摘 要
随着社会经济的快速发展,汽车逐渐成为人们日常出行的重要交通工具,驾校的业务规模也随之不断扩大。传统的驾校信息管理方式存在效率低下、信息不及时、易出错等问题,已难以满足现代驾校管理的需求。因此,开发一套高效、便捷的驾校信息管理系统具有重要的现实意义。
本论文基于 Spring Boot 框架设计并实现了一个驾校信息管理系统。系统采用 B/S 架构,结合 MySQL 数据库存储数据,使用 Java 语言进行开发。系统主要包括学员用户、教练用户和管理员用户三种角色,为不同角色提供了丰富的功能。学员用户可以查看系统公告、新闻资讯、教练信息,进行报名、查看课程和考试安排等操作;教练用户能够管理驾照信息、车辆信息、报名记录、课程安排和考试安排等;管理员则拥有系统用户管理、权限管理、系统公告管理等高级管理功能。
通过实际测试,该系统具有良好的稳定性、易用性和安全性,能够有效提高驾校的管理效率,降低运营成本,提升学员的学习体验。本系统的实现为驾校信息化管理提供了一种可行的解决方案,具有一定的推广和应用价值。
关键词:SpringBoot;驾校信息管理系统;Java;MySQL;B/S模式
Abstract
With the rapid development of the social economy, cars have gradually become an important means of transportation for people's daily travel, and the business scale of driving schools has also continued to expand. The traditional way of managing driving school information has problems such as low efficiency, untimely information, and easy errors, which can no longer meet the needs of modern driving school management. Therefore, developing an efficient and convenient driving school information management system has important practical significance.
This paper designs and implements a driving school information management system based on the Spring Boot framework. The system adopts B/S architecture, combined with MySQL database to store data, and is developed using Java language. The system mainly includes three roles: student user, coach user, and administrator user, providing rich functions for different roles. Student users can view system announcements, news and coaching information, register, view course and exam arrangements, and perform other operations; Coach users can manage driver's license information, vehicle information, registration records, course schedules, and exam arrangements, etc; Administrators have advanced management functions such as system user management, permission management, and system announcement management.
Through actual testing, the system has good stability, usability, and safety, which can effectively improve the management efficiency of driving schools, reduce operating costs, and enhance the learning experience of students. The implementation of this system provides a feasible solution for the information management of driving schools, and has certain promotion and application value.
keyword: SpringBoot;Driving school information management system; Java; MySQL;B/S mode
目录
第一章 绪 论
1.1选题背景和意义
随着社会经济的快速发展,汽车逐渐成为人们日常出行的重要交通工具,报考驾校的人数与日俱增,驾校业务规模不断扩大。然而,传统的驾校管理方式主要依赖人工操作,如手工记录学员信息、课程安排和考试安排等,不仅效率低下,还容易出现错误和遗漏,难以满足日益增长的业务需求。
在传统管理模式下,信息传递不及时、不准确,导致学员和教练之间沟通不畅,影响教学质量和学员体验。同时,驾校管理人员需要花费大量的时间和精力进行数据处理和统计分析,无法将更多的精力投入到驾校的发展和服务提升上。
为了解决这些问题,驾校迫切需要引入信息化管理系统,实现业务流程的自动化和信息化。Spring Boot技术具有简化配置、快速开发等优势,能够帮助开发人员高效地构建稳定、可靠的驾校信息管理系统,提高驾校的管理效率和服务质量,满足驾校业务发展的需求。
开发基于Spring Boot的驾校信息管理系统具有显著的意义。在驾校管理效率方面,系统实现了业务流程的自动化,如学员信息管理、课程安排和考试安排等,减少了人工操作和数据处理的时间,提高了工作效率。同时,系统提供了实时的数据统计和分析功能,帮助管理人员及时了解驾校的运营状况,做出科学的决策。
在学员体验方面,学员可以通过系统方便地查询课程安排、考试信息和个人学习进度,与教练进行沟通和交流,提高了学习的便利性和自主性。此外,系统还提供了在线报名、缴费等功能,简化了报名流程,提高了学员的满意度。
在教学质量方面,系统可以对教练的教学情况进行实时监控和评估,帮助教练及时调整教学方法和进度,提高教学质量。同时,系统还可以为学员提供个性化的学习建议和辅导,促进学员的学习效果。
1.2国内外研究现状
1.2.1国内研究现状
国内对于驾校信息管理系统的研究与开发已取得一定进展。孙帅在基于Java Web的驾校考试管理系统的设计与实现研究中,提出了利用Java Web技术构建系统,实现了考试管理的信息化,提高了考试安排和成绩管理的效率[1]。宋希录、李和滨、尹华等人对驾校信息管理系统进行了深入研究与设计,强调了系统在学员信息、课程安排等方面的管理功能,为驾校的日常运营提供了有效的支持[2]。张玉杰、吴杰宏、郭霄峰等聚焦于驾校培训管理信息系统的设计与实现,注重系统对培训流程的优化和管理[3]。孙根基于SSM框架开展了驾校管理平台的研究与实现,提升了系统的稳定性和可扩展性[4]。
然而,当前国内驾校信息管理系统仍存在一些问题和不足。部分系统功能不够完善,无法满足驾校多样化的业务需求,如在学员个性化服务、教练绩效考核等方面存在欠缺。一些系统的用户体验不佳,操作界面复杂,导致学员和管理人员使用困难。此外,系统的安全性和数据保密性也有待提高,存在学员信息泄露的风险。
从发展趋势来看,随着信息技术的不断发展,驾校信息管理系统将朝着智能化、个性化和集成化的方向发展。未来的系统将能够利用大数据和人工智能技术,为学员提供更加精准的学习建议和服务,同时实现与其他相关系统的集成,如交通管理部门的考试系统等,进一步提高驾校的管理效率和服务质量。
