tomcat、Jetty 和 Undertow,使得开发者无需外部 Web 服务器的支持,即可直接启动 Web 应用。
SpringBoot 提供了一整套基于约定的配置,使得项目的初始化和配置变得非常简便。它内置了常用的功能模块,如安全框架、数据访问框架、事务管理等,并且支持广泛的第三方库和插件集成。SpringBoot 在开发过程中采用“开箱即用”的方式,开发者只需要创建项目并启动应用,即可享受默认的功能配置,极大地提高了开发效率。此外,SpringBoot 也支持微服务架构的构建,能够通过 Spring Cloud 实现服务的注册、发现、负载均衡等功能。SpringBoot 为开发者提供了完善的工具链和丰富的社区支持,是 Java 开发者在构建 Web 应用和微服务时的常用选择。
MySQL 是一个开源的关系型数据库管理系统,由 Oracle 公司开发并维护。MySQL 使用结构化查询语言(SQL)来管理数据,支持数据的增、删、改、查操作。它遵循关系数据库模型,通过表格来存储数据,表格中的行代表数据记录,列代表数据的不同字段。MySQL 支持 SQL 标准,能够进行复杂的查询、数据关联和事务管理[15]。MySQL 具有高效的查询引擎,能够快速处理大量数据,同时具备事务、索引、视图、触发器等数据库特性。
MySQL 提供了丰富的数据类型和操作,支持多种存储引擎(如 InnoDB 和 MyISAM),开发者可以根据具体需求选择合适的存储引擎。MySQL 还支持数据的备份和恢复,确保数据的安全性和完整性[16]。在高并发场景下,MySQL 可以通过分区表、复制技术、读写分离等手段提高数据的访问效率。MySQL 还支持存储过程、函数、触发器等扩展功能,能够满足更复杂的数据操作需求。MySQL 作为开源数据库,具有广泛的应用和社区支持,能够与多种编程语言和框架无缝集成,是现代 Web 应用和企业级应用中常用的数据库系统。
3 需求分析
功能需求分析是对系统所需功能进行详细描述的过程,旨在明确系统的目标、功能模块及其相互关系。在此阶段,结合用户需求、业务流程和技术架构,识别系统必须实现的各项功能,并对其优先级、实现方式和约束条件进行梳理。通过功能需求分析,确保系统设计能够满足实际需求,且具有良好的可用性、可维护性和扩展性,为后续的系统开发和测试提供明确的指导和依据。
学生可进行岗位查看、岗位申请、招聘活动查看、面试安排查看、实习签到、请假申请、实习报告管理等操作。学生用户用例图如图3-1所示。

图3-1 学生用户用例图
企业用户可进行岗位发布与管理、申请管理、面试安排、签到管理、招聘活动发布与管理等操作。企业用例图如下。

图3-2 企业用户用例图
导师用户可进行岗位申请管理、签到数据查看、请假审批、学生沟通、实习报告评分等操作。导师用例图如下。

图3-3 导师用户用例图
管理员可进行用户信息管理、岗位管理、申请流程管理、面试安排、签到管理、请假管理、报告管理等。管理员用例如下。

图3-4 管理员用例图
技术可行性方面,本系统依托成熟的开发框架和主流平台构建,开发工具和资源丰富,技术文档齐全,能够满足系统各模块的开发需求。所使用的开发语言具备良好的兼容性和扩展性,支持跨平台部署,能够实现多终端的应用接入。前端运行平台广泛覆盖用户群体,具备良好的用户交互体验和稳定性。后端框架具有稳定的架构设计,能够满足系统高并发、高访问量的处理需求。数据库系统性能稳定,数据结构清晰,支持复杂的数据关系和高效的查询操作,能够满足系统的数据处理与存储需求。系统各项功能模块逻辑明确,功能划分合理,接口设计符合当前行业标准,具备实际部署和运行条件。
操作可行性方面,系统界面设计简洁,交互逻辑清晰,操作步骤明确,能够满足不同角色用户的使用习惯与操作需求。平台支持多角色权限管理,便于系统维护和功能控制。用户使用平台时只需通过移动设备进行简单操作,无需复杂培训,能够快速完成岗位查看、申请、签到、请假等流程。系统信息反馈及时,操作响应迅速,支持用户信息、岗位信息、实习记录等数据的实时更新。管理端配置清晰,支持功能扩展与数据管理,能够适应各类管理场景的需求。用户操作行为可通过数据日志记录,便于系统监控与优化,提高整体操作效率。
社会可行性方面,实习管理平台有助于促进学生实习流程的标准化和透明化,提升学生实习体验和实习成果质量。系统推动学校、企业、学生三方的高效协同,促进教育资源合理配置,提高高校人才培养效率。企业通过平台获取实习人才,有助于优化用人流程,提升社会人力资源配置效率。平台信息流转机制有助于减少纸质流程,推动绿色办公,符合当前社会可持续发展的导向。平台功能设计体现公平性与公开性,有助于增强管理信任度与用户满意度,促进教育公平与资源共享。
经济可行性方面,平台建设与维护成本控制在合理范围内,采用开源技术可有效降低开发费用。移动端平台推广成本较低,可借助现有社交系统进行传播,降低市场进入门槛。系统上线后可通过功能模块的逐步扩展形成稳定服务体系,增强平台收益能力。平台用户群体稳定,使用频率高,具有较强的服务粘性,未来可形成可持续运营模式。高校和企业的合作支持有助于平台成本分摊,系统部署后的运营支出可维持在可控区间,具备良好的经济回报预期。
可用性方面,系统应支持不同终端用户在多种使用场景下完成实习相关操作。学生用户应能够通过简洁的界面完成岗位查看、申请提交、签到记录、请假登记和实习报告上传等任务。企业用户应能够顺利发布岗位、管理申请、安排面试并跟踪学生实习状态。导师用户应能够进行岗位审核、签到监督、请假审批与实习报告查阅。管理员应能够完成用户数据维护、岗位信息管理、申请流程监管与系统日志审查。各角色功能界面需清晰易懂,操作路径应逻辑一致,系统应提供必要提示信息,支持基础操作引导。系统应在正常网络环境下稳定响应各类请求,避免因延迟造成用户操作中断。
可靠性方面,系统应保证各模块在高频使用下持续运行,避免因错误导致业务流程中断。岗位申请、签到数据、请假记录与报告内容等信息应准确记录并长期保存。系统应支持数据容灾处理机制,在出现异常情况下实现业务回滚与数据恢复。系统应具备日志记录功能,对用户行为、操作流程与系统异常进行追踪与分析。平台应在高并发访问情况下保持响应能力,防止因访问压力导致崩溃。各类业务流程应具备状态校验与重复提交识别功能,保障数据一致性。数据传输过程应具备断点续传机制,避免信息缺失或损坏。
安全性方面,系统应设定多角色权限控制机制,不同用户仅能访问其对应模块与数据。用户注册、登录与信息管理流程应进行身份认证,防止未经授权的访问。系统应对重要信息进行加密存储与传输,防止敏感数据泄露。平台应具备数据备份机制,定期对数据库进行完整备份,减少数据丢失风险。系统管理端应具备操作日志功能,记录各类变更信息,保障平台可追溯性。平台应具备抗攻击能力,防范常见安全威胁,如SQL注入、脚本攻击与暴力破解等。用户行为中涉及隐私信息部分应依法处理,保障用户信息安全不外泄。
4系统设计
本平台采用分层架构设计,主要有表示层、业务逻辑层和数据存储层。表示层负责用户与系统的交互,使用微信小程序原生框架进行页面设计和用户界面展示。WXML定义页面结构,WXSS负责页面样式,JavaScript处理用户操作及业务逻辑,JSON配置页面和接口。业务逻辑层实现系统的核心功能。该层主要通过JavaScript处理用户请求、业务逻辑判断,并与数据存储层进行交互。数据存储层负责存储和管理系统数据,采用MySQL数据库进行数据存储。数据存储层通过DAO层访问数据库,并提供数据的增删查改操作。整个系统架构如图4-1所示。

