摘 要
随着信息技术和互联网的不断发展,家政服务行业面临着日益增长的需求与管理难题,传统的服务模式已难以满足现代用户的需求。为了解决这些问题,本文设计并实现了基于Spring Boot框架的家政服务预约平台。该平台通过现代化技术手段,如数据分析、智能匹配和自动调度,优化了家政服务的整体流程,提升了服务效率和质量。平台分为三个主要角色:普通用户、员工用户和管理员。普通用户可以便捷地预约、取消服务并进行评价;员工用户可以查看并管理个人服务订单,进行任务安排;管理员则负责平台的内容管理和数据维护,确保平台的正常运营和服务质量。通过这些功能,平台在提高服务效率、保障服务质量的同时,促进了用户、员工与管理员之间的高效互动。实验结果表明,系统显著提升了用户体验和平台运营效率,具备广泛的市场应用前景。
关键词:Spring Boot框架; 家政服务预约平台;
ABSTRACT
With the continuous development of information technology and the Internet, the domestic service industry is facing growing demands and management problems. The traditional service model has been difficult to meet the needs of modern users. To address these issues, this article designs and implements a home service reservation platform based on the Spring Boot framework. This platform optimizes the overall process of household services, improves service efficiency and quality through modern technological means such as data analysis, intelligent matching, and automatic scheduling. The platform is divided into three main roles: regular users, employee users, and administrators. Ordinary users can conveniently make reservations, cancel services, and leave reviews; Employee users can view and manage personal service orders and schedule tasks; Administrators are responsible for content management and data maintenance of the platform, ensuring its normal operation and service quality. Through these functions, the platform not only improves service efficiency and ensures service quality, but also promotes efficient interaction between users, employees, and administrators. The experimental results show that the system significantly improves user experience and platform operation efficiency, and has broad market application prospects.
Keywords: Spring Boot framework; Home service appointment platform;
目 录
1绪论
1.1课题研究背景及意义
随着社会经济的不断发展和人民生活水平的提升,家政服务行业的需求日益增长。家政服务作为一种便捷、实用的生活辅助服务,已成为现代城市居民生活的重要组成部分。传统的家政服务模式主要依靠人工沟通、预约和管理,存在着信息不对称、服务质量难以保障、沟通效率低等问题,且服务人员的管理与调度常常受到人为因素的影响,导致服务效果不理想,客户满意度难以保证。
在此背景下,信息技术的引入为家政服务行业提供了新的解决思路。随着互联网和人工智能技术的迅速发展,基于这些技术的家政服务平台成为了行业发展的必然趋势。通过互联网平台,用户可以轻松地查询和预约各类家政服务,平台系统可以对服务过程进行智能调度与优化,从而提高服务效率,保障服务质量,并促进用户与服务人员之间的有效沟通。此外,数据分析和智能推荐技术的应用还可以帮助平台为用户推荐最合适的服务项目,提升用户体验。
本课题通过设计并实现一个基于Spring Boot框架的家政服务预约平台,旨在优化传统家政服务行业的运作模式,提升服务质量和效率。通过该平台,用户、服务人员和管理员之间的信息流动更加顺畅,服务过程更加智能化,从而推动家政服务行业的现代化进程,具有重要的现实意义和应用价值。
1.2国内外发展现状分析
随着生活水平的提升和家庭结构的变化,家政服务行业在国内外逐渐发展成一个重要的服务行业。在国内,家政服务需求快速增长,尤其是在一线和二线城市,随着独生子女家庭和高收入群体的增多,家政服务逐渐从传统的清洁、做饭扩展到老年护理、育婴、家庭教育等多个领域。与此同时,技术创新,尤其是互联网与智能化技术的应用,为家政服务行业注入了新的活力。
国内市场的家政服务平台发展迅速,例如“阿姨来了”“58到家”“人人到家”等互联网家政平台,采用O2O模式,解决了传统家政服务信息不对称、沟通不畅、服务质量不稳定等问题。这些平台通过线上预约、线下服务的方式,提升了服务的便捷性和透明度。但在一些细分领域,如服务质量监管、员工培训与管理等方面,仍然存在较大挑战。
在国外,家政服务行业同样呈现出快速发展的趋势。欧美国家早已形成了较为成熟的家政服务市场,尤其在高端家政服务领域,如私人护理、家庭管家服务等方面拥有丰富的经验。例如,美国的“Handy”、“TaskRabbit”等平台已将智能化调度和精准匹配应用于服务流程中,提升了行业效率。然而,国外市场的家政服务多侧重于专业化和定制化,服务标准化和人员认证管理体系较为严格。
总体来看,国内外家政服务行业正在向更加智能化、信息化方向发展,但仍面临服务质量和行业标准化等方面的挑战。
1.3论文组织结构
本论文共分为七个主要章节,具体结构如下:
1. 绪论:介绍研究背景与意义,回顾国内外研究现状,并概述论文的组织结构。
2. 相关技术介绍:详细介绍与本研究相关的技术,包括Java语言、B/S框架、SpringBoot框架、Vue技术和MySQL数据库。
3. 需求分析:对系统的功能需求和非功能需求进行分析,明确用户和管理员的需求,并进行可行性分析,包括技术、操作和经济可行性。
4. 系统设计:涵盖系统架构设计、总体流程设计和功能设计,并进行数据库的概念设计与表设计。
5. 系统实现:具体描述各个功能模块的实现过程,展示系统如何根据需求进行开发。
6. 系统测试:阐述测试的目的、方法和内容,分析测试结果并得出结论,以验证系统的稳定性和功能完整性。
7. 总结:总结研究的主要成果和贡献,指出存在的不足及未来的研究方向。
2相关技术简介
2.1Java语言
Java语言是一种广泛使用的高级编程语言,具有平台无关性、面向对象特性和丰富的标准库[1]。Java通过Java虚拟机(JVM)实现跨平台运行,开发者可以编写一次代码,在任何支持JVM的环境中执行。Java的面向对象特性使得代码复用和模块化变得更加容易,促进了软件的维护和扩展。Java支持多线程编程,允许开发者在同一程序中同时执行多个任务,提升了应用程序的性能。
Java语言的语法结构简洁且易于理解,吸引了大量开发者[2]。Java的标准库包含数据结构、输入输出处理、网络编程等众多功能模块。这使得开发者在构建应用程序时能够高效利用已有工具,减少重复劳动。Java广泛应用于企业级应用、移动应用、Web开发和大数据处理等领域。
2.2 B/S框架
B/S(Browser/Server)架构是一种基于浏览器和服务器的系统架构模式,用户通过浏览器与服务器进行交互。B/S架构简化了客户端的部署和管理,用户无需在本地安装复杂的软件,只需使用标准浏览器即可访问应用程序。服务器端负责处理业务逻辑和数据存储,客户端则主要负责展示用户界面和数据交互[3]。B/S架构的设计使得系统更新和维护集中在服务器端,降低了维护成本。
B/S架构通常采用Web技术进行实现,包括HTML、CSS和JavaScript等。用户在浏览器中发起请求,服务器响应并返回数据。数据传输通常通过HTTP或HTTPS协议进行,B/S架构的灵活性使其适用于在线购物、信息管理系统和社交网络等各类应用场景[4]。由于其易于扩展性,B/S架构可以方便地支持大规模用户访问,适应不断变化的业务需求。
2.3 SpringBoot框架
SpringBoot框架是基于Spring框架的开源项目,简化Java应用程序的开发过程。SpringBoot通过约定优于配置的理念,减少了传统Spring应用的繁琐配置,开发者可以快速搭建和部署应用程序。框架提供了一系列默认配置,支持自动化配置,简化了应用启动的复杂性[5]。SpringBoot内置了嵌入式Web服务器,使得开发者能够独立运行Java应用,无需外部容器。