1.2.2国外研究现状
相较于国内,国外在驾校信息管理系统的研究上起步更早,技术更为成熟。SpringBoot框架在国外驾校管理系统的开发中也占据了重要地位。国外学者和开发者们不仅注重系统的功能实现,还更加注重系统的用户体验和交互设计。Curacubby提出引入先进的用户界面设计理念和交互技术,使得系统更加易于使用、操作便捷[5]。此外,Changhyeon P和SeokCheol K还关注系统的可扩展性和可维护性,通过采用微服务架构、容器化部署等技术手段,使得系统能够轻松应对业务需求的变化和技术升级的挑战[6]。在智能化方面,国外一些先进的驾校信息管理系统已经实现了自动驾驶培训、虚拟现实教学等前沿技术的应用,为驾校行业带来了新的发展机遇。
这些先进经验和技术应用对国内驾校信息管理系统的发展具有重要的借鉴意义。国内可以学习国外系统的智能化管理模式,提升系统的功能和服务水平;借鉴其用户体验设计理念,优化系统的操作界面;加强在大数据、人工智能等技术方面的应用,提高系统的数据分析和处理能力;同时,重视系统的安全性和数据保护,保障学员的信息安全。
1.3系统的特点
本文所设计的 springboot驾校信息管理系统具有以下特点:
高效性:系统基于 SpringBoot 框架开发,具备快速响应与高效处理能力,可充分满足驾校日常运营中对高效管理的需求,无论是学员信息管理、课程安排还是考试安排,都能迅速完成数据处理与反馈。
便捷性:系统为学员和驾校工作人员提供一站式便捷服务。学员可在线完成报名、缴费、查看课程安排、查询考试信息等操作;工作人员能便捷地进行学员信息录入、课程调整、考试组织等工作,大大提升了工作效率和用户体验。
智能化:系统引入大数据等先进技术,实现驾校管理的智能化与自动化。通过大数据分析学员的学习进度和考试情况,为教练提供精准的教学建议。
可扩展性:系统采用模块化设计理念,具有良好的可扩展性。随着驾校业务的不断发展,可方便地添加新的功能模块,如新增教练评价系统、在线模拟考试系统等,满足驾校未来的发展需求,为系统的持续升级提供了有力保障。
1.4论文结构与章节安排
本文共分为七章,各章节内容安排如下:
第一章:绪论。阐述本研究的选题背景与研究价值,剖析国内外驾校信息管理系统的发展现状,介绍本系统所具备的独特优势,并说明论文的整体结构与各章节布局。
第二章:开发工具及关键技术介绍。介绍系统开发过程中所使用的关键技术,包括Java编程语言、MySQL数据库、Spring Boot框架以及B/S模式等。
第三章:系统分析。对系统进行全面的需求分析,包括功能需求和非功能性需求,并设计了系统的总体架构和详细功能模块。
第四章:系统设计与实现。详细介绍系统的总体设计思路、系统结构设计以及核心代码设计。
第五章:系统实现。系统功能实现。直观展示注册登录模块、学员管理模块、教练管理模块、课程管理模块、考试管理模块等关键模块的实现过程与实际效果。通过实际案例和界面截图,让读者清晰了解系统的各项功能是如何具体实现的。
第六章:系统的测试。对系统进行功能测试和性能测试,确保系统的稳定性和可靠性。
第七章:结论与展望。对本文的研究工作进行总结,指出系统的优点和存在的不足,并提出未来的改进方向。
2.1 Java
Java是一种跨平台的编程语言,广泛用于开发各种类型的应用程序,包括Web应用、移动应用和大型软件系统。在 springboot驾校信息管理系统中,Java通常用于后端开发,提供强大的处理能力和稳定性[7]。同时Java是一种面向对象的编程语言,支持封装、继承和多态等特性,使代码更易于维护和重用。还拥有丰富的标准库和第三方框架,如Spring、Hibernate等,可以大大提高开发效率。
2.2 MySQL
MySQL是一种流行的开源关系型数据库管理系统,用于存储和管理数据。在 springboot驾校信息管理系统中,MySQL可以用于数据存储、数据查询和数据管理等方面,用户可以免费使用和修改源代码,为平台提供可靠和高性能的数据库支持[8]。MySQL支持多种存储引擎,如InnoDB和MyISAM,可以根据不同的应用场景选择合适的存储引擎,以提高性能;提供了多种数据安全机制,如用户权限管理、数据加密和备份恢复等,确保数据的安全性。
2.3 Spring Boot框架
Spring Boot是一个用于构建微服务的Java框架,简化了Spring应用程序的开发和部署过程。Spring Boot通过自动配置和约定优于配置的理念,简化了Spring应用程序的开发过程,使开发者可以更快地构建和部署应用程序;拥有丰富的生态系统,如Spring Cloud、Spring Security等,可以满足各种企业级应用的需求[9]。在 springboot驾校信息管理系统中,Spring Boot可以帮助开发团队快速搭建后端服务,并实现各种功能模块的集成和管理。
2.4 B/S模式
B/S模式(Browser/Server模式)是一种网络应用架构,其中浏览器(Browser)作为客户端与服务器(Server)进行通信。这种模式使用户可以通过普通的Web浏览器访问应用程序,而无需安装额外的客户端软件[10]。用户通过浏览器发送请求,服务器接收并处理这些请求,然后将结果返回给浏览器显示给用户。在 springboot驾校信息管理系统中,uni-app结合B/S模式B/S模式的优势包括跨平台的兼容性,用户可以在不同操作系统和设备上访问应用程序。此外,维护和部署也更为简便,并且能够实现较高的安全性,因为服务器端控制了应用程序和数据的访问权限。
第三章 系统分析
3.1可行性分析
通过综合考虑经济、操作、技术等因素,可以对驾校信息管理系统的可行性进行全面评估。这将有助于确定项目的成功概率,并为项目规划提供坚实的基础。
3.1.1经济可行性分析
从成本角度来看,系统开发主要包括人员工资、软件工具购买等费用。Spring Boot和MySQL均为开源技术,可降低软件授权成本;Java作为广泛使用的编程语言,开发人员资源丰富,人力成本相对可控。部署方面,可选择云服务提供商,按需付费,减少硬件设备的购置和维护成本。维护阶段,由于系统架构清晰、技术成熟,维护难度和成本较低。
该系统带来的经济效益显著。通过实现业务流程自动化,提高了驾校的管理效率,减少了人工操作和数据处理时间,降低了运营成本。同时,系统提供的实时数据统计和分析功能,有助于管理人员做出科学决策,提升驾校的盈利能力。综合来看,系统的投资回报率较高,具有良好的经济可行性。
3.1.2操作可行性分析
系统的操作流程和界面设计充分考虑了用户习惯,以确保易于操作和使用。对于学员用户,首页展示系统公告、新闻资讯等重要信息,教练信息页面可进行点赞、收藏和报名操作,个人中心方便查看报名记录、课程安排等。操作流程简洁明了,符合学员日常使用互联网应用的习惯。教练用户和管理员用户的后台管理界面布局合理,功能模块分类清晰,各项操作都有明确的提示和引导。
在用户培训方面,由于系统操作简单直观,培训难度较低。可通过在线视频教程、操作手册等方式,帮助用户快速熟悉系统的使用方法。因此,本系统具有操作可行性。
3.1.3技术可行性分析
从技术角度来看,Spring Boot作为一种轻量级、快速构建的Java框架,能够提高开发效率,降低系统的复杂程度,易于维护和升级。同时,MySQL作为关系型数据库,能够支持平台数据的存储与管理,保障系统的稳定性和高效性。因此,本系统具有技术可行性。
3.2系统功能需求分析
springboot驾校信息管理系统的设计与实现是基于Spring Boot、JAVA语言和MySQL数据库构建的,系统分为三个角色:注册用户、教练用户和管理员,每个角色都有不同的功能权限,确保系统的安全性和可靠性。下面是系统的功能需求分析:
1.注册用户功能
登录注册:用户可通过邮箱或手机号码进行注册和登录,完成个人身份验证。支持修改密码、找回密码等功能,确保账户的安全性和便利性。
首页:首页作为学员进入系统的第一站,以简洁直观的布局展示驾校的热门课程推荐、最新活动通知、快捷导航入口等关键信息。学员能快速找到所需功能,如查看教练信息、系统公告等,提升使用体验和操作效率。
系统公告:系统公告板块及时发布驾校的重要通知,如考试时间的临时调整、新增的教学服务项目、节假日的放假安排等。学员可以第一时间获取这些信息,避免因信息滞后而影响学习和考试安排。
新闻资讯:新闻资讯栏目提供驾校相关的新闻动态、行业政策解读、教学经验分享等内容。学员通过阅读新闻资讯,可以了解驾校的发展动态、行业趋势以及最新的驾驶技巧和安全知识,拓宽视野,增强安全意识。
