摘 要
本文介绍了一种基于SSM框架开发的实验室管理系统——易管通实验室管理系统。该系统旨在为高校和科研机构提供一个高效、便捷的实验室资源管理平台,涵盖了实验室预约、设备管理、学生成绩、公告通知、科普资源等多项功能。通过采用SSM架构,该系统实现了前后端的高效交互和数据的高效处理,保证了系统的稳定性和扩展性。
实验室管理员、教师和学生等不同用户角色能够通过不同的权限进行相应的操作,确保系统的安全性和资源的合理分配。系统通过简化管理流程、优化资源使用、提高实验室管理效率,为用户提供了一个全面、高效的管理工具。
关键词:易管通实验室管理系统;SSM框架;实验室预约;资源管理
ABSTRACT
This article introduces a laboratory management system developed based on the SSM framework - the Yiguantong Laboratory Management System. The system aims to provide an efficient and convenient laboratory resource management platform for universities and research institutions, covering multiple functions such as laboratory reservation, equipment management, student grades, announcement notifications, and popular science resources. By adopting the SSM architecture, the system achieves efficient interaction between the front-end and back-end and efficient processing of data, ensuring the stability and scalability of the system.
Different user roles such as laboratory administrators, teachers, and students can perform corresponding operations with different permissions to ensure the security of the system and the rational allocation of resources. The system provides users with a comprehensive and efficient management tool by simplifying management processes, optimizing resource utilization, and improving laboratory management efficiency.
Keywords: Yiguantong Laboratory Management System; SSM framework; Laboratory reservation; resource management
目 录
1 绪论
1.1 研究背景和意义
随着现代高等教育和科研活动的不断发展,实验室作为科研和教学的重要基础设施,发挥着举足轻重的作用。实验室资源的合理配置和管理直接影响到教学质量和科研效率。然而,传统的实验室管理方式多依赖手工记录和纸质文件,管理过程繁琐且易出错,导致资源利用不充分,管理效率低下。此外,实验室的设备、资源和预约等信息分散,缺乏统一的管理平台,使得实验室管理的透明度和效率受到较大限制。
在这种背景下,实验室管理系统的开发成为提高实验室管理水平的重要手段。通过信息化手段整合实验室的预约、设备管理、成绩信息、公告通知等功能,能够实现资源的优化配置,提高实验室管理的效率。特别是在高校和科研机构中,实验室管理系统不仅能够减轻管理员的工作负担,还能够为师生提供一个便捷的使用平台,提升资源利用率,保障教学和科研活动的顺利进行。
易管通实验室管理系统的研究与开发,正是基于对实验室管理现状的深入分析,旨在为高校实验室提供一个高效、便捷的管理平台。通过集成实验室预约、设备管理、成绩管理、知识科普等多项功能,系统能够为不同角色的用户提供个性化的服务,优化实验室资源的使用效率。同时,系统的管理功能也使得实验室管理员能够更加高效地调配资源,提升实验室的整体运作效率。通过这些举措,实验室管理将更加科学化、精细化,进一步促进教学质量和科研水平的提高。
1.2 国内外研究现状
随着实验室管理信息化需求的增加,国内外许多高校和科研机构逐渐意识到传统实验室管理模式的不足,纷纷开始探索信息化管理系统的应用与开发。国外的实验室管理系统研究起步较早,许多发达国家在实验室资源管理、设备维护、预约管理等方面已有一定的成果。例如,美国和欧洲的部分高校和科研机构,已采用信息化手段进行实验室资源的统一管理,并通过自建系统或采购成熟平台,提高实验室管理效率和资源利用率。这些系统大多注重多功能模块的整合,能够实现用户管理、设备预约、实验室资源调度等一系列功能,且通过数据分析进一步优化资源配置。
在国内,随着高等教育和科研水平的不断发展,实验室管理的信息化建设也逐渐得到重视。许多高校开始开发或引入实验室管理系统,推动实验室管理从传统的手工模式向信息化、智能化转型。近年来,国内研究多集中在实验室预约、设备管理、成绩信息管理等方面。部分高校已建立了实验室预约系统、设备维护系统和实验室信息化管理平台,部分系统甚至通过集成云计算、大数据等技术来进一步提高实验室管理的智能化水平。然而,尽管国内许多实验室管理系统在功能上逐步丰富,但在系统的稳定性、用户体验、系统安全性等方面仍有待提升。
目前,国内外对实验室管理系统的研究大多集中在如何通过信息化手段提升实验室资源的使用效率和管理便捷性。各类系统的开发和实施都在推动实验室管理从传统模式向现代化、智能化方向发展。虽然国外在实验室管理系统的研究和应用上相对成熟,但国内也在逐步迎头赶上。随着信息技术的不断发展和需求的不断变化,实验室管理系统的功能不断扩展,系统设计和技术应用也越来越多样化,这为未来实验室管理的进一步优化提供了有力支持。
2.相关技术介绍
2.1B/S框架
B/S(Browser/Server)架构是一种基于浏览器和服务器的应用架构模式。它以Web浏览器作为客户端,服务器端通过Web技术提供应用服务。客户端通过浏览器与服务器进行交互,用户无需安装专门的客户端应用程序,只需要通过互联网连接即可访问应用程序[1]。在B/S架构中,客户端主要承担用户界面的呈现和基本的输入输出功能,而核心的业务处理、数据存储等操作则由服务器端完成。这种架构的核心优势在于无需在每个客户端机器上安装或更新软件,只要用户的浏览器符合要求,就可以使用系统。
B/S(Browser/Server)架构是一种网络架构模型,其主要特点是客户端通过浏览器与服务器进行通信,所有的业务逻辑和数据处理都在服务器端完成,客户端仅负责展示数据[2]。B/S架构本质上是一种客户端-服务器模式的变体,它通过将传统的C/S(Client/Server)架构中的客户端功能移到浏览器中,简化了客户端的开发和维护工作。在B/S架构中,用户通过浏览器发送请求,浏览器负责展示从服务器获取的数据,服务器则处理请求并返回响应。该架构避免了安装和配置客户端软件的麻烦,也减少了对客户端硬件的依赖,适合于需要大规模部署和跨平台支持的应用系统。
B/S模式三层结构图如图2-1所示。