SpringBoot支持微服务架构,开发者可以轻松创建和管理多个微服务。框架集成了丰富的功能模块,包括安全、数据访问和消息中间件等,支持RESTful API和JSON数据格式的处理[6]。SpringBoot还提供了强大的监控和管理功能,允许开发者实时监控应用的健康状态和性能指标。借助SpringBoot,开发者能够高效构建和维护现代企业级应用,满足复杂业务需求。
2.4 Vue技术
Vue是一种渐进式JavaScript框架,专注于构建用户界面。Vue采用组件化的开发模式,允许开发者将应用程序拆分为独立的、可重用的组件,从而提高了开发效率和代码的可维护性[7]。框架的核心库专注于视图层,支持数据绑定和DOM操作,提供了简洁的API。Vue的虚拟DOM机制提升了应用的性能,减少了实际DOM操作的次数。
Vue支持双向数据绑定,能够自动更新视图与模型之间的变化。开发者可以通过Vue的指令系统,简化数据展示和事件处理。Vue还支持路由管理和状态管理,使得开发复杂单页面应用变得更加容易[8]。借助Vue的生态系统,开发者能够使用多种工具和库来扩展功能,满足不同的业务需求。Vue在前端开发中逐渐成为主流选择,受到广泛关注和应用。
2.5 MySQL数据库
MySQL是一种开源关系型数据库管理系统,广泛应用于Web应用和企业级数据存储。MySQL支持结构化查询语言,允许开发者通过标准语句进行数据的创建、读取、更新和删除操作[9]。数据库通过表格形式组织数据,支持数据完整性和约束条件的定义。MySQL的存储引擎机制使得用户可以根据具体需求选择不同的存储引擎,以优化性能和功能。
MySQL具有高性能和可扩展性,支持大规模数据存储和高并发访问。系统提供了丰富的用户权限管理和数据加密安全特性。MySQL能够与多种编程语言和框架兼容,广泛应用于内容管理系统、电子商务平台和数据分析等各种场景。
3系统需求分析
3.1系统功能需求分析
在基于Spring Boot的 家政服务预约平台的设计与实现中,系统的功能分析可以根据不同用户角色的需求来划分,主要包括普通用户、员工用户和管理员三个角色,每个角色都有独特的功能模块,确保系统的高效运作和良好的用户体验。
(1)普通用户功能
1.注册登录:普通用户可以通过手机号、邮箱或第三方账号注册并登录平台,安全验证后便能进入个人账户界面,开始使用家政服务。
2.首页:首页展示平台的核心功能和服务推荐,用户可以根据需求快速浏览和选择各类家政服务项目,如保洁、护理、家电清洗等。
3.通知公告:平台发布的重要通知和公告将通过该模块展示,用户能够及时查看平台的最新活动、政策变化或系统维护信息。
4.新闻资讯:展示关于家政行业、平台动态或社会热点的新闻资讯,帮助用户了解行业发展趋势及相关信息,提升平台内容的丰富性。
5.服务信息:提供详细的家政服务项目信息,包括服务内容、价格、提供时段和服务区域,让用户可以全面了解每项服务的特点和收费标准。
6.修改密码:用户可以通过此功能修改账户密码,保障账户安全,防止未授权访问,并确保个人信息的保护。
7.我的账户:在此模块,用户可以查看和管理个人资料、账户余额、预约历史等信息,确保账户管理的透明度与方便性。
8.个人中心:展示用户的基本信息和个性化设置,包括联系方式、地址管理等内容,方便用户随时更新和管理个人资料。
9.个人首页:用户的个人首页将汇总所有重要信息,包括预约记录、服务历史、用户评价等,使用户快速了解自己的账户状况。
10.服务预约:用户可以在线选择所需的家政服务,并根据时间、地点等条件进行预约,确保需求及时得到满足。
11.取消预约:如果用户需要变更计划,可以在此功能中轻松取消已预约的服务,系统会自动更新预约状态,并通知相关人员。
12.服务订单:用户可以查看所有已提交的服务订单,包括订单状态、支付信息、预约详情等,帮助用户全面跟踪服务进度。
13.服务评价:在服务完成后,用户可以根据服务体验对提供的家政服务进行评分和评价,帮助其他用户做出决策,并反馈服务质量。
14.提醒通知:系统会在服务即将开始时发送提醒,或者在订单状态更新时通过通知提醒用户,确保服务不遗漏。
15.收藏:用户可以收藏自己喜欢的服务项目或员工,便于后续再次使用或预约,增加平台的用户粘性。
16.评论管理:用户可以管理自己的评论,包括查看历史评论、删除不需要的评论或更新评价内容,确保评论的准确性和时效性。
(2)员工用户功能
1.登录:员工用户通过提供个人账号和密码登录平台,进入工作界面,查看和处理自己的服务订单。
2.我的账户:员工可以查看和管理个人资料、工作时间表、收入等重要信息,确保所有工作安排和收入情况一目了然。
3.个人中心:展示员工的基本信息、服务记录、客户反馈等,员工可以随时更新个人资料和查看服务历史。
4.个人首页:员工首页概览所有相关任务和订单情况,帮助员工高效管理自己的工作安排和客户关系。
5.服务订单:员工可以查看自己的所有待接单和已接单的家政服务订单,确认服务时间和任务内容,确保按时完成服务。
6.服务评价:员工可以查看用户对自己服务的评价,并根据客户反馈进行自我改进和调整,提升服务质量。
7.收藏:员工可以收藏特定客户或者服务项目,便于未来的服务安排或个人偏好设置。
8.评论管理:员工有权查看自己收到的所有评论,并且可以对用户评价进行回复,改善客户体验,提升口碑。
(3) 管理员功能
1.登录:管理员使用专属账号和密码登录后台系统,进入管理界面,执行所有平台运营和数据管理相关的操作。
2.后台首页:提供平台运营的总览信息,包括订单统计、用户活跃度、服务评价等重要数据,帮助管理员进行决策和优化。
3.系统用户管理:管理员可以查看、添加、修改或删除平台用户(包括普通用户、员工和其他管理员)的信息和权限,确保平台的正常运作。
4.服务信息管理:管理员可对平台提供的家政服务项目信息进行增删改查操作,确保服务信息的更新和准确性,满足用户需求。
5.服务类型管理:管理员可以维护服务的种类和分类,包括增加新的服务类型,调整现有服务类别,确保平台分类清晰、服务多样。
6.服务预约管理:管理员可以查看和管理所有的用户预约记录,及时跟踪和调整服务安排,避免服务冲突或资源浪费。
7.取消预约管理:管理员处理用户取消的预约,审核和记录取消原因,保持系统的数据一致性,并进行必要的客户沟通。
8.服务订单管理:管理员负责管理和审核所有用户的服务订单,协调付款状态、订单进度和服务质量,确保平台服务的顺畅运营。
9.服务评价管理:管理员审核和管理平台用户对服务的评价,确保评论内容的合规性,并对负面评论进行适当处理。
10.提醒通知管理:管理员可以创建和发布提醒通知,帮助用户及时获取系统更新、活动信息和服务提醒等。
11.系统管理:管理员通过该功能模块管理平台的一些基础设置和功能,如轮播图的内容、平台主题等,保证平台的视觉更新与功能稳定。
12.通知公告管理:管理员可以发布和管理平台的通知公告,及时向用户传达平台重要政策、活动和调整内容,确保信息的透明度。
13.资源管理:管理员可以管理平台的资讯内容,分类并发布行业新闻、平台活动等资讯,增强平台的内容价值和用户参与感。
3.2系统非功能性分析
家政服务预约平台在撰写系统毕业论文时,非功能性需求分析是一个重要的部分。非功能性需求主要关注的是系统如何运行,而不是它具体完成什么功能。这些需求包括性能、可用性、安全性、可维护性、可扩展性、易用性等方面。以下是一个关于 家政服务预约平台非功能性需求分析的概要。
性能需求:系统需确保快速响应和高吞吐量,以支持大量用户同时访问,即使在高峰时段也能保持流畅的操作体验,避免因延迟或卡顿影响用户体验。
可用性:安系统必须具备高可用性,采用冗余部署、负载均衡等策略,确保即使部分组件故障也能迅速恢复服务,减少服务中断时间,保障用户业务的连续性。
安全性:鉴于系统处理用户敏感信息,如个人信息等,必须实施严格的安全措施,包括数据加密、访问控制、防攻击机制等,以保护用户数据免受未授权访问或泄露。
可维护性:系统设计应注重可维护性,采用模块化、标准化的架构,提供详尽的开发文档和用户手册,确保系统易于理解和维护,降低长期运维成本。
可扩展性:随着业务的发展,系统可能需要扩展功能或提升性能。因此,系统需具备灵活的可扩展性,能够轻松添加新模块、优化性能,以应对未来增长的需求。
易用性:用户界面应直观易用,符合用户习惯,提供清晰的导航和友好的操作反馈,帮助用户快速上手并高效完成任务,提升整体用户满意度。
3.3系统可行性分析
通过 家政服务预约平台的可行性分析,我们可以从技术可行性、经济可行性、操作可行性三个维度进行深入探讨,以确保系统的开发与应用具有坚实的可行性基础。
3.3.1技术可行性
Springboot作为目前流行的Java企业级应用开发框架,以其“约定优于配置”的原则,极大地简化了开发流程,降低了技术门槛。同时,结合MyBatis Plus这一强大的ORM框架,可以高效实现数据持久化操作。前端采用Vue框架,不仅提升了用户界面的交互体验,也实现了前后端分离的现代Web架构。MySQL数据库作为后端数据存储,以其高性能和稳定性为系统提供了可靠的数据支持。综上所述,从技术角度来看,该系统的开发具备高度可行性。
3.3.2经济可行性
考虑到Springboot、Vue、MyBatis Plus及MySQL等均为开源技术,无需支付高昂的许可费用,大大降低了系统的开发成本。同时,这些技术拥有广泛的用户群体和成熟的社区支持,便于获取技术支持和资源共享。此外,系统的实施将显著提升家政服务预约平台的效率和用户体验,从而带来潜在的经济效益。因此,从经济角度来看, 家政服务预约平台的开发同样具备可行性。
3.3.3操作可行性
系统设计应遵循用户友好原则,确保用户能够轻松上手并高效使用。通过合理的界面布局、直观的操作流程以及详尽的帮助文档,可以大大降低用户的学习成本,提高系统的操作可行性。此外,系统还应具备完善的权限管理和数据安全机制,确保操作的安全性和合规性。
从技术、经济、操作三个维度来看, 家政服务预约平台的开发均具备高度的可行性。
3.4系统用例分析
家政服务预约平台用例分析主要从普通用户、管理员、员工用户这些实体展开描述。
3.4.1普通用户用例分析
普通用户详细用例图如图3-1所示。