图4-1 系统架构图
系统面向学生、企业用户、导师用户、管理员提供多角色实习管理服务。学生可进行岗位申请、面试查看、签到请假、报告管理。企业用户可管理岗位、审核申请、安排面试、管理签到与活动。导师用户可监督实习、审批请假、评阅报告。管理员统一管理平台数据。功能结构图如下。

图4-2 功能结构图
实习岗位查看的步骤:用户登录后进入赛事详情页面,选择岗位。如果有岗位,查看岗位详情;否则返回重新选择。流程从开始到结束,清晰地指导用户操作。流程如下所示。

图4-3 岗位查看流程图
岗位申请流程如下:用户选择岗位后,进入申请页面填写信息。提交后,系统检查申请是否成功。若成功,显示提示信息;若失败,返回填写页面重新提交。流程简洁明了,确保用户顺利完成申请。流程如下所示。

图4-4 岗位申请流程图
请假流程如下:用户登录后进入请假页面,填写请假信息。检查信息是否正确,若否则重新填写。信息正确后提交导师审核,审核通过则申请成功,流程结束。流程图如下。

图4-5 请假申请流程图
企业用户进入申请管理,查看新岗位申请。若有新申请,安排面试时间。检查是否有面试冲突,若无,则发送面试通知,完成流程。流程图如下。

图4-6 面试安排管理流程图
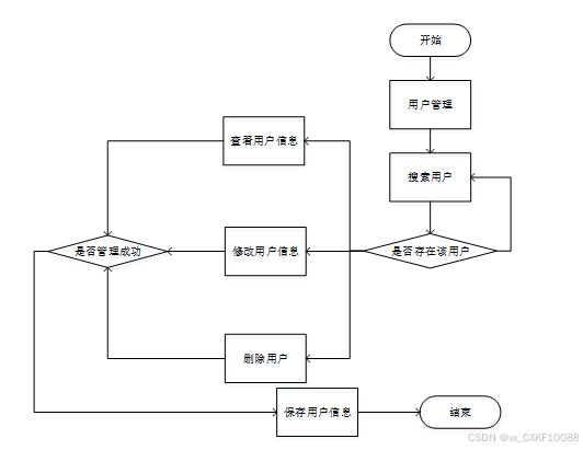
用户管理流程包括:开始后进行用户管理,搜索用户并检查用户是否存在。若存在,可查看、修改或删除用户信息。操作后保存信息,检查管理是否成功,结束流程。流程图如下。

图4-7 用户管理流程图
在进行数据库设计时,概念设计帮助明确系统的整体结构和需求。在这一阶段,需要确定实体、属性以及它们之间的关系,为后续的数据库表设计奠定基础。接下来,将深入探讨数据库表设计的具体细节,实现更高效的数据存储和管理。
数据库实体是数据库中用于存储信息的基本对象,通常对应实际业务中的具体事物。每个实体由多个属性组成,属性描述实体的特征或属性值。实体之间可能存在不同的关系,包括一对一、一对多和多对多。关系通过外键实现,用于表示不同实体间的关联[17]。实体需要根据业务需求进行抽象和建模,确保实体能够准确反映系统中的核心数据结构。实体设计过程中需明确属性的类型、约束条件及主键,确保数据的唯一性和完整性。以下将展示系统的全局E-R图以及各个实体的属性图。