图2-1 B/S模式三层结构图
2.2 SSM框架介绍
SSM(Spring+SpringMVC+MyBatis)框架集由Spring、MyBatis两个开源框架整合而成(SpringMVC是Spring中的部分内容)。常作为数据源较简单的web项目的框架。
2.2.1 Spring
Spring就像是整个项目中装配bean的大工厂,在配置文件中可以指定使用特定的参数去调用实体类的构造方法来实例化对象[3]。也可以称之为项目中的粘合剂。
Spring的核心思想是IoC(控制反转),即不再需要程序员去显式地`new`一个对象,而是让Spring框架帮你来完成这一切。
2.2.2 SpringMVC
SpringMVC在项目中拦截用户请求,它的核心Servlet即DispatcherServlet承担中介或是前台这样的职责,将用户请求通过HandlerMapping去匹配Controller,Controller就是具体对应请求所执行的操作。SpringMVC相当于SSH框架中struts。
2.2.3 mybatis
mybatis是对jdbc的封装,它让数据库底层操作变的透明[4]。mybatis的操作都是围绕一个sqlSessionFactory实例展开的。mybatis通过配置文件关联到各实体类的Mapper文件,Mapper文件中配置了每个类对数据库所需进行的sql语句映射。在每次与数据库交互时,通过sqlSessionFactory拿到一个sqlSession,再执行sql命令。
页面发送请求给控制器,控制器调用业务层处理逻辑,逻辑层向持久层发送请求,持久层与数据库交互,后将结果返回给业务层,业务层将处理逻辑发送给控制器,控制器再调用视图展现数据。
2.3 Vue技术
Vue.js是一款用于构建用户界面的渐进式JavaScript框架,提供一种灵活而高效的方式来开发单页面应用(SPA)。Vue的设计理念是通过尽量简化开发过程,提供一种声明式的方式来构建用户界面[5]。Vue.js通过数据驱动的视图模型,允许开发者以声明式语法绑定数据与视图,使得应用的状态和界面表现更加简洁和可维护。它的核心思想是通过组件化开发将复杂的UI拆分为可重用的独立模块,从而提升了代码的模块化、可维护性和可扩展性。
Vue.js具备响应式数据绑定和虚拟DOM的特性。响应式数据绑定意味着当数据变化时,Vue会自动更新与之绑定的DOM元素,从而实现视图的实时更新。虚拟DOM则是Vue.js的一种优化手段,通过将对DOM的操作抽象为一个虚拟的DOM树来提高性能,减少实际DOM操作的开销[6]。Vue还提供了丰富的插件和工具,如Vue Router用于路由管理,Vuex用于状态管理,方便开发者构建复杂的前端应用。Vue的灵活性和简洁性使其成为现代Web开发中常用的前端框架之一。
2.4 MySQL数据库
MySQL是一种开源的关系型数据库管理系统(RDBMS),基于SQL(结构化查询语言)进行数据操作。作为一个被广泛使用的数据库系统,MySQL具有高度的性能、可扩展性和可靠性。MySQL使用表格结构来存储数据,每个表由多个列和行组成,数据通过SQL查询语言进行操作[7]。MySQL支持多种数据类型,如整数、浮动小数、字符串、日期等,以满足不同应用场景对数据存储的需求。在实际应用中,MySQL通常用于存储和管理结构化数据,通过索引、视图、触发器等功能提升数据查询的效率和数据的完整性。
MySQL支持ACID事务特性(原子性、一致性、隔离性、持久性),确保数据库操作的可靠性和数据的一致性。它还支持多种存储引擎,其中InnoDB是最常用的存储引擎,具备事务支持、行级锁定和外键约束等特性,适用于高并发、高可靠性的数据存储需求。MySQL可以通过主从复制、分区和分库分表等技术实现横向扩展,以应对大规模数据存储和高负载的应用需求。MySQL还具有灵活的权限管理机制,支持用户角色管理、细粒度的权限控制等,保障数据的安全性。
3. 系统分析
3.1 可行性分析
3.1.1技术可行性
易管通实验室管理系统在技术上是完全可行的。SSM框架作为业界广泛使用的轻量级、开源的Java Web开发框架,具有成熟稳定、高效灵活的特点,能够满足易管通实验室管理系统的技术需求。Spring提供全面的编程和配置模型,SpringMVC实现了模型-视图-控制器的设计模式,而MyBatis则简化了数据库操作。三者结合使用,可以确保系统具备良好的可扩展性、可维护性和稳定性。
3.1.2经济可行性
在开发易管通实验室管理系统中所使用的开发软件像IDEA开发工具、Tomcat服务器、MySQL数据库等,这些都是开源免费的,这些环境在学校都进行了系统的学习,自己能够独立操作完成,不需要额外花费,而且系统的开发工具从网上都可以直接下载,因此在经济方面是可行的。
3.1.3操作可行性
可操作性主要是对易管通实验室管理系统设计完成后,用户的使用体验度,以及管理员可以通过系统随时管理相关的数据信息,并且对于管理员、学生用户、教师用户三种角色,都可以简单明了的进入到自己的系统界面,通过界面导航菜单可以简单明了地操作功能模块,方便用户信息的操作需求和管理员管理数据信息,对于系统的操作,不需要专业人员都可以直接进行功能模块的操作管理,所以在系统的可操作性是完全可以的。本系统的操作使用的也是界面窗口进行登录,所以操作人员只要会简单的电脑操作就完全可以的。
3.2 功能需求分析
3.2.1 功能性分析
按照易管通实验室管理系统的角色,划分为了学生用户模块、教师用户模块和管理员模块这三大部分。
(一)学生用户功能需求分析:
1. 首页:学生可以通过首页查看实验室信息、公告通知和相关内容,了解最新的动态。
2. 公告通知:学生能够查看系统发布的各类公告,及时了解重要通知和信息。
3. 知识科普:学生可以浏览科普内容,了解与实验室相关的各种科普知识。
4. 实验室信息:学生可以查看实验室的详细信息,如实验室开放时间、设备情况等,帮助其合理安排实验。
5. 我的账户:学生可以查看和管理自己的账户信息,包括个人资料和密码等。
6. 个人中心:
个人首页: 查看个人基本信息和相关记录。
学生预约: 学生可以预约实验室进行相关实验操作。
取消预约: 学生可以取消已预约的实验室,若预约规则允许的话。
课堂预约: 学生可以预约与课程相关的实验室。
成绩信息: 学生可以查看自己的实验成绩。
收藏: 学生可以收藏自己感兴趣的实验室、课程或其他内容。
评论管理: 学生可以对实验室、课程等进行评价和反馈。
(二)教师用户功能需求分析
1. 首页:教师可以通过首页查看实验室信息、公告通知和相关内容,方便快速进入系统。
2. 公告通知:教师能够查看实验室系统发布的公告通知,了解最新动态。
3. 知识科普:教师可以访问系统提供的科普内容,帮助自己更好地理解实验室资源。
4. 实验室信息:教师可以查看实验室的详细信息,了解实验室的资源和使用情况。
5. 我的账户:教师可以管理个人账户信息,包括密码设置、个人资料等。
6. 个人中心:
个人首页: 查看个人基本信息和记录。
教师预约: 教师可以预约实验室资源以进行教学或研究活动。
课堂预约: 教师可预约实验室用于课堂教学。
成绩信息: 教师可以查看学生的实验成绩,进行评定和修改。
仪器申报: 教师可申请使用实验室内的仪器设备,确保教学顺利进行。
收藏: 教师可以收藏实验室、设备、科普内容等,便于管理和查找。
评论管理: 教师可以对实验室设备、教学资源等进行评价和管理。
(三)管理员功能需求分析
1. 后台首页:管理员可以在首页查看系统的基本数据,快速进入各项管理功能,确保系统运行的高效性。
2. 系统用户:管理员负责管理系统中的所有用户,包括学生和教师。可以查看、编辑或删除用户信息,并可设置用户权限。
3. 实验室信息管理:管理员可以新增、编辑或删除实验室的信息,确保实验室信息的准确性和及时更新。
4. 预约时段管理:管理员可以设置实验室的开放时段、预约规则等,确保实验室的合理利用。
5. 学生预约管理:管理员可以查看和管理学生的预约情况,审核或取消不符合规则的预约。
6. 取消预约管理:管理员可以处理学生和教师的预约取消请求,确保预约系统的顺畅运作。
7. 教师预约管理:管理员可以查看和管理教师的实验室预约情况,调整实验室资源的分配。
8. 课堂预约管理:管理员负责处理课堂预约的相关事务,包括课程的安排和预约时段的确认。
9. 成绩信息管理:管理员可以查看学生的成绩信息,并可在系统中进行相应的调整或更新。
10. 仪器申报管理:管理员可管理实验室内仪器的申报,确保仪器设备的正常使用。
11. 系统管理(轮播图):管理员可以设置系统首页的轮播图,更新系统展示的内容。
12. 公告通知管理:管理员负责发布、编辑和管理系统内的公告和通知,及时传达重要信息。
13. 资源管理(知识科普、科普分类):管理员可添加、编辑或删除知识科普内容,并进行分类管理。
14. 权限管理:管理员可以设置不同用户的权限,确保系统的安全性和操作的合规性。
3.2.2 非功能性分析
易管通实验室管理系统的非功能性需求比如系统的安全性怎么样,可靠性怎么样,性能怎么样,可拓展性怎么样等。具体可以表示在如下3-1表格中:
表3-1易管通实验室管理系统非功能需求表
| 安全性 | 主要指易管通实验室管理系统数据库的安装,数据库的使用和密码的设定必须合乎规范。 |
| 可靠性 | 可靠性是指易管通实验室管理系统能够安装用户的指示进行操作,经过测试,可靠性90%以上。 |
| 性能 | 性能是影响易管通实验室管理系统占据市场的必要条件,所以性能最好要佳才好。 |
| 可扩展性 | 比如数据库预留多个属性,比如接口的使用等确保了系统的非功能性需求。 |
| 易用性 | 用户只要跟着易管通实验室管理系统的页面展示内容进行操作,就可以了。 |
| 可维护性 | 易管通实验室管理系统开发的可维护性是非常重要的,经过测试,可维护性没有问题 |
3.3 系统用例分析
通过3.2功能的分析,得出了系统的用例图:
学生用户用例图如下所示。