图3-1普通用户用例图
3.4.2管理员用例分析
管理员详细用例图如图3-2所示。

图3-2管理员用例图
3.4.3员工用户用例分析
员工用户详细用例图如图3-3所示。

图3-3员工用户用例图
4系统设计
4.1系统架构设计
系统采用SpringBoot 框架开发,该系统分为VIEW层、Controller层、Model层、DAO层和持久化数据存储层,VIEW层支持电脑浏览器访问系统。VIEW 层与 Controller 层紧密结合并系协同工作,共同完成前台页面的数据展示;Controller层为控制层,通过接收前端请求的参数进行业务处理,返回指定的路径或数据;Model层主要是服务层,用于业务逻辑处理;DAO 和持久化层,主要用于访问数据库和持久化数据[10]。整个系统架构如图4-1所示。

图4-1 系统架构图。
4.2系统结构设计
家政服务预约平台的整体结构设计如图4-2所示。

图4-2整体功能结构设计图
4.3系统功能设计
4.3.1系统开发流程
家政服务预约平台开发时,首先进行需求分析,进而对系统进行总体的设计规划,设计系统功能模块,数据库的选择等,本系统的开发流程如图4-3所示。

图4-3系统开发流程图
4.3.2 用户登录流程
为了保证系统的安全性,要使用本系统对系统信息进行管理,必须先登陆到系统中。如图4-4所示。

图4-4登录流程图
4.3.3 系统操作流程
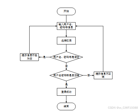
用户打开并进入系统后,会先显示登录界面,输入正确的用户名和密码,系统自动检测信息,若信息无误,则用户会进入系统功能界面,进行操作,否则会提示错误无法登录,操作流程如图4-5所示。

图4-5 系统操作流程图
4.3.4 添加信息流程
管理员可以对通知公告、新闻资讯等进行信息的添加,用户可以对自己权限内的信息进行添加,输入信息后,系统会自行验证输入的信息和数据,若信息正确,会将其添加到数据库内,若信息有误,则会提示重新输入信息,添加信息流程如图4-6所示。

图4-6添加信息流程图
4.3.5 修改信息流程
管理员可以对通知公告、新闻资讯等进行的修改,用户可以对自己权限内的信息进行修改,首先进入修改信息界面,输入修改信息数据,系统进行数据的判断验证,修改信息合法则修改成功,信息更新至数据库,信息不合法则修改失败,重新输入。修改信息流程图如图4-7所示。

图4-7 修改信息流程图
4.3.6 删除信息流程
管理员可以对通知公告、新闻资讯等进行信息的删除,对要删除的信息进行选中后,点击删除按钮,系统会询问是否确定,若点击确定,则系统会删除掉选中的信息,并在数据库内对信息进行删除,删除信息流程图如图4-8所示。

图4-8删除信息流程图
4.4数据库设计
在进行数据库设计时,概念设计帮助明确系统的整体结构和需求。在这一阶段,需要确定实体、属性以及它们之间的关系,为后续的数据库表设计奠定基础。接下来,将深入探讨数据库表设计的具体细节,实现更高效的数据存储和管理。
4.4.1 概念设计
概念设计是数据库设计的第一步,其主要目标是对系统的数据需求进行全面的理解和抽象[11]。在这一阶段,通过建立实体-关系模型(ER模型)来识别系统中的关键实体、属性及其相互关系。概念设计的输出是一个清晰的ER图,作为后续数据库表设计的基础。以下将展示系统的全局E-R图。