图4-8 系统E-R图
企业用户实体包括企业名称、企业类型、企业地址。企业用户实体如图4-9所示。

图4-9企业用户实体图
实习请假实体包括请假时间、请假天数、请假原因。实习请假实体如图4-10所示。

图4-10实习请假实体图
实习岗位实体包括招聘标题、招聘专业、招聘薪资、招聘要求。实习岗位实体如图4-11所示。

图4-11实习岗位实体图
实习报告实体包括报告标题、报告内容、实习表现。实习报告实体如图4-12所示。

图4-12实习报告实体图
面试安排实体包括安排时间、安排备注、审核状态。面试安排实体如图4-13所示。

图4-13面试安排实体图
岗位申请实体包括招聘岗位、学生专业、求职意向。岗位申请实体如图4-14所示。

图4-14岗位申请实体图
导师用户实体包括导师姓名、导师性别、导师年龄。导师用户实体如图4-15所示。

图4-15导师用户实体图
学生用户实体包括学生姓名、学生专业、专业技能、求职意向。学生用户实体如图4-16所示。

图4-16学生用户实体图
管理员实体包括用户名、登录时间、手机号码。管理员实体如图4-17所示。

图4-17管理员实体图
数据库表是实体在数据库中的具体实现形式,用于存储系统的数据。每张表包含若干列,每列对应实体的一个属性[18]。主键用于标识表中每行数据的唯一性,外键用于关联其他表的数据。表设计需考虑数据存储的规范化,减少重复数据以节约存储空间。根据业务需求设计索引,优化查询性能。表的字段类型需符合数据存储的实际需求,避免数据类型不匹配带来的性能问题。表的命名需具有一定的规范性,清晰反映表的功能和作用。以下是系统的数据库表设计展示。
企业用户表主要是用来记录实习企业的基本信息与状态管理。主要包括企业名称、企业类型、企业地址、审核状态等。企业用户表如表4-1所示。
表4-1 企业用户
| 编号 | 字段名 | 类型 | 长度 | 是否非空 | 是否主键 | 注释 |
| 1 | enterprise_users_id | int | 是 | 是 | 企业用户ID | |
| 2 | enterprise_name | varchar | 64 | 否 | 否 | 企业名称 |
| 3 | enterprise_type | varchar | 64 | 否 | 否 | 企业类型 |
| 4 | enterprise_address | varchar | 64 | 否 | 否 | 企业地址 |
| 5 | examine_state | varchar | 16 | 是 | 否 | 审核状态 |
| 6 | user_id | int | 是 | 否 | 用户ID | |
| 7 | create_time | datetime | 是 | 否 | 创建时间 | |
| 8 | update_time | timestamp | 是 | 否 | 更新时间 |
实习请假表主要是用来记录学生实习期间的请假信息与审核情况。主要包括请假时间、请假天数、请假原因、审核状态等。实习请假表如表4-2所示。
表4-2 实习请假表
| 编号 | 字段名 | 类型 | 长度 | 是否非空 | 是否主键 | 注释 |
| 1 | internship_leave_id | int | 是 | 是 | 实习请假ID | |
| 2 | mentor_user | int | 否 | 否 | 导师用户 | |
| 3 | student_users | int | 否 | 否 | 学生用户 | |
| 4 | student_name | varchar | 64 | 否 | 否 | 学生姓名 |
| 5 | leave_time | datetime | 否 | 否 | 请假时间 | |
| 6 | leave_days | double | 否 | 否 | 请假天数 | |
| 7 | reason_for_leave | text | 65535 | 否 | 否 | 请假原因 |
| 8 | examine_state | varchar | 16 | 是 | 否 | 审核状态 |
| 9 | examine_reply | varchar | 255 | 否 | 否 | 审核回复 |
| 10 | create_time | datetime | 是 | 否 | 创建时间 | |
| 11 | update_time | timestamp | 是 | 否 | 更新时间 |
实习岗位表主要是用来记录企业发布的实习岗位相关内容。主要包括招聘标题、招聘专业、招聘薪资、招聘要求等。实习岗位表如表4-3所示。
表4-3 实习岗位表
| 编号 | 字段名 | 类型 | 长度 | 是否非空 | 是否主键 | 注释 |
| 1 | internship_position_id | int | 是 | 是 | 实习岗位ID | |
| 2 | enterprise_users | int | 否 | 否 | 企业用户 | |
| 3 | enterprise_name | varchar | 64 | 否 | 否 | 企业名称 |
| 4 | recruitment_title | varchar | 64 | 否 | 否 | 招聘标题 |
| 5 | professional_recruitment | varchar | 64 | 否 | 否 | 招聘专业 |
| 6 | recruitment_positions | varchar | 64 | 否 | 否 | 招聘岗位 |
| 7 | recruitment_location | varchar | 64 | 否 | 否 | 招聘地点 |
| 8 | recruitment_salary | varchar | 64 | 否 | 否 | 招聘薪资 |
| 9 | recruitment_requirements | varchar | 64 | 否 | 否 | 招聘要求 |
| 10 | cover_photo | varchar | 255 | 否 | 否 | 封面图片 |
| 11 | recruitment_details | longtext | 500 | 否 | 否 | 招聘详情 |
| 12 | collect_len | int | 是 | 否 | 收藏数 | |
| 13 | examine_state | varchar | 16 | 是 | 否 | 审核状态 |
| 14 | job_application_limit_times | int | 是 | 否 | 申请限制次数 | |
| 15 | create_time | datetime | 是 | 否 | 创建时间 | |
| 16 | update_time | timestamp | 是 | 否 | 更新时间 |
实习报告表主要是用来记录学生提交的实习总结与导师评价。主要包括报告标题、报告内容、实习表现、评分限制等。实习报告表如表4-4所示。
表4-4 实习报告表
| 编号 | 字段名 | 类型 | 长度 | 是否非空 | 是否主键 | 注释 |
| 1 | internship_report_id | int | 是 | 是 | 实习报告ID | |
| 2 | mentor_user | int | 否 | 否 | 导师用户 | |
| 3 | student_users | int | 否 | 否 | 学生用户 | |
| 4 | student_name | varchar | 64 | 否 | 否 | 学生姓名 |
| 5 | report_time | datetime | 否 | 否 | 报告时间 | |
| 6 | report_title | varchar | 64 | 否 | 否 | 报告标题 |
| 7 | report_content | text | 65535 | 否 | 否 | 报告内容 |
| 8 | internship_performance | text | 65535 | 否 | 否 | 实习表现 |
| 9 | report_rating_limit_times | int | 是 | 否 | 评分限制次数 | |
| 10 | performance_evaluation_limit_times | int | 是 | 否 | 评估限制次数 | |
| 11 | create_time | datetime | 是 | 否 | 创建时间 | |
| 12 | update_time | timestamp | 是 | 否 | 更新时间 |
面试安排表主要是用来记录企业与学生之间的面试安排信息。主要包括招聘岗位、安排时间、安排备注、审核状态等。面试安排表如表4-5所示。
表4-5 面试安排表
| 编号 | 字段名 | 类型 | 长度 | 是否非空 | 是否主键 | 注释 |
| 1 | interview_arrangement_id | int | 是 | 是 | 面试安排ID | |
| 2 | enterprise_users | int | 否 | 否 | 企业用户 | |
| 3 | enterprise_name | varchar | 64 | 否 | 否 | 企业名称 |