教练信息:学员可以在教练信息板块查看教练的详细资料,包括教学经验、擅长的驾照类型、教学风格等。还能对心仪的教练进行点赞、收藏,方便日后查看和选择。当确定选择某位教练后,可直接在线报名,简化了报名流程。
我的账户:我的账户功能允许学员管理个人账户信息,如修改登录密码、绑定手机号码、查看账户余额等。
个人中心包含个人首页、报名记录、课程安排、考试安排、收藏、评论管理等功能。
个人首页:展示学员的基本信息,如姓名、性别、联系方式等,学员可以随时查看和修改,确保个人信息的准确性。
报名记录:详细记录学员的报名申请信息,包括报名时间、所选课程、付款状态以及教练的审核确认情况。学员可以清晰地了解报名进度,及时与教练或驾校沟通。
课程安排:以日历或列表的形式展示学员已安排的课程,包括上课时间、地点、教练姓名等信息。学员可以提前做好学习准备,避免错过课程。
考试安排:提供学员的考试时间、地点、考试科目等详细信息,方便学员合理安排备考时间和行程,确保考试顺利进行。
收藏:学员收藏的教练信息会集中展示在此,方便学员随时查看和对比不同教练的特点,做出更合适的选择。
评论管理:学员可以对教练的教学质量、课程安排等进行评论,分享自己的学习体验。同时,也可以查看其他学员的评论,获取更多的参考信息。
2.教练用户功能
驾校教练在系统中承担着重要的工作职能。
后台首页:后台首页为教练提供了一个集中展示工作信息的平台,包括待处理的报名申请、即将开始的课程安排、学员的反馈信息等。教练可以快速了解工作重点,提高工作效率。
驾照信息管理:教练查看不同驾照类型的教学信息,如教学大纲、考试要求、常见问题解答等。为学员提供准确的报考信息,帮助学员更好地了解不同驾照类型的特点和要求,为教学做好充分准备。
车辆信息管理:教练查看教学车辆的相关信息,包括车辆的型号、车牌号、使用状态、维护记录等。确保教学车辆的安全可靠,及时安排车辆的维护和保养,保障教学工作的正常进行。
教练信息管理:教练可以在此发布个人详细信息,如教学经验、教学成果、个人特长等。通过展示自己的优势和特点,吸引更多学员选择自己的课程,提升个人知名度和竞争力。
报名记录管理:教练可以审核学员的报名申请,查看学员的个人信息和报名需求。确认学员信息无误后,进行审核确认,确保教学资源的合理分配和教学工作的有序开展。
课程安排管理:教练可以根据教学计划和学员的需求,制定和调整课程安排。合理安排上课时间、地点和教学内容,确保教学质量和学员的学习效果。
考试安排管理:教练负责安排学员的考试时间和地点,提前通知学员做好考试准备。同时,跟踪学员的考试进度,及时了解考试结果,为学员提供针对性的指导和建议。
3.管理员功能
管理员在系统中拥有全面的管理功能。
后台首页:后台首页集中展示驾校的整体运营情况,包括学员数量、教练数量、车辆使用情况、报名和考试统计数据等。管理员可以通过这些数据全面了解驾校的运行状况,及时发现和解决问题。
系统用户:管理员可以对驾校的所有用户进行管理,包括学员、教练、其他管理员等。管理用户的注册信息、权限设置、账户状态等,保障用户信息的安全和系统的正常运行。
驾照信息管理:管理员负责维护驾照类型信息,确保驾照信息的准确性和完整性。及时更新驾照考试政策、考试科目、合格标准等信息,为学员和教练提供准确的报考和教学依据。
车辆信息管理:全面管理教学车辆的信息,包括车辆的采购、调配、维护、报废等环节。制定车辆使用计划,合理安排车辆的使用,确保教学车辆的安全和高效使用。
教练信息管理:审核教练发布的个人信息,确保教练信息的真实性和合法性。对教练的教学质量、服务态度等进行评估和管理,提升教练队伍的整体素质。
报名记录管理:监控学员的报名情况,协调教练资源,确保报名流程的顺畅。及时处理报名过程中出现的问题,如报名信息错误、重复报名等,保障学员的合法权益。
课程安排管理:统筹课程安排,避免课程冲突和资源浪费。根据学员的需求和教练的教学能力,合理安排课程时间和地点,提高教学效率和质量。
考试安排管理:合理安排考试时间和地点,确保考试的公平公正。制定考试流程和规则,加强对考试过程的监督和管理,及时公布考试结果,为学员提供准确的反馈。
系统管理:管理员可以设置轮播图的跳转链接,通过前台轮播图引导用户访问特定页面。
系统公告管理:发布和管理驾校的重要公告,如政策调整、活动通知、系统升级等。确保学员和教练能够及时获取最新信息,促进驾校与用户之间的沟通和交流。
资源管理:管理驾校的教学资源,如教学视频、教材、教学设备等。合理分配和利用资源,提高资源的使用效率。同时,不断丰富和更新教学资源,满足学员的学习需求。
权限管理:管理员可以根据不同用户(学员、教练、其他管理员)的职责和需求,对用户的权限进行细致的划分和调整。例如,为教练用户赋予课程安排、考试安排等管理权限。
根据使用该系统的用例角色可以划分为注册用户、教练用户用户和管理员,具体如下所示。
springboot驾校信息管理系统注册用户角色用例图如下所示。

图3-1 注册用户角色用例图
springboot驾校信息管理系统教练用户用户角色用例图如下所示。

图3-2 教练用户角色用例图
springboot驾校信息管理系统管理员角色用例图如下所示。

图3-3 管理员角色用例图
3.3系统非功能性分析
系统的非功能性需求对于保障驾校信息管理系统的稳定运行和用户体验至关重要,主要体现在性能、安全、可靠性和可维护性等方面。
在性能方面,系统需要具备高效的响应能力。学员、教练和管理员在进行各类操作时,如查询信息、提交申请等,系统应在短时间内给出响应,一般页面加载时间应控制在3秒以内,以避免用户长时间等待。同时,系统要能够处理高并发访问,在报名高峰期或考试安排查询集中时段,确保系统不出现卡顿或崩溃现象,支持至少1000个并发用户同时在线操作。
安全是系统的核心需求之一。首先,要保障用户信息的安全,对学员、教练和管理员的个人信息进行加密存储,防止信息泄露。在数据传输过程中,采用安全的传输协议,如HTTPS,确保数据的完整性和保密性。其次,系统应具备完善的身份认证和授权机制,不同用户角色只能访问和操作其权限范围内的信息,防止非法访问和数据篡改。
可靠性要求系统具备高可用性和容错能力。系统应保证7×24小时不间断运行,避免因系统故障导致业务中断。同时,要具备数据备份和恢复机制,定期对系统数据进行备份,在出现数据丢失或损坏时,能够快速恢复数据,确保业务的连续性。
可维护性方面,系统的架构设计应具有良好的模块化和可扩展性。开发人员能够方便地对系统进行功能扩展和代码维护,降低维护成本和难度。同时,系统应具备详细的日志记录功能,记录用户操作和系统运行状态,以便在出现问题时能够快速定位和解决问题。
3.4系统流程分析
3.4.1用户注册流程图
注册的过程,第一部分是账号的注册,第二部分是信息完善。在业务开展过程中,管理员可对用户信息进行修改等管理操作,注册流程如图3-4所示。

图3-4 用户注册流程图
3.4.2用户登录流程图
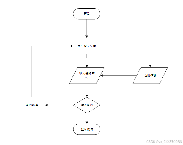
登录时,用户填写用户名、密码、选择身份进行登录,在登录过程中后端会对发送过来的信息进行验证和判断,具体的登录流程如图3-5所示。
图3-5 用户登录流程图
3.4.3系统操作流程
用户打开并进入系统后,会先显示登录界面,输入正确的用户名和密码,系统自动检测信息,若信息无误,则用户会进入系统功能界面,进行操作,否则会提示错误无法登录,操作流程如图3-6所示。

图3-6 系统操作流程图
3.4.4 添加信息流程
管理员可以对系统公告、新闻资讯等进行信息的添加,用户可以对自己权限内的信息进行添加,输入信息后,系统会自行验证输入的信息和数据,若信息正确,会将其添加到数据库内,若信息有误,则会提示重新输入信息,添加信息流程如图3-7所示。

图3-7 添加信息流程图
3.4.5 修改信息流程
管理员可以对系统公告、新闻资讯等进行的修改,用户可以对自己权限内的信息进行修改,首先进入修改信息界面,输入修改信息数据,系统进行数据的判断验证,修改信息合法则修改成功,信息更新至数据库,信息不合法则修改失败,重新输入。修改信息流程图如图3-8所示。

图3-8 修改信息流程图
3.4.6 删除信息流程
管理员可以对系统公告、新闻资讯等进行信息的删除,对要删除的信息进行选中后,点击删除按钮,系统会询问是否确定,若点击确定,则系统会删除掉选中的信息,并在数据库内对信息进行删除,删除信息流程图如图3-9所示。

图3-9 删除信息流程图
第四章 系统设计与实现
