摘 要
随着互联网技术的快速发展,大学生群体的兼职需求日益增加,传统的兼职信息发布和管理方式逐渐显得不够高效和便捷。基于此,本文设计并实现了一款基于Spring Boot框架的大学生兼职网站,旨在为大学生提供一个高效、便捷、安全的兼职信息平台。本系统通过前后端分离的架构设计,采用Spring Boot作为后端开发框架,结合MySQL数据库和前端技术,提供了完善的功能模块,满足了管理员和学生用户的不同需求。
管理员端包括系统用户管理、兼职招聘管理、兼职申请管理、兼职记录管理、网站公告管理等功能模块,能够有效地管理兼职信息、审核申请、发布公告和管理资源。学生端提供了兼职招聘浏览、申请、查看兼职记录、收藏和评论等功能,确保学生用户能够轻松查找适合的兼职岗位,进行申请,并管理自己的兼职记录和反馈。
系统采用了安全性高、扩展性强的设计原则,能够在大规模用户使用的情况下稳定运行,并支持未来功能的扩展和优化。该系统不仅提高了兼职招聘信息的发布效率,也为大学生提供了一个良好的就业机会,同时也为企业和招聘方提供了一个更加高效的招聘渠道。
本论文详细介绍了系统的设计思想、技术架构、实现过程及测试结果,最终为大学生兼职市场提供了一种新的解决方案,具备较好的实践应用价值。
关键词:Spring Boot;大学生兼职网站;前后端分离;兼职招聘管理
Abstract
With the rapid development of Internet technology, the demand for part-time jobs of college students is increasing day by day. The traditional part-time information release and management methods gradually appear to be inefficient and convenient. Based on this, this article designs and implements a part-time website for college students based on the Spring Boot framework, aiming to provide an efficient, convenient, and secure part-time information platform for college students. This system is designed with a front-end and back-end separation architecture, using Spring Boot as the backend development framework, combined with MySQL database and front-end technology, providing comprehensive functional modules to meet the different needs of administrators and student users.
The administrator side includes functional modules such as system user management, part-time recruitment management, part-time application management, part-time record management, website announcement management, etc., which can effectively manage part-time information, review applications, publish announcements, and manage resources. The student end provides functions such as browsing, applying, viewing part-time job records, bookmarking, and commenting, ensuring that student users can easily find suitable part-time positions, apply, and manage their own part-time records and feedback.
The system adopts the design principles of high security and strong scalability, which can run stably under large-scale user use and support future function expansion and optimization. This system not only improves the efficiency of publishing part-time job recruitment information, but also provides a good employment opportunity for college students, as well as a more efficient recruitment channel for enterprises and recruiters.
This paper provides a detailed introduction to the design philosophy, technical architecture, implementation process, and testing results of the system, ultimately offering a new solution for the college part-time job market with good practical application value.
Keywords:Spring Boot; College student part-time job website; Front and rear separation; Part time recruitment management
目 录
1 前 言
1.1研究背景
大学生兼职需求逐年增加,随着高等教育的普及,大学生群体的规模逐渐壮大。许多学生通过兼职工作不仅能够减轻家庭经济负担,还能够积累社会经验,增强职业竞争力。传统的兼职信息获取途径通常依赖于校园招聘会、传单广告以及各类非正式的社交平台,然而这些方式存在信息更新滞后、真实性难以保证、筛选不精准等问题,使得学生在寻找合适兼职岗位时面临诸多困扰。
用人单位发布兼职招聘信息的方式多为线下或非正式的网络平台,往往缺乏统一的管理和规范,导致招聘信息的传播效率低、信息分散且难以保证信息的准确性与时效性。传统的兼职市场不仅在信息发布与求职之间存在明显的脱节,兼职岗位的筛选和管理工作也显得繁琐低效。因此,搭建一个集中化、规范化、系统化的大学生兼职网站,能够有效整合和优化兼职信息,帮助学生快速匹配合适的兼职岗位,同时为招聘单位提供更加高效的招聘渠道。
随着互联网的普及和技术的发展,许多大学生逐渐习惯通过在线平台获取兼职信息。现有的大学生兼职网站尚未充分满足用户需求,存在许多功能设计不足和用户体验差的问题。因此,研究和开发基于现代技术架构的大学生兼职网站,能够为大学生提供更加可靠、便捷的兼职信息,提升兼职招聘的效率,也为相关领域的学术研究提供了一定的实践价值和理论支持。
1.2研究意义
大学生兼职网站的研究意义在于为大学生提供一个更加高效、便捷的兼职信息获取和管理平台,满足其多样化的就业需求。随着大学生群体规模的不断扩大和就业形势的日益严峻,兼职作为一种既能减轻经济压力,又能提升职业素养的途径,受到了广泛关注。然而,现有的兼职招聘渠道多样且复杂,信息传播的有效性和及时性往往无法满足学生和用人单位的需求。因此,构建一个集中、专业的兼职信息平台,有助于弥补信息传播中的空白,提升兼职招聘的效率和准确性。
通过对大学生兼职网站的研究,能够为大学生提供一个集中发布兼职信息、申请管理以及信息审核的综合平台,避免传统兼职招聘中存在的信息滞后、信息真实性不足等问题。学生可以根据自身需求快速获取符合条件的兼职机会,减少了信息筛选的时间和成本。此外,平台还可以为企业和招聘方提供更加便捷和高效的招聘途径,提升了招聘过程的透明度和便捷性,从而实现学生和用人单位之间的有效对接。
从学术角度来看,大学生兼职网站的研究有助于推动大学生就业研究领域的发展,探索基于互联网技术的就业信息化管理模式。通过实际案例分析和系统设计,能够为后续相关领域的研究提供理论依据和技术支持。此外,网站的开发和实施也具有实际的社会意义,能够帮助大学生更好地融入社会、提高就业竞争力,促进社会经济的可持续发展。
1.3国内外研究现状
1.3.1国内研究现状
国内关于大学生兼职网站的研究现状已逐渐形成一系列成熟的理论与实践成果,其中许多研究为基于Spring Boot技术实现大学生兼职网站的开发提供了宝贵的参考与借鉴。
庄海涛与田柏玉[1]提出了基于Go语言的学生在线兼职平台的设计,虽然该研究的技术框架不同于Spring Boot,但其对平台设计的思路和功能实现具有较高的参考价值。该研究中的功能模块划分和用户管理系统为本课题的系统架构设计提供了有益启示,尤其是在兼职岗位发布与管理、用户信息保护等方面,能够帮助本课题更加细致地规划系统功能和优化用户体验。
张文洁等[2]的研究关注了基于互联网的高校兼职平台的功能设计,强调了平台中信息的发布与匹配功能,并提出了多种实用的交互设计思路。该研究的功能设计能够为本课题提供有价值的参考,特别是在如何高效管理学生与兼职岗位之间的匹配问题,以及如何通过功能设计提升用户体验方面,具有重要的借鉴意义。