| 4 | recruitment_title | varchar | 64 | 否 | 否 | 招聘标题 |
| 5 | professional_recruitment | varchar | 64 | 否 | 否 | 招聘专业 |
| 6 | recruitment_positions | varchar | 64 | 否 | 否 | 招聘岗位 |
| 7 | recruitment_location | varchar | 64 | 否 | 否 | 招聘地点 |
| 8 | recruitment_salary | varchar | 64 | 否 | 否 | 招聘薪资 |
| 9 | mentor_user | int | 否 | 否 | 导师用户 | |
| 10 | student_users | int | 否 | 否 | 学生用户 | |
| 11 | student_name | varchar | 64 | 否 | 否 | 学生姓名 |
| 12 | schedule_time | datetime | 否 | 否 | 安排时间 | |
| 13 | arrange_remarks | varchar | 64 | 否 | 否 | 安排备注 |
| 14 | examine_state | varchar | 16 | 是 | 否 | 审核状态 |
| 15 | examine_reply | varchar | 255 | 否 | 否 | 审核回复 |
| 16 | internship_check_in_limit_times | int | 是 | 否 | 签到限制次数 | |
| 17 | internship_evaluation_limit_times | int | 是 | 否 | 评价限制次数 | |
| 18 | internship_feedback_limit_times | int | 是 | 否 | 反馈次数 | |
| 19 | mentor_communication_limit_times | int | 是 | 否 | 沟通次数 | |
| 20 | create_time | datetime | 是 | 否 | 创建时间 | |
| 21 | update_time | timestamp | 是 | 否 | 更新时间 |
岗位申请表主要是用来记录学生对实习岗位的申请情况。主要包括招聘标题、学生专业、求职意向、简历照片等。岗位申请表如表4-6所示。
表4-6 岗位申请表
| 编号 | 字段名 | 类型 | 长度 | 是否非空 | 是否主键 | 注释 |
| 1 | job_application_id | int | 是 | 是 | 岗位申请ID | |
| 2 | enterprise_users | int | 否 | 否 | 企业用户 | |
| 3 | enterprise_name | varchar | 64 | 否 | 否 | 企业名称 |
| 4 | recruitment_title | varchar | 64 | 否 | 否 | 招聘标题 |
| 5 | professional_recruitment | varchar | 64 | 否 | 否 | 招聘专业 |
| 6 | recruitment_positions | varchar | 64 | 否 | 否 | 招聘岗位 |
| 7 | recruitment_location | varchar | 64 | 否 | 否 | 招聘地点 |
| 8 | recruitment_salary | varchar | 64 | 否 | 否 | 招聘薪资 |
| 9 | recruitment_requirements | varchar | 64 | 否 | 否 | 招聘要求 |
| 10 | mentor_user | int | 否 | 否 | 导师用户 | |
| 11 | student_users | int | 否 | 否 | 学生用户 | |
| 12 | student_name | varchar | 64 | 否 | 否 | 学生姓名 |
| 13 | student_major | varchar | 64 | 否 | 否 | 学生专业 |
| 14 | professional_skills | varchar | 64 | 否 | 否 | 专业技能 |
| 15 | job_intention | varchar | 64 | 否 | 否 | 求职意向 |
| 16 | resume_photo | varchar | 255 | 否 | 否 | 简历照片 |
| 17 | create_time | datetime | 是 | 否 | 创建时间 | |
| 18 | update_time | timestamp | 是 | 否 | 更新时间 |
导师用户表主要是用来记录学生导师的基本信息与审核状态。主要包括导师姓名、导师性别、导师年龄、审核状态等。导师用户表如表4-7所示。
表4-7 导师用户表
| 编号 | 字段名 | 类型 | 长度 | 是否非空 | 是否主键 | 注释 |
| 1 | mentor_user_id | int | 是 | 是 | 导师用户ID | |
| 2 | mentor_name | varchar | 64 | 否 | 否 | 导师姓名 |
| 3 | mentor_gender | varchar | 64 | 否 | 否 | 导师性别 |
| 4 | mentors_age | varchar | 64 | 否 | 否 | 导师年龄 |
| 5 | examine_state | varchar | 16 | 是 | 否 | 审核状态 |
| 6 | user_id | int | 是 | 否 | 用户ID | |
| 7 | create_time | datetime | 是 | 否 | 创建时间 | |
| 8 | update_time | timestamp | 是 | 否 | 更新时间 |
学生用户表主要是用来记录实习学生的基本资料与实习意向。主要包括学生姓名、学生专业、专业技能、求职意向等。学生用户表如表4-8所示。
表4-8 学生表
| 编号 | 字段名 | 类型 | 长度 | 是否非空 | 是否主键 | 注释 |
| 1 | student_users_id | int | 是 | 是 | 学生用户ID | |
| 2 | mentor_user | int | 否 | 否 | 导师用户 | |
| 3 | student_name | varchar | 64 | 否 | 否 | 学生姓名 |
| 4 | student_gender | varchar | 64 | 否 | 否 | 学生性别 |
| 5 | student_age | varchar | 64 | 否 | 否 | 学生年龄 |
| 6 | student_major | varchar | 64 | 否 | 否 | 学生专业 |
| 7 | professional_skills | varchar | 64 | 否 | 否 | 专业技能 |
| 8 | job_intention | varchar | 64 | 否 | 否 | 求职意向 |
| 9 | examine_state | varchar | 16 | 是 | 否 | 审核状态 |
| 10 | user_id | int | 是 | 否 | 用户ID | |
| 11 | create_time | datetime | 是 | 否 | 创建时间 | |
| 12 | update_time | timestamp | 是 | 否 | 更新时间 |
管理员表主要是用来记录系统后台管理员账户的基本信息。主要包括用户名、登录时间、手机号码、账户状态等。管理员表如表4-9所示。
表4-9 管理员表
| 编号 | 字段名 | 类型 | 长度 | 是否非空 | 是否主键 | 注释 |
| 1 | user_id | int | 是 | 是 | 管理员ID | |
| 2 | state | smallint | 是 | 否 | 账户状态 | |
| 3 | login_time | timestamp | 是 | 否 | 登录时间 | |
| 4 | phone | varchar | 11 | 否 | 否 | 手机号码 |
| 5 | username | varchar | 16 | 是 | 否 | 用户名 |
| 6 | nickname | varchar | 16 | 否 | 否 | 昵称 |
| 7 | password | varchar | 64 | 是 | 否 | 密码 |
| 8 | update_time | timestamp | 是 | 否 | 更新时间 |
5 系统实现
学生登录后,进入实习岗位页面,浏览企业发布的实习岗位列表。可根据岗位名称、专业要求、地点等条件筛选,点击具体岗位查看详细信息,包括岗位描述、要求、薪资待遇等。实习岗位查看界面如图5-1所示。