4.1系统总体设计思路
springboot驾校信息管理系统采用Browser/Server结构,(浏览器/服务器)和基于Web服务前后台交互的模式,是一个适用于Windows体系环境下的模型结构。只要用户有符合程序运行的硬件系统,并连上互联网,便可以在任何时间、任何地点使用。系统工作原理图如图4-1所示:

图4-1系统工作原理图
其最终前后台交互原理如图4-2所示。

图4-2前后台交互原理
具体交互流程为:浏览器中执行具体操作,操作命令将生成一个do方法。该方法使得浏览器能够访问后台中的Controller层,Controller层由于业务上的需要执行进而访问Service层。Service层收到指令后将会去调用内部DAO层的接口。接口将会和MyBatis层下的一个SQL语句相对接。对接好之后进而访问MySql数据库。更新底层数据,然后将数据同步回MyBatis层,同步变化后的数据将通过DAO层接口,Service层和后台Controller层,直观反映到浏览器页面上。
4.2系统结构设计
springboot驾校信息管理系统的整体结构设计如图4-2所示。

图4-2整体功能结构设计图
4.3系统核心代码设计
springboot驾校信息管理系统的核心代码设计如下:
4.3.1用户注册
注册页UserController.java,传入user对象,并将"user_id"、 "state"、 "user_group"、"login_time"、"phone"、"phone_state"、 "username"、"nickname"、"password"、"email"、"email_state"、"avatar"、"create_time"输入,重点是 "username"、"nickname"、"password"必须输入,通过获取username,数据库查询是否有该用户,如果存在,则提示“用户已存在”,否则执行将UserId置为空(数据库表中该字段已设置自动递增),代码如图4-3所示。
图4-3注册核心代码图
4.3.2用户登录
登录页,首先传入"username"、"email"、"phone"、"password",用户可通过用户名、邮箱、手机号进行登陆,通过判断resultList来确定查询结果,然后执行查询用户组UserGroup,用户组里面不存在,依然报“用户不存在”,执行完以上代码,最后涉及到用户带有“审核”的,会查询examine_state(用户的审核状态),数据库表user_group中含有source_table和source_field进行查询,以上步骤完成,对输入的密码进行存储Token到数据库,匹对账号和密码,数据库中的AccessToken为令牌,用于身份认证,代码如图4-4所示。
图4-4用户登录核心代码图
4.3.3修改密码
修改密码,通过请求data,获取旧密码,并将新密码重新赋值,期间都是需要通过加密,代码如图4-5所示。
图4-5修改密码核心代码图
4.3.4修改数据
修改一个数据,原理与add基本一致,不同点在于通过readConfig()读取关键字,以及通过readQuery()获取URL后面?指定位置的标识,转成Map对象后,执行update操作,同样通过拼接的sql语句执行,执行过程读取query,toWhereSql()语句完成数据库操作,body为修改对象的值,代码如图4-6所示。
图4-6修改数据核心代码图
4.3.5删除数据
删除一条数据,通过readQuery(),获取URL后面的对象地址,删除FROM具体的table,query删除查询FindConfig语句,代码如图4-7所示。
图4-7删除数据核心代码图
4.3.6获取列表
通过请求的参数获取列表数据,代码如图4-8所示。
图4-8获取列表核心代码图
4.3.7图片上传
通过请求的参数获取列表数据,代码如图4-9所示。
图4-9图片上传核心代码图
4.4数据库设计
数据库设计是指在构建和组织数据库系统时,根据实际需求和目标,进行数据模型的设计和规划的过程。它涉及到确定数据库中的表、字段、关系以及约束等方面的设计决策。
4.4.1 概念模型设计
下面是整个系统中主要的数据库表总E-R实体关系图。

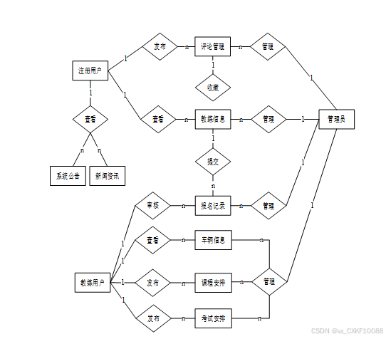
图4-10 系统E-R图
4.4.2 逻辑结构设计
在这一步中,我们将概念转换为实际的数据。由于数据库中包含了大量的信息,我们只展示了一些表格。
| 编号 | 字段名 | 类型 | 长度 | 是否非空 | 是否主键 | 注释 |
| 1 | token_id | int | 是 | 是 | 临时访问牌ID | |
| 2 | token | varchar | 64 | 否 | 否 | 临时访问牌 |
| 3 | info | text | 65535 | 否 | 否 | 信息 |
| 4 | maxage | int | 是 | 否 | 最大寿命:默认2小时 | |
| 5 | create_time | timestamp | 是 | 否 | 创建时间 | |
| 6 | update_time | timestamp | 是 | 否 | 更新时间 | |
| 7 | user_id | int | 是 | 否 | 用户编号 |
表 4-2-article(文章)
| 编号 | 字段名 | 类型 | 长度 | 是否非空 | 是否主键 | 注释 |
| 1 | article_id | mediumint | 是 | 是 | 文章id | |
| 2 | title | varchar | 125 | 是 | 是 | 标题 |
| 3 | type | varchar | 64 | 是 | 否 | 文章分类 |
| 4 | hits | int | 是 | 否 | 点击数 | |
| 5 | praise_len | int | 是 | 否 | 点赞数 | |
| 6 | create_time | timestamp | 是 | 否 | 创建时间 | |
| 7 | update_time | timestamp | 是 | 否 | 更新时间 | |
| 8 | source | varchar | 255 | 否 | 否 | 来源 |
| 9 | url | varchar | 255 | 否 | 否 | 来源地址 |
| 10 | tag | varchar | 255 | 否 | 否 | 标签 |
| 11 | content | longtext | 4294967295 | 否 | 否 | 正文 |
| 12 | img | varchar | 255 | 否 | 否 | 封面图 |
| 13 | description | text | 65535 | 否 | 否 | 文章描述 |
表 4-3-article_type(文章分类)
| 编号 | 字段名 | 类型 | 长度 | 是否非空 | 是否主键 | 注释 |
| 1 | type_id | smallint | 是 | 是 | 分类ID | |
| 2 | display | smallint | 是 | 否 | 显示顺序 | |
| 3 | name | varchar | 16 | 是 | 否 | 分类名称 |
| 4 | father_id | smallint | 是 | 否 | 上级分类ID | |
| 5 | description | varchar | 255 | 否 | 否 | 描述 |
| 6 | icon | text | 65535 | 否 | 否 | 分类图标 |
| 7 | url | varchar | 255 | 否 | 否 | 外链地址 |
| 8 | create_time | timestamp | 是 | 否 | 创建时间 | |
| 9 | update_time | timestamp | 是 | 否 | 更新时间 |
表 4-4-auth(用户权限管理)
| 编号 | 字段名 | 类型 | 长度 | 是否非空 | 是否主键 | 注释 |
| 1 | auth_id | int | 是 | 是 | 授权ID | |
| 2 | user_group | varchar | 64 | 否 | 否 | 用户组 |
| 3 | mod_name | varchar | 64 | 否 | 否 | 模块名 |
| 4 | table_name | varchar | 64 | 否 | 否 | 表名 |