马英瑞等[3]的研究探讨了Web平台上校园兼职系统的设计与实现,提出了一种基于Web的兼职平台架构,并对系统的功能进行了详细设计。虽然该研究并未专门针对Spring Boot框架进行研究,但其中涉及的系统架构设计、数据库管理以及后台管理功能都为本课题在Web开发过程中提供了技术支持和实践指导,尤其在数据库设计与兼职信息管理上提供了宝贵的经验。
何肖娜[4]提出的基于Android和Web的大学生兼职系统设计与实现,为本课题提供了移动端与Web端的结合方案,虽然本课题主要聚焦于基于Spring Boot的Web端开发,但该研究对于多平台交互的设计思路具有一定的启发作用。通过参考该研究中的平台适配与交互设计,本课题可以更加注重系统的跨平台支持与灵活性,确保不同终端的用户均能顺利使用。
张冬与田艳[5]的校园兼职信息管理系统分析与设计,深入探讨了校园兼职信息的管理与流通机制。该研究的设计思想能够为本课题提供理论依据,尤其是在如何确保兼职信息的真实性、更新频率和用户的精准匹配方面,具有实际指导作用。通过结合该研究的管理策略,本课题可以进一步完善兼职信息流通机制,提高系统的可靠性和效率。
杨玲与李连天[6]提出的基于Web的大学生兼职系统的研究与实现,为Web端的系统架构与功能设计提供了详细的实现路径。该研究在兼职岗位的管理、学生申请流程以及招聘单位的审核机制等方面进行了深入的探讨,为本课题中的管理系统部分提供了理论基础和实践参考,特别是在如何高效管理学生与兼职岗位之间的申请与匹配方面。
杜洋与赵涛[7]的企业招聘系统设计与实现,虽然主要聚焦于企业招聘而非大学生兼职,但其在系统设计中的用户管理、职位发布、招聘信息管理等方面的研究,对本课题的招聘功能设计具有较强的借鉴意义。通过借鉴该研究的设计思路,本课题能够优化兼职岗位的发布与筛选功能,提升招聘过程的高效性和透明度。
这些国内的研究成果不仅为基于Spring Boot的大学生兼职网站提供了丰富的理论支持,也为具体的技术实现和功能设计提供了宝贵的参考。在实际开发过程中,通过借鉴这些研究中的设计理念和实现路径,可以有效提升系统的可行性和用户体验,从而实现更加高效、可靠的大学生兼职平台。
在国外的相关研究中,涉及大学生兼职网站设计和实现的研究逐渐向智能化和数据驱动的方向发展。相关的研究成果为本课题提供了理论支持和技术指导,尤其是在用户管理、招聘系统以及数据分析等方面。
He R与Han Y[8]的研究探讨了高职院校的人才招聘系统设计与实现,重点关注如何通过系统优化招聘流程,提高招聘效率。尽管该研究的背景与大学生兼职网站有所不同,但其在招聘系统中的数据处理与用户管理方面的设计思路为本课题提供了宝贵的参考。通过借鉴该研究中的流程设计,本课题可以提升兼职岗位招聘管理的效率,并确保系统的高效运作与信息流通。
Xiaoguang T等[9]提出了一种基于机器学习的人力资源招聘系统,利用LSA、BERT和SVM等技术进行职位匹配和招聘管理。这一研究为本课题的招聘系统设计提供了前沿的技术支持,尤其是在如何利用机器学习和自然语言处理技术提高招聘系统智能化水平方面,具有重要意义。通过参考该研究,本课题可以在大学生兼职网站中引入智能匹配机制,实现兼职岗位与学生需求之间的精准匹配,提升系统的智能化程度和用户体验。
Pei C[10]的研究则提出了一种基于数据挖掘的招聘系统,专注于从社交媒体中寻找最佳候选人。尽管该系统的核心是数据挖掘技术,但其在数据分析和候选人筛选方面的思路能够为本课题提供启示。通过应用数据挖掘技术,本课题可以提升兼职岗位筛选和信息推荐的精准性,使系统更符合学生和招聘单位的需求,确保信息的高效传递和兼职机会的合理分配。
这些国外的研究成果为基于Spring Boot的大学生兼职网站的实现提供了多方面的技术参考,尤其是在智能化、数据处理和招聘流程优化方面。通过结合这些先进的研究成果,本课题可以进一步完善系统设计,提升用户体验和系统的智能化水平,使平台更加高效、精准地匹配兼职机会与学生需求。
1.4论文结构与章节安排
本文共分为七章,章节内容安排如下:
第一章:前言,主要介绍大学生兼职网站领域研究的背景和意义,概述研究的现状。
第二章:关键技术,主要探讨和说明实现大学生兼职网站的关键技术。
第三章:系统分析,主要从大学生兼职网站的可行性、功能、性能等方面进行分析,为后续系统设计提供理论支持。
第四章:系统设计,主要对大学生兼职网站功能模块、数据库进行功能设计。
第五章:系统实现,主要介绍了大学生兼职网站各个用户的功能、系统界面的实现。
第六章:系统测试,主要对大学生兼职网站进行测试,验证功能完整性、稳定性和安全性,评估系统在实际运行中的性能表现。
第七章:结束语。总结全文研究内容,提出对大学生兼职网站领域未来发展的展望和建议,指出研究的不足和可优化之处,为相关领域的进一步探索提供参考。
2 关键技术
2.1Java
Java是一种跨平台的编程语言,广泛用于开发各种类型的应用程序,包括Web应用、移动应用和大型软件系统。在大学生兼职网站中,Java通常用于后端开发,提供强大的处理能力和稳定性。同时Java是一种面向对象的编程语言,支持封装、继承和多态等特性,使代码更易于维护和重用。还拥有丰富的标准库和第三方框架,如Spring、Hibernate等,可以大大提高开发效率。
2.2B/S模式
B/S模式(Browser/Server模式)是一种网络应用架构,其中浏览器(Browser)作为客户端与服务器(Server)进行通信 。这种模式使用户可以通过普通的Web浏览器访问应用程序,而无需安装额外的客户端软件。用户通过浏览器发送请求,服务器接收并处理这些请求,然后将结果返回给浏览器显示给用户。在大学生兼职网站中,Spring Boot结合B/S模式的优势包括跨平台的兼容性,用户可以在不同操作系统和设备上访问应用程序 。维护和部署也更为简便,并且能够实现较高的安全性,因为服务器端控制了应用程序和数据的访问权限。
2.3Spring Boot框架
Spring Boot是一个用于构建微服务的Java框架,简化了Spring应用程序的开发和部署过程 。Spring Boot通过自动配置和约定优于配置的理念,简化了Spring应用程序的开发过程,使开发者可以更快地构建和部署应用程序。拥有丰富的生态系统,如Spring Cloud、Spring Security等,可以满足各种企业级应用的需求。在大学生兼职网站中,Spring Boot可以帮助开发团队快速搭建后端服务,并实现各种功能模块的集成和管理。
2.4MySQL
MySQL是一种流行的开源关系型数据库管理系统,用于存储和管理数据。在大学生兼职网站中,MySQL可以用于数据存储、数据查询和数据管理等方面,用户可以免费使用和修改源代码,为平台提供可靠和高性能的数据库支持。MySQL支持多种存储引擎,如InnoDB和MyISAM,可以根据不同的应用场景选择合适的存储引擎,提高性能;提供了多种数据安全机制,如用户权限管理、数据加密和备份恢复等,保证数据的安全性。
3 系统分析
3.1可行性分析
3.1.1技术可行性
从技术角度来看,Spring Boot作为一种轻量级、快速构建的Java框架,能够提高开发效率,降低系统的复杂程度,易于维护和升级。MySQL作为关系型数据库,能够支持平台数据的存储与管理,保障系统的稳定性和高效性。因此,本系统具有技术可行性。
3.1.2经济可行性
从经济角度来看,基于Spring Boot搭建大学生兼职网站的投入成本相对较低,因为Spring Boot本身是一个免费、开源的框架,可以节省开发成本。使用MySQL作为数据库也具有成本效益高的优势。因此,本系统具有经济可行性。
3.1.3操作可行性
从操作角度来看,Spring Boot的简洁性和高度集成的特点使得系统的部署和运行相对简单,容易维护和管理的同时,能够提供一个界面直观友好和操作简单高效的系统,能满足用户的各项要求,方便用户快速上手使用。因此,本系统具有操作可行性。
3.1.4运行可行性
从运行角度来看,正因为本系统是在服务器的基础上开发的,系统开发成功以后,用户无需导航指导便可自己上手进行操作。系统一经开发测试后,在计算机移动客户端能上网的情况下,只需在浏览器里完成所有可用操作,也无需配置复杂的使用和运行环境,只需一个网址便可进入系统。因此,本系统具有运行可行性。
综合来看,大学生兼职网站在经济、技术、操作、运行等方面都具有较高的可行性,能够为用户提供便捷的服务。
3.2功能需求分析
本大学生兼职网站设计分为两个主要用户角色:学生用户和管理员。以下是对每个角色的功能需求的详细描述。
- 学生用户功能模块
首页:展示最新的兼职招聘信息、新闻资讯以及网站公告,便于学生快速了解当前的兼职机会。
网站公告:学生可以查看管理员发布的最新公告,及时了解平台的更新或变动。
兼职资讯:提供最新的兼职市场动态、求职技巧等信息,帮助学生提升求职能力。
兼职招聘:学生可以浏览并申请各种兼职岗位,根据自己的需求进行筛选与申请。
我的账户:学生可以管理个人信息、查看账户设置和修改密码等。
个人中心:包括个人首页、兼职申请管理、兼职记录、收藏和评论管理,学生能够查看自己的兼职申请状态、历史记录,并管理收藏的兼职信息与发布的评论。
- 管理员功能模块
后台首页:展示系统的整体概况,包括统计信息和操作快捷入口。
系统用户:管理员可以查看、编辑和删除网站用户的信息,确保用户数据的有效性。
兼职招聘管理:管理员负责审核和发布兼职招聘信息,管理兼职职位的发布和修改。
兼职申请管理:管理员可以查看学生的兼职申请情况,并进行审核操作,决定是否通过申请。
兼职记录管理:管理员能够查看学生参与兼职的历史记录,进行记录的维护和管理。
系统管理:管理员可以管理网站的轮播图、调整页面内容,确保网站视觉效果和信息的更新。
网站公告管理:管理员可以发布和管理网站公告,通知用户最新的兼职动态或系统更新。
资源管理:管理员可以管理兼职资讯和分类,确保网站资讯的及时更新与分类清晰。资讯进行分类管理,优化信息检索与展示逻辑。
学生用户角色用例如图3-1所示。