图5-1 实习岗位查看界面
在实习岗位详情页面,学生点击“申请”按钮提交申请。系统提示填写个人简历信息,确认无误后提交。提交后,可在个人中心查看申请状态,等待企业回复。岗位申请界面如图5-2所示。

图5-2 岗位申请界面
学生访问招聘活动页面,浏览当前企业或学校组织的招聘活动列表。点击具体活动,查看活动时间、地点、内容等详细信息。招聘活动查看界面如图5-3所示。

图5-3 招聘活动查看界面
学生在个人中心的面试安排模块,查看企业针对其申请发出的面试通知。包括面试时间、地点、形式等信息。学生需根据通知准时参加面试。面试安排查看界面如图5-4所示。

图5-4 面试安排查看界面
实习期间,学生每日需在系统内进行签到。进入实习签到页面,系统自动获取当前位置,确认无误后点击“签到”按钮完成签到记录。实习签到界面如图5-5所示。

图5-5 实现签到界面
如需请假,学生在实习请假模块提交请假申请。填写请假日期、天数、原因等信息,提交后等待导师或企业审核。审核结果可在个人中心查看。实习请假界面如图5-6所示。

图5-6 实现请假
学生需提交实习报告。在实习报告管理页面,填写报告标题、内容等信息,提交后等待导师评阅。评阅结果可在系统内查看。实习报告管理界面如图5-7所示。

图5-7 实现报告管理
企业用户登录后,进入实习岗位管理页面,发布新的实习岗位。填写岗位名称、描述、要求、薪资等信息,提交后岗位信息对学生可见。可对已发布岗位进行编辑或删除。实习岗位管理界面如图5-8所示。

图5-8 实现岗位管理
在岗位申请管理模块,企业查看学生提交的岗位申请列表。点击具体申请,查看学生简历和申请信息,进行申请审核,安排面试。岗位申请管理界面如图5-9所示。

图5-9 岗位申请管理
对于通过初步筛选的学生,企业在面试安排管理页面发送面试邀请。填写面试时间、地点、形式等信息,发送后学生可在系统内查看并确认。面试安排管理界面如图5-10所示。

图5-10 面试安排管理
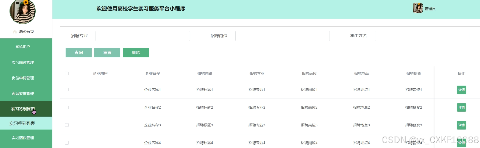
企业在实习签到管理模块查看学生的签到记录。可按照岗位、学生姓名等条件筛选,了解学生出勤情况,作为实习评估依据。实习签到管理界面如图5-11所示。