图3-1 学生用户用例图
教师用户用例图如下所示。

图3-2 教师用户用例图
管理员用例图如下所示。

图3-3 管理员用例图
3.4 系统的流程分析
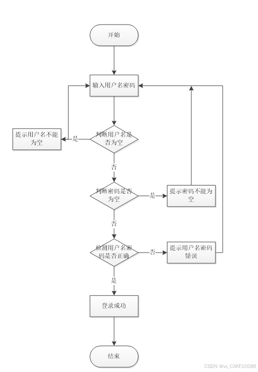
3.4.1登录流程

图3-4登录流程图
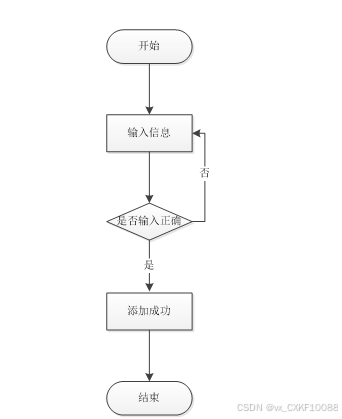
3.4.2添加信息流程
添加信息流程图,如下图所示:

图3-5添加信息流程图
3.4.3删除信息流程
删除信息流程图,如下图所示:

图3-6删除信息流程图
4. 系统总体设计
4.1 系统架构设计
本系统主要使用了五层架构进行开发,主要分为“表现层”、“控制层”、“服务层”、“业务逻辑层”、“数据访问层”。
“表现层”主要作为与用户交互的接口,提供给用户良好的可体验性,本系统在前后端交互主要使用的是Ajax技术来实现数据传输,不仅可以达到无刷新交互,同时还拥有较稳定的运行状态[8]。
“控制层”主要控制前端界面和后端程序数据之间的同步,然后根据前端请求完成数据更新或者是界面控制。以及负责将“服务层”提供的服务进行最后组装并调用。
“服务层”介于“控制层”和“业务逻辑层”之间,主要是将“业务逻辑层”的数据服务进行再一次组装,之后在作为接口提供给“控制层”使用。
“业务逻辑层”主要是动态的调用“数据访问层”的方法,对复杂的算法进行操作,处理前端传过来的请求并且做出相应的逻辑处理。
“数据访问层”主要负责对数据库的访问,可以访问数据库系统、文本文件、二进制文件、xml文档等等。负责业务对象的增加,修改,删除,加载[9]。
系统架构图如图4-1所示。

图4-1系统架构图
4.2开发流程设计
易管通实验室管理系统的开发对管理模块和系统使用的数据库进行分析,编写代开发,规划和操作是构建信息管理应用程序的必要三步曲,它决定了系统是否能够真正实现预设功能以及是否可以在成功设计后实施。在开发过程中,每个阶段必须严格按照线性顺序进行开发,并且在相应阶段生成的每个工作都可以通过技术进行验证和检查。确保一个阶段完成后是正确的,不会造成下一阶段拖拽现象,使系统完成设计功能后得到保证。
从易管通实验室管理系统的成功开发经验来看,上述方法效果最为明显,最大程度地降低了系统开发的复杂性。如图4-2所示。

图4-2开发系统流程图
4.3系统功能模块设计
通过对易管通实验室管理系统的功能需求分析以及用例分析,得出了易管通实验室管理系统的功能模块图如图4-3所示。

4.4数据库设计
数据库设计一般包括需求分析、概念模型设计、数据库表建立三大过程,其中需求分析前面章节已经阐述,概念模型设计有概念模型和逻辑结构设计两部分。
4.4.1 数据库概念结构设计
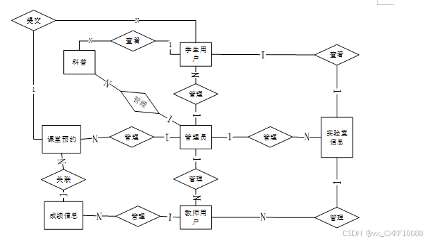
下面是整个易管通实验室管理系统中主要的数据库表总E-R实体关系图。