| 5 | page_title | varchar | 255 | 否 | 否 | 页面标题 |
| 6 | path | varchar | 255 | 否 | 否 | 路由路径 |
| 7 | parent | varchar | 64 | 否 | 否 | 父级菜单 |
| 8 | parent_sort | int | 是 | 否 | 父级菜单排序 | |
| 9 | position | varchar | 32 | 否 | 否 | 位置 |
| 10 | mode | varchar | 32 | 是 | 否 | 跳转方式 |
| 11 | add | tinyint | 是 | 否 | 是否可增加 | |
| 12 | del | tinyint | 是 | 否 | 是否可删除 | |
| 13 | set | tinyint | 是 | 否 | 是否可修改 | |
| 14 | get | tinyint | 是 | 否 | 是否可查看 | |
| 15 | field_add | text | 65535 | 否 | 否 | 添加字段 |
| 16 | field_set | text | 65535 | 否 | 否 | 修改字段 |
| 17 | field_get | text | 65535 | 否 | 否 | 查询字段 |
| 18 | table_nav_name | varchar | 500 | 否 | 否 | 跨表导航名称 |
| 19 | table_nav | varchar | 500 | 否 | 否 | 跨表导航 |
| 20 | option | text | 65535 | 否 | 否 | 配置 |
| 21 | create_time | timestamp | 是 | 否 | 创建时间 | |
| 22 | update_time | timestamp | 是 | 否 | 更新时间 |
表 4-5-coach_information(教练信息)
| 编号 | 字段名 | 类型 | 长度 | 是否非空 | 是否主键 | 注释 |
| 1 | coach_information_id | int | 是 | 是 | 教练信息ID | |
| 2 | coach_account | int | 否 | 否 | 教练账号 | |
| 3 | name_of_coach | varchar | 64 | 否 | 否 | 教练姓名 |
| 4 | coach_no | varchar | 64 | 否 | 否 | 教练编号 |
| 5 | cover_image | varchar | 255 | 否 | 否 | 封面图片 |
| 6 | professor_drivers_license | varchar | 64 | 否 | 否 | 教授驾照 |
| 7 | working_experience | text | 65535 | 否 | 否 | 从业经历 |
| 8 | personal_introduction | longtext | 4294967295 | 否 | 否 | 个人介绍 |
| 9 | hits | int | 是 | 否 | 点击数 | |
| 10 | praise_len | int | 是 | 否 | 点赞数 | |
| 11 | collect_len | int | 是 | 否 | 收藏数 | |
| 12 | comment_len | int | 是 | 否 | 评论数 | |
| 13 | registration_record_limit_times | int | 是 | 否 | 报名限制次数 | |
| 14 | create_time | datetime | 是 | 否 | 创建时间 | |
| 15 | update_time | timestamp | 是 | 否 | 更新时间 |
表 4-6-coach_user(教练用户)
| 编号 | 字段名 | 类型 | 长度 | 是否非空 | 是否主键 | 注释 |
| 1 | coach_user_id | int | 是 | 是 | 教练用户ID | |
| 2 | name_of_coach | varchar | 64 | 否 | 否 | 教练姓名 |
| 3 | coach_phone | varchar | 64 | 否 | 否 | 教练电话 |
| 4 | gender_coach | varchar | 64 | 否 | 否 | 教练性别 |
| 5 | examine_state | varchar | 16 | 是 | 否 | 审核状态 |
| 6 | user_id | int | 是 | 否 | 用户ID | |
| 7 | create_time | datetime | 是 | 否 | 创建时间 | |
| 8 | update_time | timestamp | 是 | 否 | 更新时间 |
表 4-7-code_token(验证码)
| 编号 | 字段名 | 类型 | 长度 | 是否非空 | 是否主键 | 注释 |
| 1 | code_token_id | int | 是 | 是 | 验证码ID | |
| 2 | token | varchar | 255 | 否 | 否 | 令牌 |
| 3 | code | varchar | 255 | 否 | 否 | 验证码 |
| 4 | expire_time | timestamp | 是 | 否 | 失效时间 | |
| 5 | create_time | timestamp | 是 | 否 | 创建时间 | |
| 6 | update_time | timestamp | 是 | 否 | 更新时间 |
表 4-8-collect(收藏)
| 编号 | 字段名 | 类型 | 长度 | 是否非空 | 是否主键 | 注释 |
| 1 | collect_id | int | 是 | 是 | 收藏ID | |
| 2 | user_id | int | 是 | 是 | 收藏人ID | |
| 3 | source_table | varchar | 255 | 否 | 否 | 来源表 |
| 4 | source_field | varchar | 255 | 否 | 否 | 来源字段 |
| 5 | source_id | int | 是 | 否 | 来源ID | |
| 6 | title | varchar | 255 | 否 | 否 | 标题 |
| 7 | img | varchar | 255 | 否 | 否 | 封面 |
| 8 | create_time | timestamp | 是 | 否 | 创建时间 | |
| 9 | update_time | timestamp | 是 | 否 | 更新时间 |
表 4-9-comment(评论)
| 编号 | 字段名 | 类型 | 长度 | 是否非空 | 是否主键 | 注释 |
| 1 | comment_id | int | 是 | 是 | 评论ID | |
| 2 | user_id | int | 是 | 是 | 评论人ID | |
| 3 | reply_to_id | int | 是 | 否 | 回复评论ID | |
| 4 | content | longtext | 4294967295 | 否 | 否 | 内容 |
| 5 | nickname | varchar | 255 | 否 | 否 | 昵称 |
| 6 | avatar | varchar | 255 | 否 | 否 | 头像地址 |
| 7 | create_time | timestamp | 是 | 否 | 创建时间 | |
| 8 | update_time | timestamp | 是 | 否 | 更新时间 | |
| 9 | source_table | varchar | 255 | 否 | 否 | 来源表 |
| 10 | source_field | varchar | 255 | 否 | 否 | 来源字段 |
| 11 | source_id | int | 是 | 否 | 来源ID |
表 4-10-course_arrangement(课程安排)
| 编号 | 字段名 | 类型 | 长度 | 是否非空 | 是否主键 | 注释 |
| 1 | course_arrangement_id | int | 是 | 是 | 课程安排ID | |