图4-9数据库E-R图
4.4.2数据库表设计
这一阶段的重点是将概念模型转换为实际的数据库结构,包括表的创建、字段的定义及数据类型的选择。每个实体通常对应于数据库中的一张表,而实体的属性则转化为表的列[12]。以下是系统的数据库表设计展示。
表 4-1-access_token(登陆访问时长)
| 编号 | 字段名 | 类型 | 长度 | 是否非空 | 是否主键 | 注释 |
| 1 | token_id | int | 是 | 是 | 临时访问牌ID | |
| 2 | token | varchar | 64 | 否 | 否 | 临时访问牌 |
| 3 | info | text | 65535 | 否 | 否 | 信息 |
| 4 | maxage | int | 是 | 否 | 最大寿命:默认2小时 | |
| 5 | create_time | timestamp | 是 | 否 | 创建时间 | |
| 6 | update_time | timestamp | 是 | 否 | 更新时间 | |
| 7 | user_id | int | 是 | 否 | 用户编号 |
表 4-2-article(文章)
| 编号 | 字段名 | 类型 | 长度 | 是否非空 | 是否主键 | 注释 |
| 1 | article_id | mediumint | 是 | 是 | 文章id | |
| 2 | title | varchar | 125 | 是 | 是 | 标题 |
| 3 | type | varchar | 64 | 是 | 否 | 文章分类 |
| 4 | hits | int | 是 | 否 | 点击数 | |
| 5 | praise_len | int | 是 | 否 | 点赞数 | |
| 6 | create_time | timestamp | 是 | 否 | 创建时间 | |
| 7 | update_time | timestamp | 是 | 否 | 更新时间 | |
| 8 | source | varchar | 255 | 否 | 否 | 来源 |
| 9 | url | varchar | 255 | 否 | 否 | 来源地址 |
| 10 | tag | varchar | 255 | 否 | 否 | 标签 |
| 11 | content | longtext | 4294967295 | 否 | 否 | 正文 |
| 12 | img | varchar | 255 | 否 | 否 | 封面图 |
| 13 | description | text | 65535 | 否 | 否 | 文章描述 |
表 4-3-article_type(文章分类)
| 编号 | 字段名 | 类型 | 长度 | 是否非空 | 是否主键 | 注释 |
| 1 | type_id | smallint | 是 | 是 | 分类ID | |
| 2 | display | smallint | 是 | 否 | 显示顺序 | |
| 3 | name | varchar | 16 | 是 | 否 | 分类名称 |
| 4 | father_id | smallint | 是 | 否 | 上级分类ID | |
| 5 | description | varchar | 255 | 否 | 否 | 描述 |
| 6 | icon | text | 65535 | 否 | 否 | 分类图标 |
| 7 | url | varchar | 255 | 否 | 否 | 外链地址 |
| 8 | create_time | timestamp | 是 | 否 | 创建时间 | |
| 9 | update_time | timestamp | 是 | 否 | 更新时间 |
表 4-4-auth(用户权限管理)
| 编号 | 字段名 | 类型 | 长度 | 是否非空 | 是否主键 | 注释 |
| 1 | auth_id | int | 是 | 是 | 授权ID | |
| 2 | user_group | varchar | 64 | 否 | 否 | 用户组 |
| 3 | mod_name | varchar | 64 | 否 | 否 | 模块名 |
| 4 | table_name | varchar | 64 | 否 | 否 | 表名 |
| 5 | page_title | varchar | 255 | 否 | 否 | 页面标题 |
| 6 | path | varchar | 255 | 否 | 否 | 路由路径 |
| 7 | parent | varchar | 64 | 否 | 否 | 父级菜单 |
| 8 | parent_sort | int | 是 | 否 | 父级菜单排序 | |
| 9 | position | varchar | 32 | 否 | 否 | 位置 |
| 10 | mode | varchar | 32 | 是 | 否 | 跳转方式 |
| 11 | add | tinyint | 是 | 否 | 是否可增加 | |
| 12 | del | tinyint | 是 | 否 | 是否可删除 | |
| 13 | set | tinyint | 是 | 否 | 是否可修改 | |
| 14 | get | tinyint | 是 | 否 | 是否可查看 | |
| 15 | field_add | text | 65535 | 否 | 否 | 添加字段 |
| 16 | field_set | text | 65535 | 否 | 否 | 修改字段 |
| 17 | field_get | text | 65535 | 否 | 否 | 查询字段 |
| 18 | table_nav_name | varchar | 500 | 否 | 否 | 跨表导航名称 |
| 19 | table_nav | varchar | 500 | 否 | 否 | 跨表导航 |
| 20 | option | text | 65535 | 否 | 否 | 配置 |
| 21 | create_time | timestamp | 是 | 否 | 创建时间 | |
| 22 | update_time | timestamp | 是 | 否 | 更新时间 |
表 4-5-cancel_appointment(取消预约)
| 编号 | 字段名 | 类型 | 长度 | 是否非空 | 是否主键 | 注释 |
| 1 | cancel_appointment_id | int | 是 | 是 | 取消预约ID | |
| 2 | ordinary_user | int | 否 | 否 | 普通用户 | |
| 3 | user_name | varchar | 64 | 否 | 否 | 用户姓名 |
| 4 | users_mobile_phone | varchar | 64 | 否 | 否 | 用户手机 |
| 5 | service_name | varchar | 64 | 否 | 否 | 服务名称 |
| 6 | service_type | varchar | 64 | 否 | 否 | 服务类型 |
| 7 | appointment_time | varchar | 64 | 否 | 否 | 预约时间 |
| 8 | reason_for_cancellation | text | 65535 | 否 | 否 | 取消原因 |
| 9 | examine_state | varchar | 16 | 是 | 否 | 审核状态 |
| 10 | examine_reply | varchar | 255 | 否 | 否 | 审核回复 |
| 11 | create_time | datetime | 是 | 否 | 创建时间 | |
| 12 | update_time | timestamp | 是 | 否 | 更新时间 | |
| 13 | source_table | varchar | 255 | 否 | 否 | 来源表 |
| 14 | source_id | int | 否 | 否 | 来源ID | |
| 15 | source_user_id | int | 否 | 否 | 来源用户 |
表 4-6-code_token(验证码)
| 编号 | 字段名 | 类型 | 长度 | 是否非空 | 是否主键 | 注释 |
| 1 | code_token_id | int | 是 | 是 | 验证码ID | |
| 2 | token | varchar | 255 | 否 | 否 | 令牌 |
| 3 | code | varchar | 255 | 否 | 否 | 验证码 |
| 4 | expire_time | timestamp | 是 | 否 | 失效时间 | |
| 5 | create_time | timestamp | 是 | 否 | 创建时间 | |
| 6 | update_time | timestamp | 是 | 否 | 更新时间 |
表 4-7-collect(收藏)
| 编号 | 字段名 | 类型 | 长度 | 是否非空 | 是否主键 | 注释 |
| 1 | collect_id | int | 是 | 是 | 收藏ID | |
| 2 | user_id | int | 是 | 是 | 收藏人ID | |
| 3 | source_table | varchar | 255 | 否 | 否 | 来源表 |
| 4 | source_field | varchar | 255 | 否 | 否 | 来源字段 |
| 5 | source_id | int | 是 | 否 | 来源ID | |
| 6 | title | varchar | 255 | 否 | 否 | 标题 |
| 7 | img | varchar | 255 | 否 | 否 | 封面 |
| 8 | create_time | timestamp | 是 | 否 | 创建时间 | |
| 9 | update_time | timestamp | 是 | 否 | 更新时间 |
表 4-8-comment(评论)
| 编号 | 字段名 | 类型 | 长度 | 是否非空 | 是否主键 | 注释 |
| 1 | comment_id | int | 是 | 是 | 评论ID | |
| 2 | user_id | int | 是 | 是 | 评论人ID | |
| 3 | reply_to_id | int | 是 | 否 | 回复评论ID | |
| 4 | content | longtext | 4294967295 | 否 | 否 | 内容 |
| 5 | nickname | varchar | 255 | 否 | 否 | 昵称 |
| 6 | avatar | varchar | 255 | 否 | 否 | 头像地址 |
| 7 | create_time | timestamp | 是 | 否 | 创建时间 | |