图4-4 系统总体ER图
4.4.2数据表
将数据库概念设计的E-R图转换为关系数据库。在关系数据库中,数据关系由数据表组成,但是表的结构表现在表的字段上。
| 编号 | 字段名 | 类型 | 长度 | 是否非空 | 是否主键 | 注释 |
| 1 | token_id | int | 是 | 是 | 临时访问牌ID | |
| 2 | token | varchar | 64 | 否 | 否 | 临时访问牌 |
| 3 | info | text | 65535 | 否 | 否 | 信息 |
| 4 | maxage | int | 是 | 否 | 最大寿命:默认2小时 | |
| 5 | create_time | timestamp | 是 | 否 | 创建时间 | |
| 6 | update_time | timestamp | 是 | 否 | 更新时间 | |
| 7 | user_id | int | 是 | 否 | 用户编号 |
表 4-2-appointment_period(预约时段)
| 编号 | 字段名 | 类型 | 长度 | 是否非空 | 是否主键 | 注释 |
| 1 | appointment_period_id | int | 是 | 是 | 预约时段ID | |
| 2 | appointment_period | varchar | 64 | 否 | 否 | 预约时段 |
| 3 | create_time | datetime | 是 | 否 | 创建时间 | |
| 4 | update_time | timestamp | 是 | 否 | 更新时间 |
表 4-3-article(文章)
| 编号 | 字段名 | 类型 | 长度 | 是否非空 | 是否主键 | 注释 |
| 1 | article_id | mediumint | 是 | 是 | 文章id | |
| 2 | title | varchar | 125 | 是 | 是 | 标题 |
| 3 | type | varchar | 64 | 是 | 否 | 文章分类 |
| 4 | hits | int | 是 | 否 | 点击数 | |
| 5 | praise_len | int | 是 | 否 | 点赞数 | |
| 6 | create_time | timestamp | 是 | 否 | 创建时间 | |
| 7 | update_time | timestamp | 是 | 否 | 更新时间 | |
| 8 | source | varchar | 255 | 否 | 否 | 来源 |
| 9 | url | varchar | 255 | 否 | 否 | 来源地址 |
| 10 | tag | varchar | 255 | 否 | 否 | 标签 |
| 11 | content | longtext | 4294967295 | 否 | 否 | 正文 |
| 12 | img | varchar | 255 | 否 | 否 | 封面图 |
| 13 | description | text | 65535 | 否 | 否 | 文章描述 |
表 4-4-article_type(文章分类)
| 编号 | 字段名 | 类型 | 长度 | 是否非空 | 是否主键 | 注释 |
| 1 | type_id | smallint | 是 | 是 | 分类ID | |
| 2 | display | smallint | 是 | 否 | 显示顺序 | |
| 3 | name | varchar | 16 | 是 | 否 | 分类名称 |
| 4 | father_id | smallint | 是 | 否 | 上级分类ID | |
| 5 | description | varchar | 255 | 否 | 否 | 描述 |
| 6 | icon | text | 65535 | 否 | 否 | 分类图标 |
| 7 | url | varchar | 255 | 否 | 否 | 外链地址 |
| 8 | create_time | timestamp | 是 | 否 | 创建时间 | |
| 9 | update_time | timestamp | 是 | 否 | 更新时间 |
表 4-5-auth(用户权限管理)
| 编号 | 字段名 | 类型 | 长度 | 是否非空 | 是否主键 | 注释 |
| 1 | auth_id | int | 是 | 是 | 授权ID | |
| 2 | user_group | varchar | 64 | 否 | 否 | 用户组 |
| 3 | mod_name | varchar | 64 | 否 | 否 | 模块名 |
| 4 | table_name | varchar | 64 | 否 | 否 | 表名 |
| 5 | page_title | varchar | 255 | 否 | 否 | 页面标题 |
| 6 | path | varchar | 255 | 否 | 否 | 路由路径 |
| 7 | parent | varchar | 64 | 否 | 否 | 父级菜单 |
| 8 | parent_sort | int | 是 | 否 | 父级菜单排序 | |
| 9 | position | varchar | 32 | 否 | 否 | 位置 |
| 10 | mode | varchar | 32 | 是 | 否 | 跳转方式 |
| 11 | add | tinyint | 是 | 否 | 是否可增加 | |
| 12 | del | tinyint | 是 | 否 | 是否可删除 | |
| 13 | set | tinyint | 是 | 否 | 是否可修改 | |
| 14 | get | tinyint | 是 | 否 | 是否可查看 | |
| 15 | field_add | text | 65535 | 否 | 否 | 添加字段 |
| 16 | field_set | text | 65535 | 否 | 否 | 修改字段 |
| 17 | field_get | text | 65535 | 否 | 否 | 查询字段 |
| 18 | table_nav_name | varchar | 500 | 否 | 否 | 跨表导航名称 |
| 19 | table_nav | varchar | 500 | 否 | 否 | 跨表导航 |
| 20 | option | text | 65535 | 否 | 否 | 配置 |
| 21 | create_time | timestamp | 是 | 否 | 创建时间 | |
| 22 | update_time | timestamp | 是 | 否 | 更新时间 |
表 4-6-cancel_reservation(取消预约)
| 编号 | 字段名 | 类型 | 长度 | 是否非空 | 是否主键 | 注释 |
| 1 | cancel_reservation_id | int | 是 | 是 | 取消预约ID | |
| 2 | laboratory_number | varchar | 64 | 否 | 否 | 实验室编号 |
| 3 | laboratory_name | varchar | 64 | 否 | 否 | 实验室名称 |
| 4 | laboratory_location | varchar | 64 | 否 | 否 | 实验室位置 |
| 5 | student_users | int | 否 | 否 | 学生用户 | |
| 6 | student_id | varchar | 64 | 否 | 否 | 学生学号 |
| 7 | student_name | varchar | 64 | 否 | 否 | 学生姓名 |
| 8 | appointment_date | date | 否 | 否 | 预约日期 | |
| 9 | appointment_period | varchar | 64 | 否 | 否 | 预约时段 |
| 10 | number_of_appointments | double | 否 | 否 | 预约人数 | |
| 11 | reason_for_cancellation | text | 65535 | 否 | 否 | 取消原因 |
| 12 | examine_state | varchar | 16 | 是 | 否 | 审核状态 |
| 13 | examine_reply | varchar | 16 | 否 | 否 | 审核回复 |
| 14 | create_time | datetime | 是 | 否 | 创建时间 | |
| 15 | update_time | timestamp | 是 | 否 | 更新时间 | |
| 16 | source_table | varchar | 255 | 否 | 否 | 来源表 |
| 17 | source_id | int | 否 | 否 | 来源ID | |
| 18 | source_user_id | int | 否 | 否 | 来源用户 |
表 4-7-classroom_reservation(课堂预约)
| 编号 | 字段名 | 类型 | 长度 | 是否非空 | 是否主键 | 注释 |
| 1 | classroom_reservation_id | int | 是 | 是 | 课堂预约ID | |
| 2 | laboratory_number | varchar | 64 | 否 | 否 | 实验室编号 |
| 3 | laboratory_name | varchar | 64 | 否 | 否 | 实验室名称 |
| 4 | laboratory_location | varchar | 64 | 否 | 否 | 实验室位置 |
| 5 | teacher_users | int | 否 | 否 | 教师用户 | |
| 6 | teacher_id | varchar | 64 | 否 | 否 | 教师工号 |
| 7 | teachers_name | varchar | 64 | 否 | 否 | 教师姓名 |
| 8 | appointment_date | date | 否 | 否 | 预约日期 | |
| 9 | appointment_period | varchar | 64 | 否 | 否 | 预约时段 |
| 10 | classroom_name | varchar | 64 | 否 | 否 | 课堂名称 |
| 11 | course_arrangement | text | 65535 | 否 | 否 | 课程安排 |
| 12 | score_information_limit_times | int | 是 | 否 | 记录成绩限制次数 | |
| 13 | create_time | datetime | 是 | 否 | 创建时间 | |
| 14 | update_time | timestamp | 是 | 否 | 更新时间 | |
| 15 | source_table | varchar | 255 | 否 | 否 | 来源表 |
| 16 | source_id | int | 否 | 否 | 来源ID | |
| 17 | source_user_id | int | 否 | 否 | 来源用户 |
表 4-8-code_token(验证码)
| 编号 | 字段名 | 类型 | 长度 | 是否非空 | 是否主键 | 注释 |
| 1 | code_token_id | int | 是 | 是 | 验证码ID | |
| 2 | token | varchar | 255 | 否 | 否 | 令牌 |
| 3 | code | varchar | 255 | 否 | 否 | 验证码 |
| 4 | expire_time | timestamp | 是 | 否 | 失效时间 | |
| 5 | create_time | timestamp | 是 | 否 | 创建时间 | |
| 6 | update_time | timestamp | 是 | 否 | 更新时间 |
表 4-9-collect(收藏)
| 编号 | 字段名 | 类型 | 长度 | 是否非空 | 是否主键 | 注释 |
| 1 | collect_id | int | 是 | 是 | 收藏ID | |
| 2 | user_id | int | 是 | 是 | 收藏人ID | |
| 3 | source_table | varchar | 255 | 否 | 否 | 来源表 |
| 4 | source_field | varchar | 255 | 否 | 否 | 来源字段 |
| 5 | source_id | int | 是 | 否 | 来源ID | |
| 6 | title | varchar | 255 | 否 | 否 | 标题 |
| 7 | img | varchar | 255 | 否 | 否 | 封面 |
| 8 | create_time | timestamp | 是 | 否 | 创建时间 | |
| 9 | update_time | timestamp | 是 | 否 | 更新时间 |
表 4-10-comment(评论)
| 编号 | 字段名 | 类型 | 长度 | 是否非空 | 是否主键 | 注释 |
| 1 | comment_id | int | 是 | 是 | 评论ID | |
| 2 | user_id | int | 是 | 是 | 评论人ID | |
| 3 | reply_to_id | int | 是 | 否 | 回复评论ID | |
| 4 | content | longtext | 4294967295 | 否 | 否 | 内容 |
| 5 | nickname | varchar | 255 | 否 | 否 | 昵称 |
| 6 | avatar | varchar | 255 | 否 | 否 | 头像地址 |
| 7 | create_time | timestamp | 是 | 否 | 创建时间 | |
| 8 | update_time | timestamp | 是 | 否 | 更新时间 | |
| 9 | source_table | varchar | 255 | 否 | 否 | 来源表 |
| 10 | source_field | varchar | 255 | 否 | 否 | 来源字段 |
| 11 | source_id | int | 是 | 否 | 来源ID |
表 4-11-hits(用户点击)
| 编号 | 字段名 | 类型 | 长度 | 是否非空 | 是否主键 | 注释 |
| 1 | hits_id | int | 是 | 是 | 点赞ID | |
| 2 | user_id | int | 是 | 否 | 点赞人 | |
| 3 | create_time | timestamp | 是 | 否 | 创建时间 | |
| 4 | update_time | timestamp | 是 | 否 | 更新时间 | |
| 5 | source_table | varchar | 255 | 否 | 否 | 来源表 |
| 6 | source_field | varchar | 255 | 否 | 否 | 来源字段 |
| 7 | source_id | int | 是 | 否 | 来源ID |
表 4-12-instrument_declaration(仪器申报)
| 编号 | 字段名 | 类型 | 长度 | 是否非空 | 是否主键 | 注释 |
| 1 | instrument_declaration_id | int | 是 | 是 | 仪器申报ID | |
| 2 | laboratory_number | varchar | 64 | 否 | 否 | 实验室编号 |
| 3 | laboratory_name | varchar | 64 | 否 | 否 | 实验室名称 |
| 4 | laboratory_location | varchar | 64 | 否 | 否 | 实验室位置 |
| 5 | equipment_name | varchar | 64 | 否 | 否 | 设备名称 |
| 6 | teacher_users | int | 否 | 否 | 教师用户 | |
| 7 | teachers_name | varchar | 64 | 否 | 否 | 教师姓名 |
| 8 | declaration_type | varchar | 64 | 否 | 否 | 申报类型 |
| 9 | declaration_date | date | 否 | 否 | 申报日期 | |
| 10 | declaration_content | text | 65535 | 否 | 否 | 申报内容 |
| 11 | examine_state | varchar | 16 | 是 | 否 | 审核状态 |
| 12 | examine_reply | varchar | 16 | 否 | 否 | 审核回复 |
| 13 | create_time | datetime | 是 | 否 | 创建时间 | |
| 14 | update_time | timestamp | 是 | 否 | 更新时间 | |
| 15 | source_table | varchar | 255 | 否 | 否 | 来源表 |
| 16 | source_id | int | 否 | 否 | 来源ID | |
| 17 | source_user_id | int | 否 | 否 | 来源用户 |
表 4-13-laboratory_information(实验室信息)
| 编号 | 字段名 | 类型 | 长度 | 是否非空 | 是否主键 | 注释 |
| 1 | laboratory_information_id | int | 是 | 是 | 实验室信息ID | |
| 2 | laboratory_number | varchar | 64 | 否 | 否 | 实验室编号 |
| 3 | laboratory_name | varchar | 64 | 否 | 否 | 实验室名称 |
| 4 | cover_photo | varchar | 255 | 否 | 否 | 封面图片 |
| 5 | capacity_for_people | double | 否 | 否 | 容纳人数 | |
| 6 | laboratory_location | varchar | 64 | 否 | 否 | 实验室位置 |
| 7 | laboratory_status | varchar | 64 | 否 | 否 | 实验室状态 |
| 8 | laboratory_equipment | text | 65535 | 否 | 否 | 实验室设备 |
| 9 | laboratory_introduction | longtext | 4294967295 | 否 | 否 | 实验室介绍 |