图3-1学生用户用例图
管理员角色用例如3-2所示。

图3-2管理人员用例图
3.3系统非功能性需求分析
非功能性分析是系统设计的重要组成部分,其目标是保证系统在各种负载条件下的高效、稳定和可靠。对于大学生兼职网站的设计与实现,系统非功能性需求分析表如表3-1所示。
表3-1 非功能性需求表
| 项目 | 内容 |
| 性能 | 系统应支持至少500个并发用户访问,响应时间不超过2秒 |
| 安全性 | 用户数据需加密,系统应具备防攻击机制(如SQL注入、XSS防护) |
| 可用性 | 系统年可用性应达到99.5%,保证大部分时间能够正常访问 |
| 可维护性 | 代码易于阅读与修改,文档齐全,便于后期维护和功能扩展 |
| 扩展性 | 系统架构应支持后续功能的扩展,易于添加新模块或功能 |
| 兼容性 | 系统应支持主流浏览器(如Chrome、Firefox、Safari) |
| 用户体验 | 界面友好、简洁,操作应当简便,避免用户困惑 |
3.4系统流程分析
3.4.1程序操作流程
用户访问平台网站,可以选择进行注册或登录操作。注册成功后,用户可以使用注册的账号登录平台。登录后的用户可以进入系统功能界面,使用自己权限内的功能操作。程序操作流程图如图3-3所示。

图3-3 程序操作流程图
3.4.2登录流程
用户访问平台的网站,进入登录页面页面,入其用户名和密码,后端服务接收登录请求,验证用户提供的用户名和密码是否匹配数据库中存储的信息,验证通过即可登录成功。登录流程图如图3-4所示。

图3-4 登录流程图
3.4.3注册流程
未有账号的用户可进入注册界面进行注册操作,填写注册表格,包括用户名、密码、电子邮件等必要信息。后台系统验证并保存用户提交的信息。分配唯一用户标识符。注册成功后,用户可以使用账号密码进行登录。用户注册流程图如图3-5所示。

图3-5注册流程图
4 系统设计
4.1系统架构设计
本项目采用B/S架构,遵循MVC设计思想,采用前后端分离的方式进行架构搭建。系统主要由表示层、控制层、业务逻辑层和数据层构成,系统架构如图4-1所示。

图4-1 系统整体架构图
系统使用Spring Boot与Vue框架进行搭建,架构分为视图层、控制层、业务逻辑层、数据持久层和数据库服务器。视图层利用Vue框架和Element UI界面渲染工具构建前端页面,前端页面通过HTTP协议发送请求至控制层。控制层与业务逻辑层通过Spring Boot框架搭建,控制层接收前端请求,进行解析和数据校验,将数据传递至Service层进行业务逻辑处理。业务处理完成后,通过数据持久层访问数据库服务器,执行数据库操作,最终将结果返回至控制层,并传递至前端进行页面处理。
4.2系统功能模块设计
根据系统分析,大学生兼职网站主要分为管理员和学生用户两大模块。整个系统的功能模块设计如图4-2所示。

图4-2 系统功能模块图
4.3数据库设计
数据库设计是一种用于创建数据库结构的过程,通过需求分析确定数据类型和操作需求,并使用实体-关系图表达数据的实体、属性及其关系,形成概念模型。在此基础上,将概念模型转化为特定数据库系统可识别的逻辑模型,确定表结构、字段、数据类型及约束关系。数据库设计通常分为概念设计、逻辑设计两个阶段。
4.3.1概念设计
概念设计作为数据库设计的关键环节,通过高层次的抽象描述系统中的数据结构和关系,明确系统的数据需求。通常采用E-R图来展现数据的实体、属性及关系,形成逻辑完整的模型,更加清晰地表达和传达设计意图。在该阶段,需要确定关键数据实体,定义属性并表达关系类型,为数据库的逻辑设计和物理设计奠定必要基础。以下是系统各个实体图和总体E-R图。
(1)管理员实体属性图如下图4-3所示