| 8 | update_time | timestamp | 是 | 否 | 更新时间 | |
| 9 | source_table | varchar | 255 | 否 | 否 | 来源表 |
| 10 | source_field | varchar | 255 | 否 | 否 | 来源字段 |
| 11 | source_id | int | 是 | 否 | 来源ID |
表 4-9-employee_user(员工用户)
| 编号 | 字段名 | 类型 | 长度 | 是否非空 | 是否主键 | 注释 |
| 1 | employee_user_id | int | 是 | 是 | 员工用户ID | |
| 2 | employee_name | varchar | 64 | 否 | 否 | 员工姓名 |
| 3 | employee_gender | varchar | 64 | 否 | 否 | 员工性别 |
| 4 | employee_phone | varchar | 16 | 否 | 否 | 员工电话 |
| 5 | examine_state | varchar | 16 | 是 | 否 | 审核状态 |
| 6 | user_id | int | 是 | 否 | 用户ID | |
| 7 | create_time | datetime | 是 | 否 | 创建时间 | |
| 8 | update_time | timestamp | 是 | 否 | 更新时间 |
表 4-10-hits(用户点击)
| 编号 | 字段名 | 类型 | 长度 | 是否非空 | 是否主键 | 注释 |
| 1 | hits_id | int | 是 | 是 | 点赞ID | |
| 2 | user_id | int | 是 | 否 | 点赞人 | |
| 3 | create_time | timestamp | 是 | 否 | 创建时间 | |
| 4 | update_time | timestamp | 是 | 否 | 更新时间 | |
| 5 | source_table | varchar | 255 | 否 | 否 | 来源表 |
| 6 | source_field | varchar | 255 | 否 | 否 | 来源字段 |
| 7 | source_id | int | 是 | 否 | 来源ID |
表 4-11-notice(公告)
| 编号 | 字段名 | 类型 | 长度 | 是否非空 | 是否主键 | 注释 |
| 1 | notice_id | mediumint | 是 | 是 | 公告ID | |
| 2 | title | varchar | 125 | 是 | 否 | 标题 |
| 3 | content | longtext | 4294967295 | 否 | 否 | 正文 |
| 4 | create_time | timestamp | 是 | 否 | 创建时间 | |
| 5 | update_time | timestamp | 是 | 否 | 更新时间 |
表 4-12-ordinary_user(普通用户)
| 编号 | 字段名 | 类型 | 长度 | 是否非空 | 是否主键 | 注释 |
| 1 | ordinary_user_id | int | 是 | 是 | 普通用户ID | |
| 2 | user_name | varchar | 64 | 否 | 否 | 用户姓名 |
| 3 | user_gender | varchar | 64 | 否 | 否 | 用户性别 |
| 4 | users_mobile_phone | varchar | 16 | 否 | 否 | 用户手机 |
| 5 | examine_state | varchar | 16 | 是 | 否 | 审核状态 |
| 6 | user_id | int | 是 | 否 | 用户ID | |
| 7 | create_time | datetime | 是 | 否 | 创建时间 | |
| 8 | update_time | timestamp | 是 | 否 | 更新时间 |
表 4-13-praise(点赞)
| 编号 | 字段名 | 类型 | 长度 | 是否非空 | 是否主键 | 注释 |
| 1 | praise_id | int | 是 | 是 | 点赞ID | |
| 2 | user_id | int | 是 | 是 | 点赞人 | |
| 3 | create_time | timestamp | 是 | 否 | 创建时间 | |
| 4 | update_time | timestamp | 是 | 否 | 更新时间 | |
| 5 | source_table | varchar | 255 | 否 | 否 | 来源表 |
| 6 | source_field | varchar | 255 | 否 | 否 | 来源字段 |
| 7 | source_id | int | 是 | 否 | 来源ID | |
| 8 | status | tinyint | 是 | 否 | 点赞状态:1为点赞,0已取消 |
表 4-14-reminder_notifications(提醒通知)
| 编号 | 字段名 | 类型 | 长度 | 是否非空 | 是否主键 | 注释 |
| 1 | reminder_notifications_id | int | 是 | 是 | 提醒通知ID | |
| 2 | ordinary_user | int | 否 | 否 | 普通用户 | |
| 3 | notification_title | varchar | 64 | 否 | 否 | 通知标题 |
| 4 | notification_type | varchar | 64 | 否 | 否 | 通知类型 |
| 5 | notification_time | datetime | 否 | 否 | 通知时间 | |
| 6 | notification_content | text | 65535 | 否 | 否 | 通知内容 |
| 7 | create_time | datetime | 是 | 否 | 创建时间 | |
| 8 | update_time | timestamp | 是 | 否 | 更新时间 | |
| 9 | source_table | varchar | 255 | 否 | 否 | 来源表 |
| 10 | source_id | int | 否 | 否 | 来源ID | |
| 11 | source_user_id | int | 否 | 否 | 来源用户 |
表 4-15-service_evaluation(服务评价)
| 编号 | 字段名 | 类型 | 长度 | 是否非空 | 是否主键 | 注释 |
| 1 | service_evaluation_id | int | 是 | 是 | 服务评价ID | |
| 2 | employee_user | int | 否 | 否 | 员工用户 | |
| 3 | employee_name | varchar | 64 | 否 | 否 | 员工姓名 |
| 4 | ordinary_user | int | 否 | 否 | 普通用户 | |
| 5 | user_name | varchar | 64 | 否 | 否 | 用户姓名 |
| 6 | service_name | varchar | 64 | 否 | 否 | 服务名称 |
| 7 | service_type | varchar | 64 | 否 | 否 | 服务类型 |
| 8 | service_duration | varchar | 64 | 否 | 否 | 服务时长 |
| 9 | service_rating | double | 否 | 否 | 服务评分 | |
| 10 | service_evaluation | text | 65535 | 否 | 否 | 服务评价 |
| 11 | examine_state | varchar | 16 | 是 | 否 | 审核状态 |
| 12 | examine_reply | varchar | 255 | 否 | 否 | 审核回复 |
| 13 | create_time | datetime | 是 | 否 | 创建时间 | |
| 14 | update_time | timestamp | 是 | 否 | 更新时间 | |
| 15 | source_table | varchar | 255 | 否 | 否 | 来源表 |
| 16 | source_id | int | 否 | 否 | 来源ID | |
| 17 | source_user_id | int | 否 | 否 | 来源用户 |
表 4-16-service_information(服务信息)
| 编号 | 字段名 | 类型 | 长度 | 是否非空 | 是否主键 | 注释 |
| 1 | service_information_id | int | 是 | 是 | 服务信息ID | |
| 2 | service_name | varchar | 64 | 否 | 否 | 服务名称 |
| 3 | service_type | varchar | 64 | 否 | 否 | 服务类型 |
| 4 | work_experience | varchar | 64 | 否 | 否 | 工作经验 |
| 5 | service_rating | varchar | 64 | 否 | 否 | 服务评分 |
| 6 | service_price | double | 否 | 否 | 服务价格 | |
| 7 | cover_image | varchar | 255 | 否 | 否 | 封面图片 |
| 8 | service_introduction | longtext | 4294967295 | 否 | 否 | 服务介绍 |
| 9 | hits | int | 是 | 否 | 点击数 | |
| 10 | praise_len | int | 是 | 否 | 点赞数 | |
| 11 | collect_len | int | 是 | 否 | 收藏数 | |
| 12 | comment_len | int | 是 | 否 | 评论数 | |
| 13 | recommend | int | 是 | 否 | 智能推荐 | |
| 14 | service_reservation_limit_times | int | 是 | 否 | 预约服务限制次数 | |
| 15 | create_time | datetime | 是 | 否 | 创建时间 | |
| 16 | update_time | timestamp | 是 | 否 | 更新时间 |
表 4-17-service_order(服务订单)
| 编号 | 字段名 | 类型 | 长度 | 是否非空 | 是否主键 | 注释 |
| 1 | service_order_id | int | 是 | 是 | 服务订单ID | |