| 10 | hits | int | 是 | 否 | 点击数 | |
| 11 | praise_len | int | 是 | 否 | 点赞数 | |
| 12 | collect_len | int | 是 | 否 | 收藏数 | |
| 13 | comment_len | int | 是 | 否 | 评论数 | |
| 14 | student_reservation_limit_times | int | 是 | 否 | 预约限制次数 | |
| 15 | teacher_appointment_limit_times | int | 是 | 否 | 个人预约限制次数 | |
| 16 | instrument_declaration_limit_times | int | 是 | 否 | 申报限制次数 | |
| 17 | classroom_reservation_limit_times | int | 是 | 否 | 课堂预约限制次数 | |
| 18 | create_time | datetime | 是 | 否 | 创建时间 | |
| 19 | update_time | timestamp | 是 | 否 | 更新时间 |
表 4-14-notice(公告)
| 编号 | 字段名 | 类型 | 长度 | 是否非空 | 是否主键 | 注释 |
| 1 | notice_id | mediumint | 是 | 是 | 公告ID | |
| 2 | title | varchar | 125 | 是 | 否 | 标题 |
| 3 | content | longtext | 4294967295 | 否 | 否 | 正文 |
| 4 | create_time | timestamp | 是 | 否 | 创建时间 | |
| 5 | update_time | timestamp | 是 | 否 | 更新时间 |
表 4-15-praise(点赞)
| 编号 | 字段名 | 类型 | 长度 | 是否非空 | 是否主键 | 注释 |
| 1 | praise_id | int | 是 | 是 | 点赞ID | |
| 2 | user_id | int | 是 | 是 | 点赞人 | |
| 3 | create_time | timestamp | 是 | 否 | 创建时间 | |
| 4 | update_time | timestamp | 是 | 否 | 更新时间 | |
| 5 | source_table | varchar | 255 | 否 | 否 | 来源表 |
| 6 | source_field | varchar | 255 | 否 | 否 | 来源字段 |
| 7 | source_id | int | 是 | 否 | 来源ID | |
| 8 | status | tinyint | 是 | 否 | 点赞状态:1为点赞,0已取消 |
表 4-16-schedule(日程管理)
| 编号 | 字段名 | 类型 | 长度 | 是否非空 | 是否主键 | 注释 |
| 1 | schedule_id | smallint | 是 | 是 | 日程ID | |
| 2 | content | varchar | 255 | 否 | 否 | 日程内容 |
| 3 | scheduled_time | datetime | 否 | 否 | 计划时间 | |
| 4 | user_id | int | 是 | 否 | 用户ID | |
| 5 | create_time | datetime | 否 | 否 | 创建时间 | |
| 6 | update_time | datetime | 否 | 否 | 更新时间 |
表 4-17-score(评分)
| 编号 | 字段名 | 类型 | 长度 | 是否非空 | 是否主键 | 注释 |
| 1 | score_id | int | 是 | 是 | 评分ID | |
| 2 | user_id | int | 是 | 否 | 评分人 | |
| 3 | nickname | varchar | 64 | 否 | 否 | 昵称 |
| 4 | score_num | double | 是 | 否 | 评分 | |
| 5 | create_time | timestamp | 是 | 否 | 创建时间 | |
| 6 | update_time | timestamp | 是 | 否 | 更新时间 | |
| 7 | source_table | varchar | 255 | 否 | 否 | 来源表 |
| 8 | source_field | varchar | 255 | 否 | 否 | 来源字段 |
| 9 | source_id | int | 是 | 否 | 来源ID |
表 4-18-score_information(成绩信息)
| 编号 | 字段名 | 类型 | 长度 | 是否非空 | 是否主键 | 注释 |
| 1 | score_information_id | int | 是 | 是 | 成绩信息ID | |
| 2 | laboratory_number | varchar | 64 | 否 | 否 | 实验室编号 |
| 3 | laboratory_name | varchar | 64 | 否 | 否 | 实验室名称 |
| 4 | laboratory_location | varchar | 64 | 否 | 否 | 实验室位置 |
| 5 | teacher_users | int | 否 | 否 | 教师用户 | |
| 6 | teacher_id | varchar | 64 | 否 | 否 | 教师工号 |
| 7 | teachers_name | varchar | 64 | 否 | 否 | 教师姓名 |
| 8 | student_users | int | 否 | 否 | 学生用户 | |
| 9 | student_name | varchar | 64 | 否 | 否 | 学生姓名 |
| 10 | score_score | double | 否 | 否 | 成绩分数 | |
| 11 | score_rating | varchar | 64 | 否 | 否 | 成绩评级 |
| 12 | record_date | date | 否 | 否 | 记录日期 | |
| 13 | teachers_comments | text | 65535 | 否 | 否 | 教师评语 |
| 14 | create_time | datetime | 是 | 否 | 创建时间 | |
| 15 | update_time | timestamp | 是 | 否 | 更新时间 | |
| 16 | source_table | varchar | 255 | 否 | 否 | 来源表 |
| 17 | source_id | int | 否 | 否 | 来源ID | |
| 18 | source_user_id | int | 否 | 否 | 来源用户 |
表 4-19-slides(轮播图)
| 编号 | 字段名 | 类型 | 长度 | 是否非空 | 是否主键 | 注释 |
| 1 | slides_id | int | 是 | 是 | 轮播图ID | |
| 2 | title | varchar | 64 | 否 | 否 | 标题 |
| 3 | content | varchar | 255 | 否 | 否 | 内容 |
| 4 | url | varchar | 255 | 否 | 否 | 链接 |
| 5 | img | varchar | 255 | 否 | 否 | 轮播图 |
| 6 | hits | int | 是 | 否 | 点击量 | |
| 7 | create_time | timestamp | 是 | 否 | 创建时间 | |
| 8 | update_time | timestamp | 是 | 否 | 更新时间 |
表 4-20-student_reservation(学生预约)
| 编号 | 字段名 | 类型 | 长度 | 是否非空 | 是否主键 | 注释 |
| 1 | student_reservation_id | int | 是 | 是 | 学生预约ID | |
| 2 | laboratory_number | varchar | 64 | 否 | 否 | 实验室编号 |
| 3 | laboratory_name | varchar | 64 | 否 | 否 | 实验室名称 |
| 4 | laboratory_location | varchar | 64 | 否 | 否 | 实验室位置 |
| 5 | student_users | int | 否 | 否 | 学生用户 | |
| 6 | student_id | varchar | 64 | 否 | 否 | 学生学号 |
| 7 | student_name | varchar | 64 | 否 | 否 | 学生姓名 |
| 8 | appointment_date | date | 否 | 否 | 预约日期 | |
| 9 | appointment_period | varchar | 64 | 否 | 否 | 预约时段 |
| 10 | number_of_appointments | double | 否 | 否 | 预约人数 | |
| 11 | appointment_remarks | text | 65535 | 否 | 否 | 预约备注 |
| 12 | cancel_reservation_limit_times | int | 是 | 否 | 取消限制次数 | |
| 13 | create_time | datetime | 是 | 否 | 创建时间 | |
| 14 | update_time | timestamp | 是 | 否 | 更新时间 | |
| 15 | source_table | varchar | 255 | 否 | 否 | 来源表 |
| 16 | source_id | int | 否 | 否 | 来源ID | |
| 17 | source_user_id | int | 否 | 否 | 来源用户 |
表 4-21-student_users(学生用户)
| 编号 | 字段名 | 类型 | 长度 | 是否非空 | 是否主键 | 注释 |
| 1 | student_users_id | int | 是 | 是 | 学生用户ID | |
| 2 | student_id | varchar | 64 | 是 | 是 | 学生学号 |
| 3 | student_name | varchar | 64 | 否 | 否 | 学生姓名 |
| 4 | student_age | varchar | 64 | 否 | 否 | 学生年龄 |
| 5 | student_gender | varchar | 64 | 否 | 否 | 学生性别 |
| 6 | examine_state | varchar | 16 | 是 | 否 | 审核状态 |
| 7 | user_id | int | 是 | 否 | 用户ID | |
| 8 | create_time | datetime | 是 | 否 | 创建时间 | |
| 9 | update_time | timestamp | 是 | 否 | 更新时间 |
表 4-22-teacher_appointment(教师预约)
| 编号 | 字段名 | 类型 | 长度 | 是否非空 | 是否主键 | 注释 |
| 1 | teacher_appointment_id | int | 是 | 是 | 教师预约ID | |
| 2 | laboratory_number | varchar | 64 | 否 | 否 | 实验室编号 |
| 3 | laboratory_name | varchar | 64 | 否 | 否 | 实验室名称 |
| 4 | laboratory_location | varchar | 64 | 否 | 否 | 实验室位置 |
| 5 | teacher_users | int | 否 | 否 | 教师用户 | |
| 6 | teacher_id | varchar | 64 | 否 | 否 | 教师工号 |
| 7 | teachers_name | varchar | 64 | 否 | 否 | 教师姓名 |
| 8 | appointment_date | date | 否 | 否 | 预约日期 | |
| 9 | appointment_period | varchar | 64 | 否 | 否 | 预约时段 |
| 10 | number_of_appointments | double | 否 | 否 | 预约人数 | |
| 11 | appointment_remarks | text | 65535 | 否 | 否 | 预约备注 |
| 12 | create_time | datetime | 是 | 否 | 创建时间 | |
| 13 | update_time | timestamp | 是 | 否 | 更新时间 | |
| 14 | source_table | varchar | 255 | 否 | 否 | 来源表 |
| 15 | source_id | int | 否 | 否 | 来源ID | |
| 16 | source_user_id | int | 否 | 否 | 来源用户 |
表 4-23-teacher_users(教师用户)
| 编号 | 字段名 | 类型 | 长度 | 是否非空 | 是否主键 | 注释 |
| 1 | teacher_users_id | int | 是 | 是 | 教师用户ID | |
| 2 | teacher_id | varchar | 64 | 是 | 是 | 教师工号 |
| 3 | teachers_name | varchar | 64 | 否 | 否 | 教师姓名 |
| 4 | teacher_gender | varchar | 64 | 否 | 否 | 教师性别 |
| 5 | examine_state | varchar | 16 | 是 | 否 | 审核状态 |
| 6 | user_id | int | 是 | 否 | 用户ID | |
| 7 | create_time | datetime | 是 | 否 | 创建时间 | |
| 8 | update_time | timestamp | 是 | 否 | 更新时间 |
表 4-24-upload(文件上传)
| 编号 | 字段名 | 类型 | 长度 | 是否非空 | 是否主键 | 注释 |
| 1 | upload_id | int | 是 | 是 | 上传ID | |
| 2 | name | varchar | 64 | 否 | 否 | 文件名 |
| 3 | path | varchar | 255 | 否 | 否 | 访问路径 |
| 4 | file | varchar | 255 | 否 | 否 | 文件路径 |
| 5 | display | varchar | 255 | 否 | 否 | 显示顺序 |
| 6 | father_id | int | 否 | 否 | 父级ID | |
| 7 | dir | varchar | 255 | 否 | 否 | 文件夹 |
| 8 | type | varchar | 32 | 否 | 否 | 文件类型 |
表 4-25-user(用户账户)
| 编号 | 字段名 | 类型 | 长度 | 是否非空 | 是否主键 | 注释 |
| 1 | user_id | int | 是 | 是 | 用户ID | |
| 2 | state | smallint | 是 | 否 | 账户状态:(1可用|2异常|3已冻结|4已注销) | |
| 3 | user_group | varchar | 32 | 否 | 否 | 所在用户组 |
| 4 | login_time | timestamp | 是 | 否 | 上次登录时间 | |
| 5 | phone | varchar | 11 | 否 | 否 | 手机号码 |
| 6 | phone_state | smallint | 是 | 否 | 手机认证:(0未认证|1审核中|2已认证) | |
| 7 | username | varchar | 16 | 是 | 否 | 用户名 |
| 8 | nickname | varchar | 16 | 否 | 否 | 昵称 |
| 9 | password | varchar | 64 | 是 | 否 | 密码 |
| 10 | | varchar | 64 | 否 | 否 | 邮箱 |
| 11 | email_state | smallint | 是 | 否 | 邮箱认证:(0未认证|1审核中|2已认证) | |
| 12 | avatar | varchar | 255 | 否 | 否 | 头像地址 |
| 13 | open_id | varchar | 255 | 否 | 否 | 针对获取用户信息字段 |
| 14 | create_time | timestamp | 是 | 否 | 创建时间 |
表 4-26-user_group(用户组)
| 编号 | 字段名 | 类型 | 长度 | 是否非空 | 是否主键 | 注释 |
| 1 | group_id | mediumint | 是 | 是 | 用户组ID | |
| 2 | display | smallint | 是 | 否 | 显示顺序 | |
| 3 | name | varchar | 16 | 是 | 否 | 名称 |
| 4 | description | varchar | 255 | 否 | 否 | 描述 |
| 5 | source_table | varchar | 255 | 否 | 否 | 来源表 |
| 6 | source_field | varchar | 255 | 否 | 否 | 来源字段 |
| 7 | source_id | int | 是 | 否 | 来源ID | |
| 8 | register | smallint | 否 | 否 | 注册位置 | |
| 9 | create_time | timestamp | 是 | 否 | 创建时间 | |
| 10 | update_time | timestamp | 是 | 否 | 更新时间 |
5 系统关键模块设计与实现
5.1 学生用户模块
5.1.1 学生用户登录界面
学生用户在登录界面输入账号+密码,点击“登录”按钮,系统在用户数据库表中会对用户的账号进行匹配,账号+密码正确的话,就会登录到系统中各个用户的主管理界面,否则提示对应的信息,返回到登录的界面,其登录主界面展示如下图所示。