图5-11 实现签到管理
企业在招聘活动管理页面发布招聘活动信息。填写活动名称、时间、地点、内容等,发布后学生可在系统内查看并报名。可对已发布活动进行编辑或取消。招聘活动管理界面如图5-12所示。

图5-12 招聘活动管理
导师登录后,进入岗位申请管理页面,查看所指导学生的岗位申请情况。可对学生提供意见或建议,帮助学生选择合适岗位。岗位申请管理界面如图5-13所示。

图5-13 岗位申请管理
在实习签到管理模块,导师查看学生的签到记录,了解学生实习出勤情况。可对异常签到情况进行提醒或处理。实习签到管理界面如图5-14所示。

图5-14 实现签到管理
导师在实习请假管理页面处理学生提交的请假申请。查看请假原因、时间等信息,选择批准或拒绝,并可填写审核意见。实习请假管理界面如图5-15所示。

图5-15 实现请假管理
通过导师沟通管理模块,导师与企业进行在线交流。回复企业的咨询,记录沟通内容,便于后续跟踪。导师沟通管理界面如图5-16所示。

图5-16 导师沟通管理
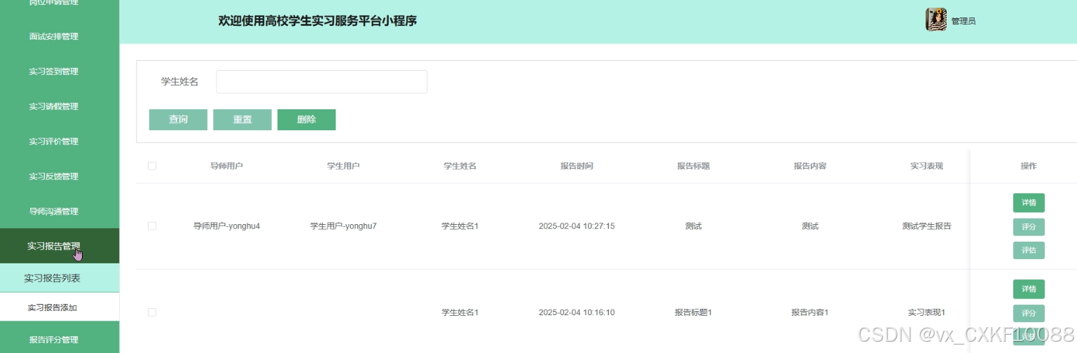
导师在实习报告管理页面查看并评阅学生提交的实习报告。填写评语和评分,进行评估等操作,提交后学生可在系统内查看评阅结果。实习报告管理界面如图5-17所示。

图5-17 实现报告管理
管理员登录后,进入用户管理页面,管理系统内的所有用户信息。可添加、编辑或删除学生、企业、导师等用户账号,设置权限,确保系统正常运行。用户管理界面如图5-18所示。

图5-18 用户管理
在实习岗位管理模块,管理员查看并审核企业发布的实习岗位信息。确保岗位内容符合规定,对违规岗位进行下架处理。实习岗位管理界面如图5-19所示。

图5-19 实现岗位管理
管理员在岗位申请管理页面监督学生的岗位申请流程。可进行审核申请并进行面试安排等操作。岗位申请管理界面如图5-20所示。

图5-20 岗位申请管理
在面试安排管理模块,管理员查看企业与学生的面试安排情况。可进行签到、评价、反馈、沟通、审核等操作,对出现的问题进行协调解决。面试安排管理界面如图5-21所示。

图5-21 面试安排管理
管理员在实习签到管理页面监督学生的签到记录。可查询、重置、删除实现签到信息。实习签到管理界面如图5-22所示。

图5-22 实习签到管理
在实习请假管理模块,管理员查看、删除、添加、
审核学生的请假申请。确保请假流程规范,对异常情况进行处理。实习请假管理界面如图5-23所示。