图4-3管理员实体属性图
(2) 学生用户实体属性如下图4-4所示

图4-4学生用户实体属性图
(3) 兼职申请实体属性如下图4-5所示

图4-5兼职申请实体属性图
(4) 兼职记录实体属性如下图4-6所示

图4-6兼职记录实体属性图
(5) 资讯实体属性如下图4-7所示

图4-7资讯信息实体属性图
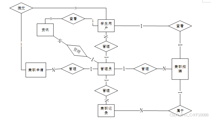
(6)大学生兼职网站总E-R图如下图4-8所示

图4-8大学生兼职网站总E-R图
4.3.2逻辑设计
逻辑设计是数据库设计中的关键环节,主要任务是将概念设计中的抽象模型转化为数据库管理系统可识别的结构,确定表结构、字段名称、数据类型、主键和外键等要素,从而构建数据的逻辑框架。逻辑设计明确了数据的存储方式和关联规则,维持数据一致性与完整性,并提升查询与管理的效率。以下是系统的数据库表设计。
| 编号 | 字段名 | 类型 | 长度 | 是否非空 | 是否主键 | 注释 |
| 1 | token_id | int | 是 | 是 | 临时访问牌ID | |
| 2 | token | varchar | 64 | 否 | 否 | 临时访问牌 |
| 3 | info | text | 65535 | 否 | 否 | 信息 |
| 4 | maxage | int | 是 | 否 | 最大寿命:默认2小时 | |
| 5 | create_time | timestamp | 是 | 否 | 创建时间 | |
| 6 | update_time | timestamp | 是 | 否 | 更新时间 | |
| 7 | user_id | int | 是 | 否 | 用户编号 |
表 4-2-article(文章)
| 编号 | 字段名 | 类型 | 长度 | 是否非空 | 是否主键 | 注释 |
| 1 | article_id | mediumint | 是 | 是 | 文章id | |
| 2 | title | varchar | 125 | 是 | 是 | 标题 |
| 3 | type | varchar | 64 | 是 | 否 | 文章分类 |
| 4 | hits | int | 是 | 否 | 点击数 | |
| 5 | praise_len | int | 是 | 否 | 点赞数 | |
| 6 | create_time | timestamp | 是 | 否 | 创建时间 | |
| 7 | update_time | timestamp | 是 | 否 | 更新时间 | |
| 8 | source | varchar | 255 | 否 | 否 | 来源 |
| 9 | url | varchar | 255 | 否 | 否 | 来源地址 |
| 10 | tag | varchar | 255 | 否 | 否 | 标签 |
| 11 | content | longtext | 4294967295 | 否 | 否 | 正文 |
| 12 | img | varchar | 255 | 否 | 否 | 封面图 |
| 13 | description | text | 65535 | 否 | 否 | 文章描述 |
表 4-3-article_type(文章分类)
| 编号 | 字段名 | 类型 | 长度 | 是否非空 | 是否主键 | 注释 |
| 1 | type_id | smallint | 是 | 是 | 分类ID | |
| 2 | display | smallint | 是 | 否 | 显示顺序 | |
| 3 | name | varchar | 16 | 是 | 否 | 分类名称 |
| 4 | father_id | smallint | 是 | 否 | 上级分类ID | |
| 5 | description | varchar | 255 | 否 | 否 | 描述 |
| 6 | icon | text | 65535 | 否 | 否 | 分类图标 |
| 7 | url | varchar | 255 | 否 | 否 | 外链地址 |
| 8 | create_time | timestamp | 是 | 否 | 创建时间 | |
| 9 | update_time | timestamp | 是 | 否 | 更新时间 |
表 4-4-auth(用户权限管理)
| 编号 | 字段名 | 类型 | 长度 | 是否非空 | 是否主键 | 注释 |
| 1 | auth_id | int | 是 | 是 | 授权ID | |
| 2 | user_group | varchar | 64 | 否 | 否 | 用户组 |
| 3 | mod_name | varchar | 64 | 否 | 否 | 模块名 |
| 4 | table_name | varchar | 64 | 否 | 否 | 表名 |
| 5 | page_title | varchar | 255 | 否 | 否 | 页面标题 |
| 6 | path | varchar | 255 | 否 | 否 | 路由路径 |
| 7 | parent | varchar | 64 | 否 | 否 | 父级菜单 |
| 8 | parent_sort | int | 是 | 否 | 父级菜单排序 | |
| 9 | position | varchar | 32 | 否 | 否 | 位置 |
| 10 | mode | varchar | 32 | 是 | 否 | 跳转方式 |
| 11 | add | tinyint | 是 | 否 | 是否可增加 | |
| 12 | del | tinyint | 是 | 否 | 是否可删除 | |
| 13 | set | tinyint | 是 | 否 | 是否可修改 | |
| 14 | get | tinyint | 是 | 否 | 是否可查看 | |
| 15 | field_add | text | 65535 | 否 | 否 | 添加字段 |
| 16 | field_set | text | 65535 | 否 | 否 | 修改字段 |
| 17 | field_get | text | 65535 | 否 | 否 | 查询字段 |
| 18 | table_nav_name | varchar | 500 | 否 | 否 | 跨表导航名称 |
| 19 | table_nav | varchar | 500 | 否 | 否 | 跨表导航 |
| 20 | option | text | 65535 | 否 | 否 | 配置 |
| 21 | create_time | timestamp | 是 | 否 | 创建时间 | |
| 22 | update_time | timestamp | 是 | 否 | 更新时间 |
表 4-5-code_token(验证码)
| 编号 | 字段名 | 类型 | 长度 | 是否非空 | 是否主键 | 注释 |
| 1 | code_token_id | int | 是 | 是 | 验证码ID | |
| 2 | token | varchar | 255 | 否 | 否 | 令牌 |
| 3 | code | varchar | 255 | 否 | 否 | 验证码 |
| 4 | expire_time | timestamp | 是 | 否 | 失效时间 | |
| 5 | create_time | timestamp | 是 | 否 | 创建时间 | |
| 6 | update_time | timestamp | 是 | 否 | 更新时间 |
表 4-6-collect(收藏)
| 编号 | 字段名 | 类型 | 长度 | 是否非空 | 是否主键 | 注释 |
| 1 | collect_id | int | 是 | 是 | 收藏ID | |
| 2 | user_id | int | 是 | 是 | 收藏人ID | |
| 3 | source_table | varchar | 255 | 否 | 否 | 来源表 |
| 4 | source_field | varchar | 255 | 否 | 否 | 来源字段 |
| 5 | source_id | int | 是 | 否 | 来源ID | |
| 6 | title | varchar | 255 | 否 | 否 | 标题 |
| 7 | img | varchar | 255 | 否 | 否 | 封面 |
| 8 | create_time | timestamp | 是 | 否 | 创建时间 | |
| 9 | update_time | timestamp | 是 | 否 | 更新时间 |
表 4-7-comment(评论)
| 编号 | 字段名 | 类型 | 长度 | 是否非空 | 是否主键 | 注释 |
| 1 | comment_id | int | 是 | 是 | 评论ID | |
| 2 | user_id | int | 是 | 是 | 评论人ID | |
| 3 | reply_to_id | int | 是 | 否 | 回复评论ID | |
| 4 | content | longtext | 4294967295 | 否 | 否 | 内容 |
| 5 | nickname | varchar | 255 | 否 | 否 | 昵称 |
| 6 | avatar | varchar | 255 | 否 | 否 | 头像地址 |
| 7 | create_time | timestamp | 是 | 否 | 创建时间 | |
| 8 | update_time | timestamp | 是 | 否 | 更新时间 | |
| 9 | source_table | varchar | 255 | 否 | 否 | 来源表 |
| 10 | source_field | varchar | 255 | 否 | 否 | 来源字段 |
| 11 | source_id | int | 是 | 否 | 来源ID |
表 4-8-hits(用户点击)
| 编号 | 字段名 | 类型 | 长度 | 是否非空 | 是否主键 | 注释 |
| 1 | hits_id | int | 是 | 是 | 点赞ID | |
| 2 | user_id | int | 是 | 否 | 点赞人 | |
| 3 | create_time | timestamp | 是 | 否 | 创建时间 | |
| 4 | update_time | timestamp | 是 | 否 | 更新时间 | |
| 5 | source_table | varchar | 255 | 否 | 否 | 来源表 |
| 6 | source_field | varchar | 255 | 否 | 否 | 来源字段 |
| 7 | source_id | int | 是 | 否 | 来源ID |
表 4-9-notice(公告)
| 编号 | 字段名 | 类型 | 长度 | 是否非空 | 是否主键 | 注释 |
| 1 | notice_id | mediumint | 是 | 是 | 公告ID | |
| 2 | title | varchar | 125 | 是 | 否 | 标题 |
| 3 | content | longtext | 4294967295 | 否 | 否 | 正文 |
| 4 | create_time | timestamp | 是 | 否 | 创建时间 | |
| 5 | update_time | timestamp | 是 | 否 | 更新时间 |
表 4-10-part_time_application(兼职申请)
| 编号 | 字段名 | 类型 | 长度 | 是否非空 | 是否主键 | 注释 |
| 1 | part_time_application_id | int | 是 | 是 | 兼职申请ID | |
| 2 | part_time_job_name | varchar | 64 | 否 | 否 | 兼职名称 |
| 3 | part_time_type | varchar | 64 | 否 | 否 | 兼职类型 |
| 4 | daily_part_time_salary | double | 否 | 否 | 兼职日薪 | |