图5-1学生用户登录界面图
登录关键代码如下所示。
/**
* 登录
* @param data
* @param httpServletRequest
* @return
*/
@PostMapping("login")
public Map<String, Object> login(@RequestBody Map<String, String> data, HttpServletRequest httpServletRequest) {
log.info("[执行登录接口]");
String username = data.get("username");
String email = data.get("email");
String phone = data.get("phone");
String password = data.get("password");
List resultList = null;
QueryWrapper wrapper = new QueryWrapper<User>();
Map<String, String> map = new HashMap<>();
if(username != null && "".equals(username) == false){
map.put("username", username);
resultList = service.selectBaseList(service.select(map, new HashMap<>()));
}
else if(email != null && "".equals(email) == false){
map.put("email", email);
resultList = service.selectBaseList(service.select(map, new HashMap<>()));
}
else if(phone != null && "".equals(phone) == false){
map.put("phone", phone);
resultList = service.selectBaseList(service.select(map, new HashMap<>()));
}else{
return error(30000, "账号或密码不能为空");
}
if (resultList == null || password == null) {
return error(30000, "账号或密码不能为空");
}
//判断是否有这个用户
if (resultList.size()<=0){
return error(30000,"用户不存在");
}
User byUsername = (User) resultList.get(0);
Map<String, String> groupMap = new HashMap<>();
groupMap.put("name",byUsername.getUserGroup());
List groupList = userGroupService.selectBaseList(userGroupService.select(groupMap, new HashMap<>()));
if (groupList.size()<1){
return error(30000,"用户组不存在");
}
UserGroup userGroup = (UserGroup) groupList.get(0);
//查询用户审核状态
if (!StringUtils.isEmpty(userGroup.getSourceTable())){
String res = service.selectExamineState(userGroup.getSourceTable(),byUsername.getUserId());
if (res==null){
return error(30000,"用户不存在");
}
if (!res.equals("已通过")){
return error(30000,"该用户审核未通过");
}
}
//查询用户状态
if (byUsername.getState()!=1){
return error(30000,"用户非可用状态,不能登录");
}
String md5password = service.encryption(password);
if (byUsername.getPassword().equals(md5password)) {
// 存储Token到数据库
AccessToken accessToken = new AccessToken();
accessToken.setToken(UUID.randomUUID().toString().replaceAll("-", ""));
accessToken.setUser_id(byUsername.getUserId());
tokenService.save(accessToken);
// 返回用户信息
JSONObject user = JSONObject.parseObject(JSONObject.toJSONString(byUsername));
user.put("token", accessToken.getToken());
JSONObject ret = new JSONObject();
ret.put("obj",user);
return success(ret);
} else {
return error(30000, "账号或密码不正确");
}
}
public String select(Map<String,String> query,Map<String,String> config){
StringBuffer sql = new StringBuffer("select ");
sql.append(config.get(FindConfig.FIELD) == null || "".equals(config.get(FindConfig.FIELD)) ? "*" : config.get(FindConfig.FIELD)).append(" ");
sql.append("from ").append("`").append(table).append("`").append(toWhereSql(query, "0".equals(config.get(FindConfig.LIKE))));
if (config.get(FindConfig.GROUP_BY) != null && !"".equals(config.get(FindConfig.GROUP_BY))){
sql.append("group by ").append(config.get(FindConfig.GROUP_BY)).append(" ");
}
if (config.get(FindConfig.ORDER_BY) != null && !"".equals(config.get(FindConfig.ORDER_BY))){
sql.append("order by ").append(config.get(FindConfig.ORDER_BY)).append(" ");
}
if (config.get(FindConfig.PAGE) != null && !"".equals(config.get(FindConfig.PAGE))){
int page = config.get(FindConfig.PAGE) != null && !"".equals(config.get(FindConfig.PAGE)) ? Integer.parseInt(config.get(FindConfig.PAGE)) : 1;
int limit = config.get(FindConfig.SIZE) != null && !"".equals(config.get(FindConfig.SIZE)) ? Integer.parseInt(config.get(FindConfig.SIZE)) : 10;
sql.append(" limit ").append( (page-1)*limit ).append(" , ").append(limit);
}
log.info("[{}] - 查询操作,sql: {}",table,sql);
return sql.toString();
}
public List selectBaseList(String select) {
List<Map<String,Object>> mapList = baseMapper.selectBaseList(select);
List<E> list = new ArrayList<>();
for (Map<String,Object> map:mapList) {
list.add(JSON.parseObject(JSON.toJSONString(map),eClass));
}
return list;
}
5.1.2知识科普界面
用户可以查看知识科普列表。内容按照类别进行组织,方便用户根据兴趣查看相关内容。系统提供搜索功能,用户可以按关键词查询特定的知识科普。在详情页可以点赞、收藏和评论。知识科普界面图如下图所示。