| 2 | employee_user | int | 否 | 否 | 员工用户 | |
| 3 | employee_name | varchar | 64 | 否 | 否 | 员工姓名 |
| 4 | ordinary_user | int | 否 | 否 | 普通用户 | |
| 5 | user_name | varchar | 64 | 否 | 否 | 用户姓名 |
| 6 | service_name | varchar | 64 | 否 | 否 | 服务名称 |
| 7 | service_type | varchar | 64 | 否 | 否 | 服务类型 |
| 8 | service_price | varchar | 64 | 否 | 否 | 服务价格 |
| 9 | service_duration | double | 否 | 否 | 服务时长 | |
| 10 | total_order_price | varchar | 64 | 否 | 否 | 订单总价 |
| 11 | service_content | text | 65535 | 否 | 否 | 服务内容 |
| 12 | pay_state | varchar | 16 | 是 | 否 | 支付状态 |
| 13 | pay_type | varchar | 16 | 否 | 否 | 支付类型: 微信、支付宝、网银 |
| 14 | service_evaluation_limit_times | int | 是 | 否 | 服务评价限制次数 | |
| 15 | create_time | datetime | 是 | 否 | 创建时间 | |
| 16 | update_time | timestamp | 是 | 否 | 更新时间 | |
| 17 | source_table | varchar | 255 | 否 | 否 | 来源表 |
| 18 | source_id | int | 否 | 否 | 来源ID | |
| 19 | source_user_id | int | 否 | 否 | 来源用户 |
表 4-18-service_reservation(服务预约)
| 编号 | 字段名 | 类型 | 长度 | 是否非空 | 是否主键 | 注释 |
| 1 | service_reservation_id | int | 是 | 是 | 服务预约ID | |
| 2 | employee_user | int | 否 | 否 | 员工用户 | |
| 3 | employee_name | varchar | 64 | 否 | 否 | 员工姓名 |
| 4 | ordinary_user | int | 否 | 否 | 普通用户 | |
| 5 | user_name | varchar | 64 | 否 | 否 | 用户姓名 |
| 6 | users_mobile_phone | varchar | 64 | 否 | 否 | 用户手机 |
| 7 | service_name | varchar | 64 | 否 | 否 | 服务名称 |
| 8 | service_type | varchar | 64 | 否 | 否 | 服务类型 |
| 9 | service_price | double | 否 | 否 | 服务价格 | |
| 10 | appointment_time | datetime | 否 | 否 | 预约时间 | |
| 11 | number_of_appointments | varchar | 64 | 否 | 否 | 预约次数 |
| 12 | appointment_remarks | text | 65535 | 否 | 否 | 预约备注 |
| 13 | examine_state | varchar | 16 | 是 | 否 | 审核状态 |
| 14 | examine_reply | varchar | 255 | 否 | 否 | 审核回复 |
| 15 | pay_state | varchar | 16 | 是 | 否 | 支付状态 |
| 16 | pay_type | varchar | 16 | 否 | 否 | 支付类型: 微信、支付宝、网银 |
| 17 | cancel_appointment_limit_times | int | 是 | 否 | 取消预约限制次数 | |
| 18 | service_order_limit_times | int | 是 | 否 | 服务订单限制次数 | |
| 19 | reminder_notifications_limit_times | int | 是 | 否 | 通知提醒限制次数 | |
| 20 | create_time | datetime | 是 | 否 | 创建时间 | |
| 21 | update_time | timestamp | 是 | 否 | 更新时间 | |
| 22 | source_table | varchar | 255 | 否 | 否 | 来源表 |
| 23 | source_id | int | 否 | 否 | 来源ID | |
| 24 | source_user_id | int | 否 | 否 | 来源用户 |
表 4-19-service_type(服务类型)
| 编号 | 字段名 | 类型 | 长度 | 是否非空 | 是否主键 | 注释 |
| 1 | service_type_id | int | 是 | 是 | 服务类型ID | |
| 2 | service_type | varchar | 64 | 否 | 否 | 服务类型 |
| 3 | create_time | datetime | 是 | 否 | 创建时间 | |
| 4 | update_time | timestamp | 是 | 否 | 更新时间 |
表 4-20-slides(轮播图)
| 编号 | 字段名 | 类型 | 长度 | 是否非空 | 是否主键 | 注释 |
| 1 | slides_id | int | 是 | 是 | 轮播图ID | |
| 2 | title | varchar | 64 | 否 | 否 | 标题 |
| 3 | content | varchar | 255 | 否 | 否 | 内容 |
| 4 | url | varchar | 255 | 否 | 否 | 链接 |
| 5 | img | varchar | 255 | 否 | 否 | 轮播图 |
| 6 | hits | int | 是 | 否 | 点击量 | |
| 7 | create_time | timestamp | 是 | 否 | 创建时间 | |
| 8 | update_time | timestamp | 是 | 否 | 更新时间 |
表 4-21-upload(文件上传)
| 编号 | 字段名 | 类型 | 长度 | 是否非空 | 是否主键 | 注释 |
| 1 | upload_id | int | 是 | 是 | 上传ID | |
| 2 | name | varchar | 64 | 否 | 否 | 文件名 |
| 3 | path | varchar | 255 | 否 | 否 | 访问路径 |
| 4 | file | varchar | 255 | 否 | 否 | 文件路径 |
| 5 | display | varchar | 255 | 否 | 否 | 显示顺序 |
| 6 | father_id | int | 否 | 否 | 父级ID | |
| 7 | dir | varchar | 255 | 否 | 否 | 文件夹 |
| 8 | type | varchar | 32 | 否 | 否 | 文件类型 |
表 4-22-user(用户账户)
| 编号 | 字段名 | 类型 | 长度 | 是否非空 | 是否主键 | 注释 |
| 1 | user_id | int | 是 | 是 | 用户ID | |
| 2 | state | smallint | 是 | 否 | 账户状态:(1可用|2异常|3已冻结|4已注销) | |
| 3 | user_group | varchar | 32 | 否 | 否 | 所在用户组 |
| 4 | login_time | timestamp | 是 | 否 | 上次登录时间 | |
| 5 | phone | varchar | 11 | 否 | 否 | 手机号码 |
| 6 | phone_state | smallint | 是 | 否 | 手机认证:(0未认证|1审核中|2已认证) | |
| 7 | username | varchar | 16 | 是 | 否 | 用户名 |
| 8 | nickname | varchar | 16 | 否 | 否 | 昵称 |
| 9 | password | varchar | 64 | 是 | 否 | 密码 |
| 10 | | varchar | 64 | 否 | 否 | 邮箱 |
| 11 | email_state | smallint | 是 | 否 | 邮箱认证:(0未认证|1审核中|2已认证) | |
| 12 | avatar | varchar | 255 | 否 | 否 | 头像地址 |
| 13 | open_id | varchar | 255 | 否 | 否 | 针对获取用户信息字段 |
| 14 | create_time | timestamp | 是 | 否 | 创建时间 |
表 4-23-user_group(用户组)
| 编号 | 字段名 | 类型 | 长度 | 是否非空 | 是否主键 | 注释 |
| 1 | group_id | mediumint | 是 | 是 | 用户组ID | |
| 2 | display | smallint | 是 | 否 | 显示顺序 | |
| 3 | name | varchar | 16 | 是 | 否 | 名称 |
| 4 | description | varchar | 255 | 否 | 否 | 描述 |
| 5 | source_table | varchar | 255 | 否 | 否 | 来源表 |
| 6 | source_field | varchar | 255 | 否 | 否 | 来源字段 |
| 7 | source_id | int | 是 | 否 | 来源ID | |
| 8 | register | smallint | 否 | 否 | 注册位置 | |
| 9 | create_time | timestamp | 是 | 否 | 创建时间 | |
| 10 | update_time | timestamp | 是 | 否 | 更新时间 |
5系统实现
5.1普通用户功能实现
5.1.1首页
首页展示平台的核心功能和服务推荐,用户可以根据需求快速浏览和选择各类家政服务项目,如保洁、护理、家电清洗等。如图所示。