图5-23 实习请假管理
管理员在实习报告管理页面监督学生实习报告的提交和评阅情况。可进行查询、重置、删除、添加、评分等操作。实习报告管理界面如图5-24所示。

图5-24 实习报告管理
6 系统测试
系统测试的主要目的是确保系统的功能、性能和稳定性满足需求规格说明书中的要求,并验证系统在实际使用环境中的可用性和可靠性。通过测试,可以发现软件中的缺陷、漏洞和潜在问题,确保系统运行的准确性、完整性和安全性。在功能测试中,目的是验证系统各功能模块是否按设计实现预期功能,例如用户登录、信息管理、数据查询等核心功能是否准确执行。性能测试的目的是验证系统在高并发、数据量大等压力场景下的响应时间和处理能力,确保系统具备良好的性能。兼容性测试的目的是确保系统在不同的硬件、软件和浏览器环境中能正常运行。测试还包括对异常处理和边界条件的验证,确保系统在异常场景下能够正确处理和恢复。最终,通过测试确保系统可以安全稳定地部署上线,为用户提供可靠的服务。
系统测试采用多种测试方法,以全面验证系统的功能和性能[19]。功能测试采用黑盒测试方法,通过设计测试用例直接验证系统功能是否符合需求,无需了解内部代码逻辑。例如,设计用例验证用户登录模块,通过输入合法和非法的用户名与密码,检查系统响应是否符合预期。性能测试采用压力测试和负载测试方法,通过模拟高并发用户访问、数据处理的场景,评估系统的响应时间、吞吐量和稳定性[20]。兼容性测试通过在不同操作系统、浏览器和硬件设备上运行系统,验证其在不同环境中的适应性。异常测试通过设计边界条件和异常输入,检查系统对非法数据和操作的处理能力。测试用例的设计需覆盖系统的所有功能模块和接口,确保测试过程的全面性。通过系统测试方法的综合应用,可以有效发现问题,并为系统的优化和改进提供依据。
岗位申请功能测试用例表是用来验证学生用户在岗位申请流程中的交互完整性与正确性。岗位申请功能测试用例表如表6-1所示。
表6-1 岗位申请功能测试用例表
| 测试项 | 测试用例 | 预期结果 | 结论 |
| 岗位申请功能测试 | 1. 登录学生账号 2. 进入“岗位申请”模块 3. 浏览岗位信息 | 系统展示可申请的岗位列表 | 通过 |
| 岗位申请功能测试 | 1. 点击岗位申请按钮 2. 填写申请表单 3. 提交申请 | 系统提示“申请成功”并记录申请信息 | 通过 |
| 岗位申请功能测试 | 1. 多次申请同一岗位 2. 提交重复申请 | 系统提示“已申请过该岗位,无法重复申请” | 通过 |
| 岗位申请功能测试 | 1. 企业账号登录后台 2. 查看岗位申请记录 | 成功查看所有学生申请记录 | 通过 |
| 岗位申请功能测试 | 1. 提交申请后切换到“我的申请”界面 | 显示当前用户所有申请岗位及状态 | 通过 |
面试安排功能测试用例表是用来验证学生查看面试安排信息的准确性与交互流程的正确性。面试安排功能测试用例表如表6-2所示。
表6-2 面试安排功能测试用例表
| 测试项 | 测试用例 | 预期结果 | 结论 |
| 面试安排功能测试 | 1. 登录学生账号 2. 进入“面试安排”模块 3. 查看面试列表 | 展示所有面试安排记录 | 通过 |
| 面试安排功能测试 | 1. 学生点击某条面试记录 2. 查看详情 | 显示企业、时间、岗位、备注等完整内容 | 通过 |
| 面试安排功能测试 | 1. 企业安排新面试 2. 学生端刷新页面 | 学生可查看新添加的面试安排 | 通过 |
| 面试安排功能测试 | 1. 无任何安排记录的情况下进入面试安排页面 | 页面提示“暂无安排记录” | 通过 |
实习签到功能测试用例表是用来验证学生签到功能的完整性和数据有效性。实习签到功能测试用例表如表6-3所示。
表6-3 实习签到功能测试用例表
| 测试项 | 测试用例 | 预期结果 | 结论 |
| 实习签到功能测试 | 1. 登录学生账号 2. 进入“实习签到”模块 3. 点击签到按钮 | 系统提示“签到成功”并记录签到时间 | 通过 |
| 实习签到功能测试 | 1. 一天内重复签到 2. 再次点击签到按钮 | 系统提示“已签到,无需重复操作” | 通过 |
| 实习签到功能测试 | 1. 企业端查看签到记录 | 成功显示所有学生签到明细 | 通过 |
| 实习签到功能测试 | 1. 签到页面无数据时进入 | 页面提示“暂无签到信息” | 通过 |
实习请假功能测试用例表是用来验证学生请假申请的提交流程与审核状态展示的正确性。实习请假功能测试用例表如表6-4所示。
表6-4 实习请假功能测试用例表
| 测试项 | 测试用例 | 预期结果 | 结论 |
| 实习请假功能测试 | 1. 登录学生账号 2. 进入“请假申请”模块 3. 填写信息并提交 | 系统提示“提交成功”,状态为“待审核” | 通过 |
| 实习请假功能测试 | 1. 导师账号登录 2. 查看学生请假申请 3. 点击“通过”或“驳回” | 系统更新审核状态并记录操作人 | 通过 |
| 实习请假功能测试 | 1. 学生查看“我的请假记录” | 显示所有提交的请假信息及当前审核状态 | 通过 |
| 实习请假功能测试 | 1. 提交空表单 | 系统提示“请完整填写申请信息” | 通过 |
实习岗位管理功能测试用例表是用来验证企业用户发布岗位与岗位展示功能是否正常。实习岗位管理功能测试用例表如表6-5所示。
表6-5 实习岗位管理功能测试用例表
| 测试项 | 测试用例 | 预期结果 | 结论 |
| 实习岗位管理功能测试 | 1. 企业用户登录 2. 进入“岗位管理”模块 3. 点击“发布岗位”按钮 | 跳转到表单页面,支持输入相关岗位信息 | 通过 |
| 实习岗位管理功能测试 | 1. 填写招聘岗位信息 2. 点击“保存并发布” | 系统提示“发布成功”,岗位展示在学生端 | 通过 |
| 实习岗位管理功能测试 | 1. 企业用户点击某条岗位 2. 编辑后保存 | 系统更新岗位信息并同步展示 | 通过 |
| 实习岗位管理功能测试 | 1. 删除某个岗位 2. 确认删除 | 该岗位从系统中删除并不再展示 | 通过 |
用户管理功能测试用例表是用来验证管理员对各类用户账号的管理操作。用户管理功能测试用例表如表6-6所示。
表6-6 用户管理功能测试用例表
| 测试项 | 测试用例 | 预期结果 | 结论 |
| 用户管理功能测试 | 1. 管理员登录系统 2. 进入“用户管理”模块 | 系统展示所有用户类型列表 | 通过 |