| 5 | part_time_period | varchar | 64 | 否 | 否 | 兼职时段 |
| 6 | part_time_location | varchar | 64 | 否 | 否 | 兼职地点 |
| 7 | part_time_student | int | 否 | 否 | 兼职学生 | |
| 8 | student_name | varchar | 64 | 否 | 否 | 学生姓名 |
| 9 | examine_state | varchar | 16 | 是 | 否 | 审核状态 |
| 10 | part_time_record_limit_times | int | 是 | 否 | 聘用限制次数 | |
| 11 | create_time | datetime | 是 | 否 | 创建时间 | |
| 12 | update_time | timestamp | 是 | 否 | 更新时间 | |
| 13 | source_table | varchar | 255 | 否 | 否 | 来源表 |
| 14 | source_id | int | 否 | 否 | 来源ID | |
| 15 | source_user_id | int | 否 | 否 | 来源用户 |
表 4-11-part_time_record(兼职记录)
| 编号 | 字段名 | 类型 | 长度 | 是否非空 | 是否主键 | 注释 |
| 1 | part_time_record_id | int | 是 | 是 | 兼职记录ID | |
| 2 | part_time_job_name | varchar | 64 | 否 | 否 | 兼职名称 |
| 3 | part_time_type | varchar | 64 | 否 | 否 | 兼职类型 |
| 4 | daily_part_time_salary | double | 否 | 否 | 兼职日薪 | |
| 5 | part_time_period | varchar | 64 | 否 | 否 | 兼职时段 |
| 6 | part_time_location | varchar | 64 | 否 | 否 | 兼职地点 |
| 7 | part_time_student | int | 否 | 否 | 兼职学生 | |
| 8 | student_name | varchar | 64 | 否 | 否 | 学生姓名 |
| 9 | create_time | datetime | 是 | 否 | 创建时间 | |
| 10 | update_time | timestamp | 是 | 否 | 更新时间 | |
| 11 | source_table | varchar | 255 | 否 | 否 | 来源表 |
| 12 | source_id | int | 否 | 否 | 来源ID | |
| 13 | source_user_id | int | 否 | 否 | 来源用户 |
表 4-12-part_time_recruitment(兼职招聘)
| 编号 | 字段名 | 类型 | 长度 | 是否非空 | 是否主键 | 注释 |
| 1 | part_time_recruitment_id | int | 是 | 是 | 兼职招聘ID | |
| 2 | part_time_job_name | varchar | 64 | 否 | 否 | 兼职名称 |
| 3 | picture_of_recruitment | varchar | 255 | 否 | 否 | 招聘图片 |
| 4 | part_time_type | varchar | 64 | 否 | 否 | 兼职类型 |
| 5 | daily_part_time_salary | double | 否 | 否 | 兼职日薪 | |
| 6 | part_time_period | varchar | 64 | 否 | 否 | 兼职时段 |
| 7 | part_time_location | varchar | 64 | 否 | 否 | 兼职地点 |
| 8 | part_time_details | longtext | 4294967295 | 否 | 否 | 兼职详情 |
| 9 | praise_len | int | 是 | 否 | 点赞数 | |
| 10 | collect_len | int | 是 | 否 | 收藏数 | |
| 11 | comment_len | int | 是 | 否 | 评论数 | |
| 12 | part_time_application_limit_times | int | 是 | 否 | 申请兼职限制次数 | |
| 13 | create_time | datetime | 是 | 否 | 创建时间 | |
| 14 | update_time | timestamp | 是 | 否 | 更新时间 |
表 4-13-praise(点赞)
| 编号 | 字段名 | 类型 | 长度 | 是否非空 | 是否主键 | 注释 |
| 1 | praise_id | int | 是 | 是 | 点赞ID | |
| 2 | user_id | int | 是 | 是 | 点赞人 | |
| 3 | create_time | timestamp | 是 | 否 | 创建时间 | |
| 4 | update_time | timestamp | 是 | 否 | 更新时间 | |
| 5 | source_table | varchar | 255 | 否 | 否 | 来源表 |
| 6 | source_field | varchar | 255 | 否 | 否 | 来源字段 |
| 7 | source_id | int | 是 | 否 | 来源ID | |
| 8 | status | tinyint | 是 | 否 | 点赞状态:1为点赞,0已取消 |
表 4-14-slides(轮播图)
| 编号 | 字段名 | 类型 | 长度 | 是否非空 | 是否主键 | 注释 |
| 1 | slides_id | int | 是 | 是 | 轮播图ID | |
| 2 | title | varchar | 64 | 否 | 否 | 标题 |
| 3 | content | varchar | 255 | 否 | 否 | 内容 |
| 4 | url | varchar | 255 | 否 | 否 | 链接 |
| 5 | img | varchar | 255 | 否 | 否 | 轮播图 |
| 6 | hits | int | 是 | 否 | 点击量 | |
| 7 | create_time | timestamp | 是 | 否 | 创建时间 | |
| 8 | update_time | timestamp | 是 | 否 | 更新时间 |
表 4-15-student_users(学生用户)
| 编号 | 字段名 | 类型 | 长度 | 是否非空 | 是否主键 | 注释 |
| 1 | student_users_id | int | 是 | 是 | 学生用户ID | |
| 2 | student_name | varchar | 64 | 否 | 否 | 学生姓名 |
| 3 | student_gender | varchar | 64 | 否 | 否 | 学生性别 |
| 4 | student_mobile_phone | varchar | 16 | 是 | 是 | 学生手机 |
| 5 | examine_state | varchar | 16 | 是 | 否 | 审核状态 |
| 6 | user_id | int | 是 | 否 | 用户ID | |
| 7 | create_time | datetime | 是 | 否 | 创建时间 | |
| 8 | update_time | timestamp | 是 | 否 | 更新时间 |
表 4-16-upload(文件上传)
| 编号 | 字段名 | 类型 | 长度 | 是否非空 | 是否主键 | 注释 |
| 1 | upload_id | int | 是 | 是 | 上传ID | |
| 2 | name | varchar | 64 | 否 | 否 | 文件名 |
| 3 | path | varchar | 255 | 否 | 否 | 访问路径 |
| 4 | file | varchar | 255 | 否 | 否 | 文件路径 |
| 5 | display | varchar | 255 | 否 | 否 | 显示顺序 |
| 6 | father_id | int | 否 | 否 | 父级ID | |
| 7 | dir | varchar | 255 | 否 | 否 | 文件夹 |
| 8 | type | varchar | 32 | 否 | 否 | 文件类型 |
表 4-17-user(用户账户)
| 编号 | 字段名 | 类型 | 长度 | 是否非空 | 是否主键 | 注释 |
| 1 | user_id | int | 是 | 是 | 用户ID | |
| 2 | state | smallint | 是 | 否 | 账户状态:(1可用|2异常|3已冻结|4已注销) | |
| 3 | user_group | varchar | 32 | 否 | 否 | 所在用户组 |
| 4 | login_time | timestamp | 是 | 否 | 上次登录时间 | |
| 5 | phone | varchar | 11 | 否 | 否 | 手机号码 |
| 6 | phone_state | smallint | 是 | 否 | 手机认证:(0未认证|1审核中|2已认证) | |
| 7 | username | varchar | 16 | 是 | 否 | 用户名 |
| 8 | nickname | varchar | 16 | 否 | 否 | 昵称 |
| 9 | password | varchar | 64 | 是 | 否 | 密码 |
| 10 | | varchar | 64 | 否 | 否 | 邮箱 |
| 11 | email_state | smallint | 是 | 否 | 邮箱认证:(0未认证|1审核中|2已认证) | |
| 12 | avatar | varchar | 255 | 否 | 否 | 头像地址 |
| 13 | open_id | varchar | 255 | 否 | 否 | 针对获取用户信息字段 |
| 14 | create_time | timestamp | 是 | 否 | 创建时间 |
表 4-18-user_group(用户组)
| 编号 | 字段名 | 类型 | 长度 | 是否非空 | 是否主键 | 注释 |
| 1 | group_id | mediumint | 是 | 是 | 用户组ID | |
| 2 | display | smallint | 是 | 否 | 显示顺序 | |
| 3 | name | varchar | 16 | 是 | 否 | 名称 |
| 4 | description | varchar | 255 | 否 | 否 | 描述 |
| 5 | source_table | varchar | 255 | 否 | 否 | 来源表 |
| 6 | source_field | varchar | 255 | 否 | 否 | 来源字段 |
| 7 | source_id | int | 是 | 否 | 来源ID | |
| 8 | register | smallint | 否 | 否 | 注册位置 | |
| 9 | create_time | timestamp | 是 | 否 | 创建时间 | |
| 10 | update_time | timestamp | 是 | 否 | 更新时间 |
5 系统实现
5.1学生用户功能模块实现
用户注册:输入账号、设置密码、确认密码、昵称、邮箱、选择用户身份、用户姓名、用户性别、联系电话等用户个人信息,点击注册按钮进行注册,用户注册界面如下图所示。