| 2 | coach_account | int | 否 | 否 | 教练账号 | |
| 3 | user_account | int | 否 | 否 | 用户账号 | |
| 4 | user_name | varchar | 64 | 否 | 否 | 用户姓名 |
| 5 | user_phone | varchar | 64 | 否 | 否 | 用户电话 |
| 6 | apply_for_a_drivers_license | varchar | 64 | 否 | 否 | 报考驾照 |
| 7 | learning_subjects | varchar | 64 | 否 | 否 | 学习科目 |
| 8 | learning_time | datetime | 否 | 否 | 学习时间 | |
| 9 | learning_location | text | 65535 | 否 | 否 | 学习地点 |
| 10 | coach_rating | double | 否 | 否 | 教练评分 | |
| 11 | create_time | datetime | 是 | 否 | 创建时间 | |
| 12 | update_time | timestamp | 是 | 否 | 更新时间 | |
| 13 | source_table | varchar | 255 | 否 | 否 | 来源表 |
| 14 | source_id | int | 否 | 否 | 来源ID | |
| 15 | source_user_id | int | 否 | 否 | 来源用户 |
表 4-11-drivers_license_information(驾照信息)
| 编号 | 字段名 | 类型 | 长度 | 是否非空 | 是否主键 | 注释 |
| 1 | drivers_license_information_id | int | 是 | 是 | 驾照信息ID | |
| 2 | license_name | varchar | 64 | 否 | 否 | 驾照名称 |
| 3 | charging_standard | double | 否 | 否 | 收费标准 | |
| 4 | teaching_content | text | 65535 | 否 | 否 | 教学内容 |
| 5 | create_time | datetime | 是 | 否 | 创建时间 | |
| 6 | update_time | timestamp | 是 | 否 | 更新时间 |
表 4-12-examination_arrangement(考试安排)
| 编号 | 字段名 | 类型 | 长度 | 是否非空 | 是否主键 | 注释 |
| 1 | examination_arrangement_id | int | 是 | 是 | 考试安排ID | |
| 2 | coach_account | int | 否 | 否 | 教练账号 | |
| 3 | user_account | int | 否 | 否 | 用户账号 | |
| 4 | user_name | varchar | 64 | 否 | 否 | 用户姓名 |
| 5 | user_phone | varchar | 64 | 否 | 否 | 用户电话 |
| 6 | apply_for_a_drivers_license | varchar | 64 | 否 | 否 | 报考驾照 |
| 7 | examination_subjects | varchar | 64 | 否 | 否 | 考试科目 |
| 8 | examination_time | datetime | 否 | 否 | 考试时间 | |
| 9 | examination_location | text | 65535 | 否 | 否 | 考试地点 |
| 10 | examination_results | double | 否 | 否 | 考试成绩 | |
| 11 | create_time | datetime | 是 | 否 | 创建时间 | |
| 12 | update_time | timestamp | 是 | 否 | 更新时间 | |
| 13 | source_table | varchar | 255 | 否 | 否 | 来源表 |
| 14 | source_id | int | 否 | 否 | 来源ID | |
| 15 | source_user_id | int | 否 | 否 | 来源用户 |
表 4-13-hits(用户点击)
| 编号 | 字段名 | 类型 | 长度 | 是否非空 | 是否主键 | 注释 |
| 1 | hits_id | int | 是 | 是 | 点赞ID | |
| 2 | user_id | int | 是 | 否 | 点赞人 | |
| 3 | create_time | timestamp | 是 | 否 | 创建时间 | |
| 4 | update_time | timestamp | 是 | 否 | 更新时间 | |
| 5 | source_table | varchar | 255 | 否 | 否 | 来源表 |
| 6 | source_field | varchar | 255 | 否 | 否 | 来源字段 |
| 7 | source_id | int | 是 | 否 | 来源ID |
表 4-14-notice(公告)
| 编号 | 字段名 | 类型 | 长度 | 是否非空 | 是否主键 | 注释 |
| 1 | notice_id | mediumint | 是 | 是 | 公告ID | |
| 2 | title | varchar | 125 | 是 | 否 | 标题 |
| 3 | content | longtext | 4294967295 | 否 | 否 | 正文 |
| 4 | create_time | timestamp | 是 | 否 | 创建时间 | |
| 5 | update_time | timestamp | 是 | 否 | 更新时间 |
表 4-15-praise(点赞)
| 编号 | 字段名 | 类型 | 长度 | 是否非空 | 是否主键 | 注释 |
| 1 | praise_id | int | 是 | 是 | 点赞ID | |
| 2 | user_id | int | 是 | 是 | 点赞人 | |
| 3 | create_time | timestamp | 是 | 否 | 创建时间 | |
| 4 | update_time | timestamp | 是 | 否 | 更新时间 | |
| 5 | source_table | varchar | 255 | 否 | 否 | 来源表 |
| 6 | source_field | varchar | 255 | 否 | 否 | 来源字段 |
| 7 | source_id | int | 是 | 否 | 来源ID | |
| 8 | status | tinyint | 是 | 否 | 点赞状态:1为点赞,0已取消 |
表 4-16-registered_user(注册用户)
| 编号 | 字段名 | 类型 | 长度 | 是否非空 | 是否主键 | 注释 |
| 1 | registered_user_id | int | 是 | 是 | 注册用户ID | |
| 2 | user_name | varchar | 64 | 否 | 否 | 用户姓名 |
| 3 | user_phone_number | varchar | 64 | 否 | 否 | 用户电话 |
| 4 | user_gender | varchar | 64 | 否 | 否 | 用户性别 |
| 5 | examine_state | varchar | 16 | 是 | 否 | 审核状态 |
| 6 | user_id | int | 是 | 否 | 用户ID | |
| 7 | create_time | datetime | 是 | 否 | 创建时间 | |
| 8 | update_time | timestamp | 是 | 否 | 更新时间 |
表 4-17-registration_record(报名记录)
| 编号 | 字段名 | 类型 | 长度 | 是否非空 | 是否主键 | 注释 |