图5-2知识科普界面图
5.1.3实验室信息界面
进入“实验室信息”后,用户会看到所有实验室信息列表。显示实验室信息照片、基本信息。用户点击具体实验室信息的照片后,将进入详细信息页面,用户可以查看更多详细描述。在详情页可以预约、点赞、收藏和评论。实验室信息界面图如下图所示。

图5-3实验室信息界面图
5.1.4学生预约界面
在个人中心学生可以查看预约实验室详情,还可以预约实验室进行相关实验操作。学生预约界面图如下图所示。

图5-4学生预约界面图
5.2 教师用户模块
5.2.1 实验室信息管理界面
教师用户进入“实验室信息”后,用户会看到所有实验室信息列表。显示实验室信息照片、基本信息。用户点击具体实验室信息的照片后,将进入详细信息页面,用户可以查看更多详细描述。在详情页可以进行个人预约、课堂预约,申报、点赞、收藏和评论。实验室信息界面如下图所示。

图5-5实验室信息界面图
5.2.2教室预约界面
教师用户在个人中心点击“教室预约”,可以查看教室预约详情实验室名称、实验室编号等信息,还可以进行查询和重置等操作。教室预约如下图所示。

图5-6教室预约界面图
教室预约添加的关键代码如下:
@RequestMapping(value = {"/sum_group", "/sum"})
public Map<String, Object> sum(HttpServletRequest request) {
Query count = service.sum(service.readQuery(request), service.readConfig(request));
return success(count.getResultList());
}
5.2.3成绩信息界面
教师用户在个人中心点击“成绩信息”可以查看学生的实验成绩,进行评定和修改。成绩信息如下图所示。

图5-7成绩信息界面图
5.3管理员功能模块
5.3.1系统用户界面
在系统用户页面中可以对管理员、学生用户和教师用户三种角色进行管控,还可以对三种角色进行查询、重置、添加和删除。系统用户界面如下图所示。

图5-8系统用户界面图
系统用户管理关键代码如下所示。
public List selectBaseList(String select) {
List<Map<String,Object>> mapList = baseMapper.selectBaseList(select);
List<E> list = new ArrayList<>();
for (Map<String,Object> map:mapList) {
list.add(JSON.parseObject(JSON.toJSONString(map),eClass));
}
return list;
}
5.3.2 实验室信息管理界面
管理员点击“实验室信息管理”这一菜单会显示实验室信息列表和实验室信息添加两个子菜单,点击“实验室信息列表”可以查看实验室信息详情,可以进行查询、重置、删除等操作。点击“实验室信息添加”,可以添加新的实验室信息。实验室信息管理界面如下图所示。

图5-9实验室信息管理界面图
5.3.3 仪器申报管理界面
管理员点击“仪器申报管理”这一菜单会显示仪器申报列表这个子菜单,点击“仪器申报列表”可以查看仪器申报详情,可以进行查询、重置、删除和审核等操作。仪器申报管理界面如下图所示。

图5-10仪器申报管理界面图
5.3.4 系统管理界面
管理员可以管理网站首页的轮播图,上传、编辑和删除图片内容。可设置轮播图的展示顺序和有效时间,使得平台首页内容保持最新和吸引用户。系统管理界面如下图所示。

图5-11系统管理界面图
5.3.5公告通知管理界面
管理员点击“公告通知管理”这个菜单,可以查看到系统中所有添加的系统公告,支持通过标题对系统公告进行查询,添加、删除等操作。公告通知管理界面如下图所示。