图5-1用户注册界面图
用户登录:输入用户名跟密码点击登录按钮,校验通过后即可登录,用户登录界面如下图所示。

图5-2用户登录界面图
用户登录后,点击“兼职资讯”进入模块。在兼职资讯首页,可以查看所有发布的兼职资讯,点击任意资讯标题以查看详细内容。页面下方有“评论”和“点赞”按钮,点击评论按钮后可以进行评论。用户填写标题和内容,选择相关标签,点击“提交”按钮发布评论。兼职资讯功能效果图如下图所示。

图5-3兼职资讯功能效果图
5.1.4网站公告
用户在主页点击“网站公告”进入网站公告界面。每条通知以标题和发布日期显示,用户可以点击标题查看详细内容。用户可以通过搜索框输入关键词,快速找到相关公告。网站公告功能效果图如下图所示。

图5-4网站公告功能效果图
进入“兼职招聘”后,用户会看到所有兼职招聘列表。显示兼职招聘照片、基本信息。用户点击具体兼职招聘照片后,将进入详细信息页面,用户可以查看更多详细描述。若希望申请兼职,用户需点击“申请兼职”按钮,填写信息并提交。兼职招聘功能效果图如下图所示。

图5-5 兼职招聘功能效果图
5.2 管理员功能模块实现
在“系统用户”模块下,管理员可以管理系统上的两类用户:管理员和学生用户。管理员可以进行用户的增、删、改、查操作,包括设置权限、修改用户信息等。系统用户管理界面如下图所示。

图5-6系统用户管理界面
管理员登录后,进入“兼职招聘管理”模块。在列表中,可以查看所有兼职招聘信息和用户评论,点击任意条目进入编辑页面。管理员可添加兼职招聘、修改兼职招聘或删除不再适用的条目。更改完成后,需点击“保存”按钮,确认修改。兼职招聘功能效果图如下图所示。

图5-7 兼职招聘管理功能效果图
管理员登录后,进入“兼职申请管理”模块。在列表中,可以查看所有兼职申请信息,点击任意条目进入编辑页面。管理员可查询兼职申请和删除不再适用的条目。更改完成后,需点击“保存”按钮,确认删除。兼职申请管理功能效果图如下图所示。

图5-8兼职申请管理功能效果图
进入“兼职记录管理”后,管理员可以查看所有兼职记录信息。每条记录包括兼职名称、兼职类型、兼职日薪、兼职时段、兼职地点、兼职学生、学生姓名等。管理员可点击查看详情,必要时可进行查询、重置和删除的操作。兼职记录管理如下图所示。

图5-9兼职记录管理功能效果图
管理员可以管理网站的轮播图,更新展示的内容以吸引用户关注。系统管理功能效果图如下图所示。

图5-10系统管理功能效果图
5.2.6网站公告管理
管理员在“网站公告管理”模块可发布新公告。点击“添加”按钮,填写标题和内容后点击“发布”。管理员还可以查看和编辑已有公告,必要时删除不再适用的公告。网站公告管理功能效果图如下图所示。

图5-11网站公告管理功能效果图
5.2.7资源管理
在“资源管理”中,管理员可查看系统内所有兼职资讯。管理员也可以对兼职资讯和资讯分类进行管理进行管理。资源管理功能效果图如下图所示。