图5-1首页界面图
5.1.2通知公告
平台发布的重要通知和公告将通过该模块展示,用户能够及时查看平台的最新活动、政策变化或系统维护信息。如图所示。

图5-2通知公告界面图
5.1.3新闻资讯
展示关于家政行业、平台动态或社会热点的新闻资讯,帮助用户了解行业发展趋势及相关信息,提升平台内容的丰富性。如图所示。

图5-3新闻资讯界面图
5.1.4服务信息
提供详细的家政服务项目信息,包括服务内容、价格、提供时段和服务区域,让用户可以全面了解每项服务的特点和收费标准。如图所示。


图5-4服务信息界面图
5.1.5服务预约
用户可以在线选择所需的家政服务,并根据时间、地点等条件进行预约,确保需求及时得到满足。如图所示。


图5-5服务预约界面图
5.1.6服务订单
用户可以查看所有已提交的服务订单,包括订单状态、支付信息、预约详情等,帮助用户全面跟踪服务进度。如图所示。

图5-6服务订单界面图
5.1.7个人中心
用户的个人首页将汇总所有重要信息,包括预约记录、服务历史、用户评价等,使用户快速了解自己的账户状况。如图所示。

图5-7个人中心界面图
5.2管理员功能实现
5.2.1后台首页
提供平台运营的总览信息,包括订单统计、用户活跃度、服务评价等重要数据,帮助管理员进行决策和优化。如图所示。

图5-8后台首页界面图
5.2.2系统用户管理
管理员可以查看、添加、修改或删除平台用户(包括普通用户、员工和其他管理员)的信息和权限,确保平台的正常运作。如图所示。

图5-9系统用户管理界面图
5.2.3 服务信息管理
管理员可对平台提供的家政服务项目信息进行增删改查操作,确保服务信息的更新和准确性,满足用户需求。如图所示。

图5-10服务信息管理界面图
5.2.4服务类型管理
管理员可以维护服务的种类和分类,包括增加新的服务类型,调整现有服务类别,确保平台分类清晰、服务多样。如图所示。

图5-11服务类型管理界面图
5.2.5服务预约管理
管理员可以查看和管理所有的用户预约记录,及时跟踪和调整服务安排,避免服务冲突或资源浪费。如图所示。

图5-12服务预约管理界面图
5.2.6系统管理
管理员通过该功能模块管理平台的一些基础设置和功能,如轮播图的内容、平台主题等,保证平台的视觉更新与功能稳定。如图所示。

图5-13系统管理界面图
5.2.7通知公告管理
管理员可以发布和管理平台的通知公告,及时向用户传达平台重要政策、活动和调整内容,确保信息的透明度。如图所示。

图5-14通知公告管理界面图
5.2.8资源管理
管理员可以管理平台的资讯内容,分类并发布行业新闻、平台活动等资讯,增强平台的内容价值和用户参与感。如图所示。

图5-15资源管理界面图
5.3员工用户功能实现
5.3.1 服务订单
员工可以查看自己的所有待接单和已接单的家政服务订单,确认服务时间和任务内容,确保按时完成服务。如图所示。