| 1 | registration_record_id | int | 是 | 是 | 报名记录ID | |
| 2 | user_account | int | 否 | 否 | 用户账号 | |
| 3 | user_name | varchar | 64 | 否 | 否 | 用户姓名 |
| 4 | user_phone | varchar | 64 | 否 | 否 | 用户电话 |
| 5 | user_gender | varchar | 64 | 否 | 否 | 用户性别 |
| 6 | order_number | varchar | 64 | 否 | 否 | 订单编号 |
| 7 | coach_account | int | 否 | 否 | 教练账号 | |
| 8 | name_of_coach | varchar | 64 | 否 | 否 | 教练姓名 |
| 9 | coach_no | varchar | 64 | 否 | 否 | 教练编号 |
| 10 | apply_for_a_drivers_license | varchar | 64 | 否 | 否 | 报考驾照 |
| 11 | charging_standard | varchar | 64 | 否 | 否 | 收费标准 |
| 12 | teaching_content | varchar | 64 | 否 | 否 | 教学内容 |
| 13 | registration_time | date | 否 | 否 | 报名时间 | |
| 14 | registration_remarks | text | 65535 | 否 | 否 | 报名备注 |
| 15 | examine_state | varchar | 16 | 是 | 否 | 审核状态 |
| 16 | examine_reply | varchar | 255 | 否 | 否 | 审核回复 |
| 17 | pay_state | varchar | 16 | 是 | 否 | 支付状态 |
| 18 | pay_type | varchar | 16 | 否 | 否 | 支付类型: 微信、支付宝、网银 |
| 19 | course_arrangement_limit_times | int | 是 | 否 | 上课限制次数 | |
| 20 | examination_arrangement_limit_times | int | 是 | 否 | 考试限制次数 | |
| 21 | create_time | datetime | 是 | 否 | 创建时间 | |
| 22 | update_time | timestamp | 是 | 否 | 更新时间 | |
| 23 | source_table | varchar | 255 | 否 | 否 | 来源表 |
| 24 | source_id | int | 否 | 否 | 来源ID | |
| 25 | source_user_id | int | 否 | 否 | 来源用户 |
表 4-18-slides(轮播图)
| 编号 | 字段名 | 类型 | 长度 | 是否非空 | 是否主键 | 注释 |
| 1 | slides_id | int | 是 | 是 | 轮播图ID | |
| 2 | title | varchar | 64 | 否 | 否 | 标题 |
| 3 | content | varchar | 255 | 否 | 否 | 内容 |
| 4 | url | varchar | 255 | 否 | 否 | 链接 |
| 5 | img | varchar | 255 | 否 | 否 | 轮播图 |
| 6 | hits | int | 是 | 否 | 点击量 | |
| 7 | create_time | timestamp | 是 | 否 | 创建时间 | |
| 8 | update_time | timestamp | 是 | 否 | 更新时间 |
表 4-19-upload(文件上传)
| 编号 | 字段名 | 类型 | 长度 | 是否非空 | 是否主键 | 注释 |
| 1 | upload_id | int | 是 | 是 | 上传ID | |
| 2 | name | varchar | 64 | 否 | 否 | 文件名 |
| 3 | path | varchar | 255 | 否 | 否 | 访问路径 |
| 4 | file | varchar | 255 | 否 | 否 | 文件路径 |
| 5 | display | varchar | 255 | 否 | 否 | 显示顺序 |
| 6 | father_id | int | 否 | 否 | 父级ID | |
| 7 | dir | varchar | 255 | 否 | 否 | 文件夹 |
| 8 | type | varchar | 32 | 否 | 否 | 文件类型 |
表 4-20-user(用户账户)
| 编号 | 字段名 | 类型 | 长度 | 是否非空 | 是否主键 | 注释 |
| 1 | user_id | int | 是 | 是 | 用户ID | |
| 2 | state | smallint | 是 | 否 | 账户状态:(1可用|2异常|3已冻结|4已注销) | |
| 3 | user_group | varchar | 32 | 否 | 否 | 所在用户组 |
| 4 | login_time | timestamp | 是 | 否 | 上次登录时间 | |
| 5 | phone | varchar | 11 | 否 | 否 | 手机号码 |
| 6 | phone_state | smallint | 是 | 否 | 手机认证:(0未认证|1审核中|2已认证) | |
| 7 | username | varchar | 16 | 是 | 否 | 用户名 |
| 8 | nickname | varchar | 16 | 否 | 否 | 昵称 |
| 9 | password | varchar | 64 | 是 | 否 | 密码 |
| 10 | | varchar | 64 | 否 | 否 | 邮箱 |
| 11 | email_state | smallint | 是 | 否 | 邮箱认证:(0未认证|1审核中|2已认证) | |
| 12 | avatar | varchar | 255 | 否 | 否 | 头像地址 |
| 13 | open_id | varchar | 255 | 否 | 否 | 针对获取用户信息字段 |
| 14 | create_time | timestamp | 是 | 否 | 创建时间 |
表 4-21-user_group(用户组)
| 编号 | 字段名 | 类型 | 长度 | 是否非空 | 是否主键 | 注释 |
| 1 | group_id | mediumint | 是 | 是 | 用户组ID | |
| 2 | display | smallint | 是 | 否 | 显示顺序 | |
| 3 | name | varchar | 16 | 是 | 否 | 名称 |
| 4 | description | varchar | 255 | 否 | 否 | 描述 |
| 5 | source_table | varchar | 255 | 否 | 否 | 来源表 |
| 6 | source_field | varchar | 255 | 否 | 否 | 来源字段 |
| 7 | source_id | int | 是 | 否 | 来源ID | |
| 8 | register | smallint | 否 | 否 | 注册位置 | |
| 9 | create_time | timestamp | 是 | 否 | 创建时间 | |
| 10 | update_time | timestamp | 是 | 否 | 更新时间 |
表 4-22-vehicle_information(车辆信息)
| 编号 | 字段名 | 类型 | 长度 | 是否非空 | 是否主键 | 注释 |
| 1 | vehicle_information_id | int | 是 | 是 | 车辆信息ID | |
| 2 | vehicle_name | varchar | 64 | 否 | 否 | 车辆名称 |
| 3 | vehicle_picture | varchar | 255 | 否 | 否 | 车辆图片 |