| 用户管理功能测试 | 1. 点击某用户账号详情 2. 查看基本资料 | 显示该用户信息,包括姓名、状态、权限等 | 通过 |
| 用户管理功能测试 | 1. 修改用户状态为“停用” 2. 学生尝试登录 | 登录失败,提示账号被禁用 | 通过 |
| 用户管理功能测试 | 1. 新增用户账号 2. 填写完整信息 3. 点击保存 | 系统提示“添加成功”,新账号可登录 | 通过 |
经过系统全面的功能测试、性能测试和可靠性测试,本系统在测试环境下运行良好,功能模块均按照设计要求实现,核心功能表现稳定,未发现严重功能缺陷或阻塞性问题。所有关键测试用例均通过,覆盖率达到预期目标,验证了系统的功能性、稳定性和兼容性。
7 总结
本论文围绕实习管理系统的开发与实现展开,结合当前高校学生实习管理需求与企业实际岗位供给问题,设计并构建了一个基于微信小程序与SpringBoot的多角色信息管理平台。论文首先介绍了本课题的研究背景与意义,分析了国内外在实习信息化管理方面的研究现状。在相关技术部分,论文重点介绍了系统所依赖的核心开发技术,包括Java语言、SpringBoot框架、微信小程序开发技术以及MySQL数据库,为系统开发提供了可靠的技术基础。通过详细的功能与非功能需求分析,明确了系统需支持的核心模块,如岗位申请、面试安排、实习签到、请假管理等,同时从技术、操作、社会和经济四个维度对系统的可行性进行了全面分析。
系统设计部分从整体架构、功能模块、系统流程以及数据库设计几个方面展开,结合岗位申请、请假申请、用户管理等典型流程进行系统建模。随后,论文对系统的各角色功能模块进行了具体实现,包括学生端的岗位查看与申请、企业端的岗位与面试管理、导师端的学生沟通与审批、管理员端的全局用户与数据管理等。系统测试章节基于实际业务流程设计了详细的测试用例,采用功能测试方法对主要模块进行验证,确保系统稳定性与可靠性。
参考文献
- 廖洁,苏华玲,陈婷婷,等.高校学生就业服务数据分析与可视化平台的设计与实现[J].现代信息科技,2024,8(17):83-88.
- 轩璐.高校精准推送就业服务平台设计[J].电脑编程技巧与维护,2021,(09):114-116.
- 张焕焕.高校学生就业指导工作的创新分析[J].造纸装备及材料,2020,49(01):137+148.
- Taiwei S .Design of cross-cultural teaching management system for international students based on cloud service platform[J].Computers and Electrical Engineering,2022,102
- Yi J ,Yang F .Innovation and Entrepreneurship Information Data Service Platform for College Students in Ordinary Colleges and Universities[J].Adult and Higher Education,2022,4(2):
- Zhang Y .Research on the Construction of Innovation and Entrepreneurship Service Platform for College Students Integrating Mobile Internet and Entrepreneurship Practice[J].Journal of Physics Conference Series,2020,1574(1):012068.
- 冯志林.Java EE程序设计与开发实践教程[M].机械工业出版社:202105.353.
- 尹应荆.JAVA编程语言在计算机软件开发中的应用[J].石河子科技,2023,(05):45-47.
- 马庆.计算机软件开发中JAVA编程语言的应用[J].山西电子技术,2023,(06):84-86+98.
- 李哲,周灵.微信小程序的架构与开发浅析[J].福建电脑,2021,35(12):66-69.
- 王婷婷.微信小程序开发[J].信息技术与信息化,2020(12):62-63.
- 徐星明. 微信小程序第三方平台的设计与实现[D].山东大学,2020.
- 王志亮,纪松波.基于SpringBoot的Web前端与数据库的接口设计[J].工业控制计算机,2023,36(03):51-53.
- 熊永平.基于SpringBoot框架应用开发技术的分析与研究[J].电脑知识与技术,2021,15(36):76-77.
- 李艳杰.MySQL数据库下存储过程的综合运用研究[J].现代信息科技,2023,7(11):80-82+88.
- 王景.基于MySQL的数据库查询性能优化技术研究[J].电脑与电信,2022,(06):90-93.
- 周晓玉,崔文超.基于Web技术的数据库应用系统设计[J].信息与电脑(理论版),2023,35(09):189-191.
- 马艳艳,吴晓光.计算机软件与数据库的设计策略分析[J].电子技术,2024,53(05):104-105.
- 李俊萌.计算机软件测试技术与开发应用策略分析[J].信息记录材料,2023,24(03):50-52.
- 刘娜.计算机软件的测试方法与应用[J].集成电路应用,2023,40(12):60-61.
致 谢
本论文的完成离不开众多导师、同学以及亲友的支持与帮助。在此,首先向我的导师表示最诚挚的感谢。在整个研究和写作过程中,导师以严谨治学的态度和丰富的专业知识给予了我无私的指导,从论文选题到最终定稿的每一个环节,都为我提供了宝贵的建议与意见,使我得以不断完善研究内容、拓展学术视野。导师耐心细致的指导不仅帮助我解决了许多学术难题,也让我在研究能力与学术写作方面得到了显著的提升。导师的鼓励与支持是我完成这篇论文的重要动力,也让我深刻体会
到学术研究的严谨性与意义。
我还要感谢在学习生活中给予我帮助和支持的同学、朋友以及家人。论文撰写过程中,许多同学与我共同探讨问题,分享经验与资料,使我的研究更加全面深入。朋友们的关心和陪伴让我在繁忙的研究过程中能够调节心情,保持良好的状态。特别感谢我的家人,他们始终给予我无条件的理解和支持,为我创造了安心学习与研究的环境。正是因为有了大家的帮助和支持,我才能克服论文写作中的重重困难并顺利完成。再次向所有支持和帮助过我的人表达衷心的感谢。。

被折叠的 条评论
为什么被折叠?