图5-16服务订单界面图
5.3.2 个人中心
员工首页概览所有相关任务和订单情况,帮助员工高效管理自己的工作安排和客户关系。如图所示。

图5-17个人中心界面图
6系统测试
6.1测试目的
测试的主要目的是确保系统的功能和性能满足预期的需求,同时识别和修复潜在的缺陷。通过系统测试,可以验证各个功能模块的正确性和稳定性,确保系统在不同使用场景下的表现符合设计要求。测试目的包括确认系统功能的完整性、验证数据处理的准确性、评估系统的性能和安全性。测试还可以提高用户满意度,保证用户在使用系统时获得流畅和可靠的体验。通过全面的测试,可以降低后期维护成本,减少系统上线后出现故障的风险,从而保障系统的长期稳定运行。
6.2测试方法
在本系统中,测试方法主要依赖于测试用例的设计与执行。测试用例是根据系统需求文档编写的,覆盖所有功能模块及其边界情况。每个测试用例包含输入数据、预期结果和实际结果的对比,以验证系统的功能是否按预期工作。
常见的测试用例包括功能测试用例、边界测试用例和异常测试用例[13]。功能测试用例针对系统的各项功能进行验证;边界测试用例则侧重于输入数据的边界条件,验证系统在极端情况下是否能够稳定运行;异常测试用例则用于验证系统在处理错误输入或异常情况时的反应。本文选择功能测试用例进行系统测试。
在测试执行过程中,记录每个用例的执行结果,并根据实际结果与预期结果的对比,判断系统是否存在缺陷。通过系统化的测试用例执行,可以有效提高测试的覆盖率和效率,为系统的最终上线提供保障。
6.3测试内容
通过对系统中所含的主要实体对象及其功能操作进行测试用例设计。以下是详细的测试:
表6-1用户注册登录测试表
用户注册登录测试用例:
| 用例说明 | 测试目的 | 测试步骤 | 预期结果 | 输出结果 | 通过情况 |
| 用户注册、登录 | 测试用户正确注册、登录 |
| 用户注册成功,登录成功 | 结果输出符合预期 | 通过 |
表6-2新闻资讯评论测试表
新闻资讯评论测试用例:
| 用例说明 | 测试目的 | 测试步骤 | 预期结果 | 输出结果 | 通过情况 |
| 新闻资讯评论 | 测试用户新闻资讯评论功能 | 1、在首页点击新闻资讯并看详情; 2、点击评论,输入相关信息点击提交 | 生成新的评论信息 | 结果输出符合预期 | 通过 |
表6-3新闻资讯添加测试表
管理员新闻资讯添加测试用例:
| 用例说明 | 测试目的 | 测试步骤 | 预期结果 | 输出结果 | 通过情况 |
| 新闻资讯添加测试 | 测试管理员添加新闻资讯功能 |
| 新闻资讯添加成功 | 结果输出符合预期 | 通过 |
表6-4通知公告删除测试表
通知公告删除测试用例:
| 用例说明 | 测试目的 | 测试步骤 | 预期结果 | 输出结果 | 通过情况 |
| 通知公告删除测试 | 测试通知公告删除功能 |
| 通知公告删除成功,前端不在展示该通知公告 | 结果输出符合预期 | 通过 |
6.4测试结论
经过上述测试,并对测试数据结果综合分析。 家政服务预约平台具备简便,数据透明等特性。完全符合 家政服务预约平台的要求。
结 论
本课题设计并实现了一个基于Spring Boot框架的家政服务预约平台,旨在通过信息化手段提升家政服务行业的效率和质量。平台通过引入数据分析、智能匹配和自动化调度等技术,优化了传统家政服务的管理和流程,解决了信息不对称、沟通低效和服务质量难以保障的问题。平台为普通用户、员工用户和管理员提供了不同的功能模块,确保了服务预约、订单管理、评价反馈等环节的高效运行。
通过该平台,用户可以便捷地预约家政服务、查看服务信息、进行评价,员工则能高效地管理任务与订单,管理员则负责平台内容和数据的管理。实验结果表明,平台不仅提高了用户的服务体验,还提升了家政服务行业的整体运作效率,具有较高的实际应用价值和市场推广潜力。总体而言,本课题为家政服务行业的智能化和现代化发展提供了有力的技术支持和理论依据。
参考文献
- 冯志林.Java EE程序设计与开发实践教程[M].机械工业出版社:202105.353.
- 尹应荆.JAVA编程语言在计算机软件开发中的应用[J].石河子科技,2023,(05):45-47.
- 刘江涛,王亮亮,吴庆茹,等.基于B/S模式的铁路勘测设计案例信息化管理系统设计与实现[J].铁路计算机应用,2021,30(03):32-35.
- 张丹丹,李弘.基于B/S架构的办公管理系统设计与开发[J].铁路通信信号工程技术,2024,21(09):44-48+106.
- 王志亮,纪松波.基于SpringBoot的Web前端与数据库的接口设计[J].工业控制计算机,2023,36(03):51-53.
- 熊永平.基于SpringBoot框架应用开发技术的分析与研究[J].电脑知识与技术,2021,15(36):76-77.
- 赵媛.基于Vue的Web系统前端性能优化分析[J].电脑编程技巧与维护,2024,(09):44-46.
- 秦冬.浅析Vue框架在前端开发中的应用[J].信息与电脑(理论版),2024,36(13):61-63.
- 李艳杰.MySQL数据库下存储过程的综合运用研究[J].现代信息科技,2023,7(11):80-82+88.
- 陈倩怡,何军.Vue+Springboot+MyBatis技术应用解析[J].电脑编程技巧与维护,2020,(01):14-15+28.
- 周晓玉,崔文超.基于Web技术的数据库应用系统设计[J].信息与电脑(理论版),2023,35(09):189-191.
- 马艳艳,吴晓光.计算机软件与数据库的设计策略分析[J].电子技术,2024,53(05):104-105.
- 李俊萌.计算机软件测试技术与开发应用策略分析[J].信息记录材料,2023,24(03):50-52.
- Durrani K O ,Ali S M ,Makandar S D , et al.Performance Analysis of Linear Congruential Random Generator Algorithms Using Python and Java Languages[J].Journal of Advances in Mathematics and Computer Science,2025,40(2):40-52.
- 李宏滨,王凯文.基于深度学习的家政服务推荐系统设计[J].山西电子技术,2024,(02):88-90+96.
- Liu H .Comparative Application of Teaching Methods in C Language and JAVA Programming Courses[J].International Journal of New Developments in Education,2024,6(1):
- 崔瀚铭.本地生活服务系统的设计与实现[D].南京大学,2021.DOI:10.27235/d.cnki.gnjiu.2021.001271.
- 黎娄.基于诚信体制的个性化家政服务平台[J].南方论刊,2020,(07):30-32.
- 项俊淇.基于联盟链的大众可信家政服务系统的设计与实现[D].重庆大学,2020.DOI:10.27670/d.cnki.gcqdu.2020.003989.
- Kurniawan B .Use of Smartapps for administrative service based paperless system[J].IOP Conference Series: Materials Science and Engineering,2019,662(2):
- 王振,尼邦家政服务管理系统V1.0.安徽省,安徽新视点商务服务有限公司,2019-09-24.
- 孙紫豪,闵娟娟,李南.基于Web的家政服务平台的设计与实现[J].电脑知识与技术,2021,17(20):74-77.DOI:10.14004/j.cnki.ckt.2021.1975.
致 谢
本论文的完成离不开众多导师、同学以及亲友的支持与帮助。在此,首先向我的导师表示最诚挚的感谢。在整个研究和写作过程中,导师以严谨治学的态度和丰富的专业知识给予了我无私的指导,从论文选题到最终定稿的每一个环节,都为我提供了宝贵的建议与意见,使我得以不断完善研究内容、拓展学术视野。导师耐心细致的指导不仅帮助我解决了许多学术难题,也让我在研究能力与学术写作方面得到了显著的提升。导师的鼓励与支持是我完成这篇论文的重要动力,也让我深刻体会到学术研究的严谨性与意义。
我还要感谢在学习生活中给予我帮助和支持的同学、朋友以及家人。论文撰写过程中,许多同学与我共同探讨问题,分享经验与资料,使我的研究更加全面深入。朋友们的关心和陪伴让我在繁忙的研究过程中能够调节心情,保持良好的状态。特别感谢我的家人,他们始终给予我无条件的理解和支持,为我创造了安心学习与研究的环境。正是因为有了大家的帮助和支持,我才能克服论文写作中的重重困难并顺利完成。再次向所有支持和帮助过我的人表达衷心的感谢。
家政服务预约平台设计
1041

被折叠的 条评论
为什么被折叠?