图5-12 资源管理功能效果图
6 系统测试
6.1测试目的
软件测试的目的在于识别系统缺陷,验证软件对需求的符合程度,使其功能、性能和安全性达到设计标准。在开发过程中,测试能够及时发现潜在问题,降低发布后出现故障的风险。测试不仅关注系统的正常运行,还模拟各种异常情况,评估在不同环境和边界条件下的表现,从而提升软件的可靠性和稳定性,为用户提供更高质量的产品体验,增强信任感。测试过程中的数据和经验积累能完善测试策略,改进开发流程,成为后续项目的参考。软件测试贯穿开发生命周期,是实现产品质量和发布标准的重要环节。
6.2测试方法
测试方法是一系列用于评估和验证产品、软件或系统性能的技术和程序。这些方法根据测试目标的不同,可以划分为黑盒测试、白盒测试和灰盒测试等多种类型。黑盒测试关注输入和输出,不涉及内部逻辑结构。白盒测试深入代码和系统内部结构,检查程序流程和逻辑错误。灰盒测试介于两者之间,对内部结构有部分了解。其他方法还包括自动化测试、手动测试、性能测试和安全测试,各自具有特定的应用场景和优势。性能测试检验系统的响应时间和稳定性,安全测试识别潜在的安全漏洞。选择适当的测试方法能够有效发现问题,提高产品的质量和可靠性。
6.3测试内容
系统采用黑盒测试对系统功能进行测试,以下是测试的详细用例表。
表6-1 评论功能测试用例表
| 测试目的 | 验证评论功能 |
| 测试条件 | 用户已登录 |
| 测试步骤 | 1. 登录系统。 2. 进入兼职资讯模块。 3. 发布评论。 4 删除自己的评论。 |
| 预期效果 | 能成功发布和删除评论 |
| 实际效果 | 与预期结果一致 |
| 结论 | 测试通过 |
表6-2 兼职招聘功能测试用例表
| 测试目的 | 验证兼职招聘功能 |
| 测试条件 | 用户已登录 |
| 测试步骤 | 1. 登录系统。 2. 进入兼职招聘模块。 3. 浏览兼职招聘列表。 4. 点击查看详细信息。 |
| 预期效果 | 能正常查看兼职招聘 |
| 实际效果 | 与预期结果一致 |
| 结论 | 测试通过 |
表6-3 兼职申请功能测试用例表
| 测试目的 | 验证兼职申请功能 |
| 测试条件 | 用户已登录 |
| 测试步骤 | 1. 登录系统。 2. 进入兼职申请模块。 3. 浏览兼职申请。 4. 点击查看详细信息。 |
| 预期效果 | 能正常查看兼职申请 |
| 实际效果 | 与预期结果一致 |
| 结论 | 测试通过 |
表6-4兼职记录功能测试用例表
| 测试目的 | 验证兼职记录功能 |
| 测试条件 | 用户已登录 |
| 测试步骤 | 1. 登录系统。 2. 进入兼职记录模块。 3. 浏览兼职记录。 4. 点击查看具体内容。 |
| 预期效果 | 能正常查看兼职记录 |
| 实际效果 | 与预期结果一致 |
| 结论 | 测试通过 |
6.4测试结论
所有测试功能均符合预期结果,未发现明显问题,显示出系统在当前测试条件下的稳定性和可靠性。这些结果表明,系统能够有效支持用户和管理员顺畅完成各自的核心活动,未出现操作障碍或功能缺陷。
7 总结与展望
7.1总结
在本次毕业设计项目中,成功开发了一个大学生兼职网站,目标在于解决传统信息不对称与管理效率低下的问题。通过采用Spring Boot框架、MySQL数据库和前端Vue.js技术,该系统实现了大学生兼职网站的数字化处理,强化了用户权限管理与数据安全保护措施。这一系列功能的实现显著提升了管理效率,为大学生兼职网站迈出了重要一步。
在研究过程中也面临了一些问题和挑战。当前的技术选型在满足基本需求的同时,对于不断变化的业务环境和用户期望显得较为僵化。用户体验方面,系统的界面设计与交互逻辑尚需优化,以符合现代用户对高效、直观操作的要求。随着网络安全威胁的上升,保护用户数据的安全性与隐私问题亦需持续重视。
7.2展望
未来的研究将集中于以下几个方向:探索更灵活、高效的技术架构的应用提升系统的可扩展性与维护性。将引入前沿的设计理念,进一步改善用户界面并增强用户体验。在数据安全方面,研究更为先进的加密技术与安全策略,保障系统能够应对复杂的网络安全挑战。随着人工智能与大数据技术的发展,未来的研究还将探索如何利用这些技术提供智能化分析与决策支持,进一步提升管理效率与服务质量。
致 谢
时光荏苒,四年的求学生涯在不经意间画上了圆满的句号。在这段充满挑战与成长的旅程中,许多人给予了我无私的支持与鼓励。在此,我怀着无比感激的心情,向所有帮助和关心过我的人致以诚挚的感谢。
首先,我要特别感谢我的指导老师。您不仅是知识的传播者,更是我人生道路上的引路人。您严谨治学、孜孜不倦的精神深深感染了我,让我明白了追求真理的重要性。无论是细致的反馈,还是启发性的建议,您都让我感受到一种无形的力量,激励着我不断超越自我。感谢您在我最迷茫的时刻,为我指明方向,给予我勇气,让我在道路上走得更加坚定。
我要感谢我的父母。感谢你们无私的爱与支持,是你们的辛勤付出让我得以追逐梦想,成就自我。无论是在我遇到挫折时的鼓励,还是在我获得成绩时的欢笑,你们总是我最坚实的后盾。在你们的呵护下,我得以在知识的海洋中遨游,体会到求知的乐趣与美好。你们教会我如何面对生活中的风雨,教会我如何在困境中寻找希望。每当我回首过往,心中涌起的都是对你们的感激与爱戴。没有你们的支持,我无法走到今天这一步。愿在未来的日子里,能用自己的努力回报你们的厚爱。
我也要感谢我的同学们。在这四年的岁月里,我们共同经历了无数的挑战与欢笑。无论是一起熬夜复习的辛酸,还是考试后的欢庆,你们的陪伴让我不再孤单。在学习上,我们相互借鉴、共同进步。在生活中,我们彼此扶持、携手前行。与你们的友谊让我感受到青春的热情与力量。每一次的团结合作,都让我意识到团队的力量是无穷的。感谢你们在我人生旅途中的陪伴,你们的存在让我的大学生活更加丰富多彩。
最后,感谢这个校园。这里承载了我的青春与梦想,见证了我的成长与蜕变。每一处熟悉的角落,都蕴藏着我无数的回忆。无论是静谧的图书馆,还是热闹的操场,都成为我心中不可磨灭的印记。这里的每一位老师、每一位同学、每一段经历,都将成为我人生旅途中最珍贵的财富。
在即将踏入新的人生阶段之际,我衷心地感谢所有给予我帮助与关心的人。是你们的陪伴让我在这条路上走得更加坚定与自信。未来的路途或许会有荆棘与挑战,但我将带着你们给予我的勇气与力量,勇敢前行。愿在不久的将来,能够以自己的成就来回馈你们的厚爱。
再次感谢每一位在我生命中出现的人,愿我们都能在各自的人生舞台上,绽放出属于自己的光彩。
参考文献
- 庄海涛,田柏玉.基于Go语言的学生在线兼职平台设计[J].无线互联科技,2021,18(18):60-62.
- [16]张文洁,蔡逸菲,傅明慧,等.基于互联网的高校兼职平台的功能设计[J].科技与创新,2021,(13):114-115.DOI:10.15913/j.cnki.kjycx.2021.13.049.
- 马英瑞,刘美君,李宏博.Web平台上校园兼职系统的设计与实现[J].福建电脑,2019,35(10):68-69.DOI:10.16707/j.cnki.fjpc.2019.10.022.
- 何肖娜.基于Android和Web的大学生兼职系统设计与实现[J].电脑知识与技术,2019,15(22):78-81.DOI:10.14004/j.cnki.ckt.2019.2699.
- 张冬,田艳.校园兼职信息管理系统分析与设计[J].软件工程,2019,22(07):37-39.DOI:10.19644/j.cnki.issn2096-1472.2019.07.012.
- 杨玲,李连天.基于web的大学生兼职系统研究与实现[J].科技风,2019,(02):76.DOI:10.19392/j.cnki.1671-7341.201902065.
- 杜洋,赵涛.企业招聘系统的设计与实现[J].福建电脑,2025,41(04):85-89.DOI:10.16707/j.cnki.fjpc.2025.04.016.
- He R ,Han Y .Design and Implementation of Personnel Recruitment System in Higher Vocational School[J].Advances in Vocational and Technical Education,2023,5(1):
- Xiaoguang T ,Robert P ,Henry H , et al.A machine learning-based human resources recruitment system for business process management: using LSA, BERT and SVM[J].Business Process Management Journal,2023,29(1):202-222.
- Pei C .A Recruitment System Based on Data Mining: Finding the Best Candidate from Social Media[J].Journal of Information & Knowledge Management,2025,(prepublish):
- 杨晟.基于SSM的求职招聘系统设计[J].科技创新与应用,2024,14(21):111-114.DOI:10.19981/j.CN23-1581/G3.2024.21.026.
- 张翔洲.基于自然语言处理的在线招聘管理系统[J].长江信息通信,2024,37(04):130-132.DOI:10.20153/j.issn.2096-9759.2024.04.039.
- 林泽,刘聪.智能化现场招聘会管理系统的设计开发[J].电脑知识与技术,2024,20(03):50-52.DOI:10.14004/j.cnki.ckt.2024.0026.
- 吴昊,张丹.基于SpringBoot框架的大学生网上兼职系统设计与实现[J].电脑知识与技术,2023,19(35):68-72.DOI:10.14004/j.cnki.ckt.2023.1860.
- 滕仕杰.H外资银行校园招聘管理优化研究[D].华东师范大学,2023.DOI:10.27149/d.cnki.ghdsu.2023.004909.
- 何毅平,黄媛,湛茂溪,等.基于网络爬虫的招聘信息可视化系统设计与实现[J].长江工程职业技术学院学报,2023,40(03):24-28.DOI:10.14079/j.cnki.cn42-1745/tv.2023.03.006.