图5-12公告通知管理界面图
6 系统测试
6.1系统测试的目的
程序设计不能保证没有错误,这是一个开发过程,在错误或错误的过程中都是难以避免的。虽然这是不可避免的,但我们不能使这些错误始终存在于系统中,错误可能会造成无法估量的后果,如系统崩溃,安全信息泄露,系统无法正常启动等,为了避免这些问题,我们需要测试程序,再测试过程中发现问题,并纠正它们,从而使系统更长时间稳定成熟。本章的作用是发现这些问题,并对其进行修改,虽然耗时费力,但对于长期使用而言是非常重要和必要系统的开发。
软件在设计后必须进行测试,调试过程中使用的方法是软件测试方法。在开发新软件时,系统测试是检查软件是否合格的关键步骤,以及是否符合设计目标的参考。测试主要是查看软件中数据的准确性,正确的操作与否,以及操作的结果,还有哪些方面需要改进。
易管通实验室管理系统的实现,对于系统中功能模块的实现及操作都必须通过测试进行来评判系统是否可以准确的实现。在易管通实验室管理系统正式上传使用之前必须做的一步就是系统测试,对于测试发现的错误及时修改处理,保证系统准确无误的供给用户使用。
6.2系统测试方法
在对易管通实验室管理系统进行测试的时候在找到问题的情况下必须在第一时间找到解决问题的办法,不要存在侥幸的心理,这样才能让易管通实验室管理系统开发的质量可以过关,并且开发的周期会大大缩短,还有就是在测试时,不要出现重复性的错误,遇到一个错误问题,要将整个易管通实验室管理系统开发所牵扯的该问题都必须一一解决,提高易管通实验室管理系统的安全性、稳定性。
白盒测试与黑盒测试是测试中比较常用的两种方法。
①结构测试俗称白盒测试:这种测试是在对程序的处理过程与结构都有详尽谅解的前提下,顺从程序内部的逻辑而完成的系统测试,以确定系统中所有的通路都能够遵照设计要求正常工作,不出现任何偏差。
②功能测试又成黑盒测试:主要是针对程序功能能够按照设计正常实现的一种检测,在程序接口处进行,检测程序手法数据是否正常,与外部信息的交换是否完整。
6.3功能测试
用户登录测试:
| 模块名称 | 测试用例 | 预期结果 | 实际结果 | 是否通过 |
| 登录模块 | 用户名:admin 密码:123 | 弹出错误提示,提示密码错误 | 弹出错误提示,提示密码错误 | 通过 |
| 登录模块 | 用户名:123 密码:admin | 弹出错误提示,提示用户名错误 | 弹出错误提示,提示用户名错误 | 通过 |
| 登录模块 | 用户名:admin 密码:admin | 管理员登录成功 | 管理员登录成功 | 通过 |
删除实验室信息测试:
| 模块名称 | 测试用例 | 预期结果 | 实际结果 | 是否通过 |
| 删除实验室信息模块 | 实验室信息 | 删除成功、页面自动跳转 | 删除成功、页面自动跳转 | 通过 |
修改密码测试:
| 模块名称 | 测试用例 | 预期结果 | 实际结果 | 是否通过 |
| 修改密码模块 | 原密码:666 新密码:123 确认密码:123 | 弹出错误提示,提示原密码错误 | 弹出错误提示,提示原密码错误 | 通过 |
| 修改密码模块 | 原密码:admin 新密码:123 确认密码:333 | 弹出错误提示,提示确认密码不一致 | 弹出错误提示,提示确认密码不一致 | 通过 |
| 修改密码模块 | 原密码:admin 新密码:123 确认密码:123 | 密码修改成功 | 密码修改成功 | 通过 |
通过对功能的测试,易管通实验室管理系统的基本功能都是可行的,不管是系统里面的功能,还是界面的设计都是可值得推广宣传的。
总结
在开发易管通实验室管理系统之前我胸有成竹,觉得很简单,但在实际的开发中我发现了自身的很多问题,许多编程思想和方法都还没有掌握牢靠,比如Bootsatrp、Jquery、AJAX 、SSM、mybeatis等许多Java Web开发技术,通过开发这个易管通实验室管理系统我成长了很多,懂得了做什么事情都要脚踏实地,不能眼高手低,在本次易管通实验室管理系统的开发中我逐渐掌握逐渐熟悉的技术。
同时,在本次项目中我也暴露了诸多问题。对于Java的编程知识有所欠缺,环境配置和算法上出现诸多问题,时常导致项目运行出错,或者目标的实现有问题。或者实现想法时算法未优化,使得代码冗长,程序运行不顺畅。
参考文献
- 王志涛.基于B/S模式的项目管理信息系统开发与设计[J].办公自动化,2024,29(24):84-86.
- 郦昕昕.基于B/S模式的人事管理系统设计与实现[J].集成电路应用,2024,41(05):246-247.DOI:10.19339/j.issn.1674-2583.2024.05.112.
- 夏禹.基于FreeMarker、ECharts以及SSM的数据可视化平台[J].电脑编程技巧与维护,2019,(07):91-92+99.DOI:10.16184/j.cnki.comprg.2019.07.035.
- 赵静静.基于SSM框架的检查业务数据应用系统开发[J].现代信息科技,2025,9(02):52-57.DOI:10.19850/j.cnki.2096-4706.2025.02.009.
- 赵媛.基于Vue的Web系统前端性能优化分析[J].电脑编程技巧与维护,2024,(09):44-46.
- 秦冬.浅析Vue框架在前端开发中的应用[J].信息与电脑(理论版),2024,36(13):61-63.
- 李艳杰.MySQL数据库下存储过程的综合运用研究[J].现代信息科技,2023,7(11):80-82+88.
- 邱丹萍.Web开发中SSM框架的分析[J].电脑知识与技术,2020,16(17):81-82.DOI:10.14004/j.cnki.ckt.2020.2080.
- 张桓,刘仲会,丁明浩.SSM轻量级框架应用开发教程[M].人民邮电出版社:202007.217.
- 胡峻,李芝贤,梁学文.水利行业实验室管理平台设计[J].广西水利水电,2025,(01):70-73+81.DOI:10.16014/j.cnki.1003-1510.2025.01.005.
- 孙汝萍.基于Python+人工智能的实验室智能管理信息系统设计[J].信息记录材料,2025,26(02):64-66.DOI:10.16009/j.cnki.cn13-1295/tq.2025.02.054.
- 徐海霞.基于虚拟技术的高校计算机实验室管理系统设计[J].信息记录材料,2025,26(02):84-86.DOI:10.16009/j.cnki.cn13-1295/tq.2025.02.049.
- 陈诚.基于云计算的计算机实验室资源管理系统设计[J].信息记录材料,2025,26(02):187-189.DOI:10.16009/j.cnki.cn13-1295/tq.2025.02.006.
- 罗龙,余先侦,汪涛.地方高校实验室管理信息化建设要点思考[J].实验室检测,2025,3(01):46-48.
- 梁翠莎,张选红,李小波,等.基于本质安全驱动的高校仪器共享实验室管理[J].医学信息,2025,38(01):60-64.
- 段瑞,李方一.Java项目任务教学研究与设计[C]//河南省民办教育协会.2024年高等教育发展论坛论文集(上册).绵阳城市学院;,2024:2.DOI:10.26914/c.cnkihy.2024.009751.
- Ullenboom C .Java Programming Exercises:Volume Two: Java Standard Library[M].CRC Press:2024-03-30.
- Liu H .Comparative Application of Teaching Methods in C Language and JAVA Programming Courses[J].International Journal of New Developments in Education,2024,6(1):
- Zhou R ,Luo K ,Chen X , et al.Research on the Construction of Computer Courses Based on CBE-CDIO Engineering Education Concept: Taking the Course “JAVA Programming” as an Example[J].Contemporary Education Frontiers,2023,1(2):
- Davi V .Designing Hexagonal Architecture with Java:Build maintainable and long-lasting applications with Java and Quarkus[M].Packt Publishing Limited:2023-09-29.DOI:10.0000/9781837630714.
致 谢
这次毕业设计能够完成,最重要的就是来自指导老师的帮助,老师不厌其烦的对我的论文及毕业设计提出非常有建设性的建议,我的毕设能够完成离不开老师的帮助。我对老师由衷的表示感谢,
其次要感谢大学四年里学院里所有的任课老师的教导,老师们在我整个大学四年里给予了我丰富的知识,让我能够在大学中不虚度光阴,踏踏实实的学习,没有这些老师不辞辛劳的教诲,我无法完成这四年的学业。
由于自己的水平有限,毕设仍然存在着很大的缺陷,各位老师若提出意见,我会努力改正。

被折叠的 条评论
为什么被折叠?