- 张雅茹,孙鑫,张翼鹤,等.广电数字化招聘系统的设计与实现[J].中国有线电视,2023,(09):5-10.
- 王秉姝.公立医院人才招聘系统的优化与实践[J].就业与保障,2023,(07):43-45.
- 张千雅,张婧仪,鲍泽芸,等.基于区块链应用技术的大学生兼职平台构建的优化研究[J].网络安全技术与应用,2022,(04):62-64.
- 周渠岸.校园兼职平台的设计与实现[J].电子技术,2021,50(10):70-71.
附录:
注册代码如下:
/**
* 注册
* @param user
* @return
*/
@PostMapping("register")
public Map<String, Object> signUp(@RequestBody User user) {
// 查询用户
Map<String, String> query = new HashMap<>();
Map<String,Object> map = JSON.parseObject(JSON.toJSONString(user));
query.put("username",user.getUsername());
List list = service.selectBaseList(service.select(query, new HashMap<>()));
if (list.size()>0){
return error(30000, "用户已存在");
}
map.put("password",service.encryption(String.valueOf(map.get("password"))));
service.insert(map);
return success(1);
}
登录代码如下:
/**
* 登录
* @param data
* @param httpServletRequest
* @return
*/
@PostMapping("login")
public Map<String, Object> login(@RequestBody Map<String, String> data, HttpServletRequest httpServletRequest) {
log.info("[执行登录接口]");
String username = data.get("username");
String email = data.get("email");
String phone = data.get("phone");
String password = data.get("password");
List resultList = null;
Map<String, String> map = new HashMap<>();
if(username != null && "".equals(username) == false){
map.put("username", username);
resultList = service.selectBaseList(service.select(map, new HashMap<>()));
}
else if(email != null && "".equals(email) == false){
map.put("email", email);
resultList = service.selectBaseList(service.select(map, new HashMap<>()));
}
else if(phone != null && "".equals(phone) == false){
map.put("phone", phone);
resultList = service.selectBaseList(service.select(map, new HashMap<>()));
}else{
return error(30000, "账号或密码不能为空");
}
if (resultList == null || password == null) {
return error(30000, "账号或密码不能为空");
}
//判断是否有这个用户
if (resultList.size()<=0){
return error(30000,"用户不存在");
}
User byUsername = (User) resultList.get(0);
Map<String, String> groupMap = new HashMap<>();
groupMap.put("name",byUsername.getUserGroup());
List groupList = userGroupService.selectBaseList(userGroupService.select(groupMap, new HashMap<>()));
if (groupList.size()<1){
return error(30000,"用户组不存在");
}
UserGroup userGroup = (UserGroup) groupList.get(0);
//查询用户审核状态
if (!StringUtils.isEmpty(userGroup.getSourceTable())){
String res = service.selectExamineState(userGroup.getSourceTable(),byUsername.getUserId());
if (res==null){
return error(30000,"用户不存在");
}
if (!res.equals("已通过")){
return error(30000,"该用户审核未通过");
}
}
//查询用户状态
if (byUsername.getState()!=1){
return error(30000,"用户非可用状态,不能登录");
}
String md5password = service.encryption(password);
if (byUsername.getPassword().equals(md5password)) {
// 存储Token到数据库
AccessToken accessToken = new AccessToken();
accessToken.setToken(UUID.randomUUID().toString().replaceAll("-", ""));
accessToken.setUser_id(byUsername.getUserId());
Duration duration = Duration.ofSeconds(7200L);
redisTemplate.opsForValue().set(accessToken.getToken(), accessToken,duration);
// 返回用户信息
JSONObject user = JSONObject.parseObject(JSONObject.toJSONString(byUsername));
user.put("token", accessToken.getToken());
JSONObject ret = new JSONObject();
ret.put("obj",user);
return success(ret);
} else {
return error(30000, "账号或密码不正确");
}
}
兼职招聘代码如下:
@PostMapping("/upload")
public Map<String, Object> upload(@RequestParam("file") MultipartFile file) {
log.info("进入方法");
if (file.isEmpty()) {
return error(30000, "没有选择文件");
}
try {
//判断有没路径,没有则创建
String filePath = System.getProperty("user.dir") + "/src/main/resources/static/";
File targetDir = new File(filePath);
if (!targetDir.exists() && !targetDir.isDirectory()) {
if (targetDir.mkdirs()) {
log.info("创建目录成功");
} else {
log.error("创建目录失败");
}
}
String fileName = file.getOriginalFilename();
File dest = new File(filePath + fileName);
log.info("文件路径:{}", dest.getPath());
log.info("文件名:{}", dest.getName());
file.transferTo(dest);
JSONObject jsonObject = new JSONObject();
jsonObject.put("url", "/api/upload/" + fileName);
return success(jsonObject);
} catch (IOException e) {
log.info("上传失败:{}", e.getMessage());
}
return error(30000, "上传失败");
}
兼职申请代码如下:
@RequestMapping(value = {"/sum_group", "/sum"})
public Map<String, Object> sum(HttpServletRequest request) {
Integer value = service.selectSqlToInteger(service.sum(service.readQuery(request), service.readConfig(request)));
return success(value);
}
免费领取项目源码,请关注❥点赞收藏并私信博主,谢谢~
Spring Boot大学生兼职网站设计
1225

被折叠的 条评论
为什么被折叠?