| 4 | vehicle_number | varchar | 64 | 否 | 否 | 车辆号码 |
| 5 | use_status | varchar | 64 | 否 | 否 | 使用状态 |
| 6 | vehicle_information | text | 65535 | 否 | 否 | 车辆信息 |
| 7 | create_time | datetime | 是 | 否 | 创建时间 | |
| 8 | update_time | timestamp | 是 | 否 | 更新时间 |
第五章 系统实现
5.1 用户注册界面实现
输入账号、设置密码、确认密码、昵称、邮箱、选择用户身份、用户姓名、用户性别、联系电话等用户个人信息,点击注册按钮进行注册,注册信息界面如图所示。
图5-1注册界面
5.2用户登录界面实现
用户登录为前台用户提供安全快捷的访问方式。登录页面设计简洁明了,用户只需输入用户名及密码即可完成身份验证。登录成功后,用户将被重定向至系统首页页面。对于忘记密码的用户,提供了找回密码功能,通过邮箱或手机号接收重置链接,保障账户安全。用户登录界面如下图所示。
图5-2登录界面
5.3用户首页界面实现
首页提供一个直观易用的界面,展示系统的最新动态和服务概览。设计上注重用户体验,确保内容清晰易读,操作简便。首页界面如图所示。
图5-3首页界面
5.4注册用户功能实现
5.4.1 系统公告模块
系统公告通常包含驾校的重要通知,如节假日安排、考试政策调整等,让学员及时了解驾校的动态。系统公告页面如图5-4所示。
图5-4系统公告界面
5.4.2 新闻资讯模块
新闻资讯则可能涵盖行业动态、驾驶技巧分享等内容,为学员提供更广泛的知识。新闻资讯列表界面如下图5-5所示。
图5-5新闻资讯列表界面
5.4.3 教练信息模块
教练信息页面为学员提供了选择合适教练的途径。学员可以查看教练的详细信息,包括教学经验、擅长科目、学员评价等,并对感兴趣的教练进行点赞、收藏操作。若学员决定选择某位教练,可直接在该页面进行报名。这一功能不仅方便了学员挑选教练,也促进了教练之间的良性竞争。教练信息界面如下图5-6所示。
图5-6教练信息界面
5.4.4个人中心模块
用户点击导航栏“个人中心”,个人首页展示了学员的基本信息,如姓名、联系方式等。报名记录板块记录了学员的报名申请情况,学员提交报名申请并完成付款后,需等待教练审核确认。在此过程中,学员可以随时查看申请状态。课程安排板块为学员提供了详细的课程时间表,让学员提前做好学习准备。考试安排板块则显示了学员的考试时间、地点和科目等信息,帮助学员合理规划复习计划。收藏板块方便学员快速找到自己关注的教练或资讯。评论管理板块允许学员对教练的教学质量、课程内容等进行评价和反馈,同时也能查看其他学员的评论,为自己的学习提供参考。
个人中心页面如下图5-7所示。
图5-7个人中心详情界面
5.5 教练用户功能实现
5.5.1 教练信息管理
教练信息管理功能为教练提供了展示个人信息的平台。教练可以发布自己的教学经验、擅长科目等信息,这些信息将在前台展示,供学员挑选。同时,教练也可以根据自身情况对个人信息进行修改和完善,以吸引更多学员。教练信息添加界面如下图5-8所示。
图5-8教练信息添加界面
5.5.2 报名记录管理
报名记录管理:教练可以查看学员的报名信息,包括个人资料、所选课程等,并根据实际情况进行审核。审核通过后,学员的报名状态将更新,同时教练可以为学员安排后续的学习计划。报名记录管理界面如下图5-9所示。
图5-9报名记录管理界面
5.5.3 课程安排管理功能
课程安排管理功能:教练根据学员的学习进度和需求,合理安排课程。教练可以制定课程时间表,确定每节课的教学内容和教学地点,并将课程信息同步到学员的个人中心,方便学员查看。课程安排管理功能界面如下图5-10所示。
图5-10课程安排管理功能界面
5.5.4 考试安排管理功能
考试安排管理功能则帮助教练为学员安排考试。教练可以根据学员的学习情况和驾校的考试计划,确定学员的考试时间和考试科目,并将考试信息及时通知学员。考试安排管理功能界面如下图5-11所示。
图5-11考试安排管理功能界面
5.6 管理员功能实现
5.6.1系统管理界面
管理员点击“系统管理”菜单,可以对前台展示的轮播图进行设置,管理员可以在前端设置轮播图的跳转链接,通过修改数据库中的相关配置信息,实现前台轮播图与特定页面的关联。界面如下图5-12所示。
图5-12系统管理界面图
5.6.2系统用户界面
管理员点击“系统用户”菜单,管理员可以管理系统中的用户信息,包括注册用户和教练用户的信息,支持用户的增删改查操作,还可以审核教练用户的信息。界面如下图所示。
图5-13用户管理界面图
管理员点击“系统公告管理”这个菜单,可以对系统中的公告信息进行管理,包括公告信息的增删改查等操作。系统公告管理界面如下图所示。
图5-14系统公告管理界面图
5.6.4资源管理界面
管理员点击“资源管理”菜单,管理员可以上传、编辑或删除系统的资源,如文章、图片、视频等。这些资源可用于新闻资讯模块的展示。管理员还可以对资讯进行分类和标签化,方便用户查找和使用。界面如下图所示。
图5-15资源管理界面图
管理员点击“车辆信息管理”菜单,管理员可以在此添加新的车辆信息。对于已有的车辆信息,管理员可以进行修改和删除操作。界面如下图所示。
图5-16车辆信息管理界面图
权限管理是管理员对不同用户角色的操作权限进行设置和调整的功能。管理员可以根据用户的角色和职责,为其分配不同的操作权限,确保系统数据的安全性和保密性。界面如下图所示。
图5-17权限管理界面图
第六章 系统的测试
6.1测试目的
在对该系统进行完详细设计和编码之后,就要对 springboot驾校信息管理系统的程序进行测试,检测程序是否运行无误,反复进行测试和修改,使之最后成为完整的软件,满足用户的需求,实现预期的功能。系统测试的目的在于确保软件正常运作,并实现其应有的功能,促进行中出现的错误和逻辑问题。系统测试不但可以找见程序运行中的系统错误,还可以找见程序运行的需要改进的地方,并去协助改良程序运行使其获得最高幅度的完备。
6.2功能测试
通过对系统中所含的主要实体对象及其功能操作进行测试用例设计。以下是详细的测试:
表6-1用户注册登录测试表
用户注册登录测试用例:
| 用例说明 | 测试目的 | 测试步骤 | 预期结果 | 输出结果 | 通过情况 |
| 用户注册、登录 | 测试用户正确注册、登录 | 1.在首页界面注册一个新用户,按规定输入合理的注册信息,提交。 2.用户在登录界面输入账户密码登录 | 用户注册成功,登录成功 | 结果输出符合预期 | 通过 |
表6-2报名申请测试表
报名申请用例:
| 用例说明 | 测试目的 | 测试步骤 | 预期结果 | 输出结果 | 通过情况 |
| 报名申请 | 测试用户报名申请功能 | 1、在首页点击教练信息菜单按钮进入教练信息列表; 2、点击某一教练信息进入详情页,点击报名,输入报名信息后,点击提交 | 用户报名成功,生成报名信息列表 | 结果输出符合预期 | 通过 |
表6-3评论测试表
评论测试用例:
| 用例说明 | 测试目的 | 测试步骤 | 预期结果 | 输出结果 | 通过情况 |
| 评论 | 测试用户评论功能 | 1、在首页点击资讯信息菜单按钮进入资讯信息列表; 2、点击某一资讯信息进入详情页,点击评论,输入评论内容后,点击提交 | 生成新的评论信息 | 结果输出符合预期 | 通过 |
表6-4车辆信息添加测试表
管理员车辆信息添加测试用例:
| 用例说明 | 测试目的 | 测试步骤 | 预期结果 | 输出结果 | 通过情况 |
| 车辆信息添加测试 | 测试管理员添加车辆信息功能 | 1、管理员点击车辆信息添加; 2、输入相关信息点击提交 | 车辆信息添加成功 | 结果输出符合预期 | 通过 |
表6-5系统公告删除测试表
系统公告删除测试用例:
| 用例说明 | 测试目的 | 测试步骤 | 预期结果 | 输出结果 | 通过情况 |
| 系统公告删除测试 | 测试系统公告删除功能 | 1.管理员点击系统公告管理; 2.选择一个系统公告点击删除并确认删除 | 系统公告删除成功,前端不在展示该系统公告 | 结果输出符合预期 | 通过 |
6.3性能测试
- 兼容性测试
表6-6 兼容性测试用例
| 用例编号 | 测试类型 | 测试目标 | 操作过程 | 预期结果 |
| 兼容性_01 | 设备兼容性 | 测试系统在不同设备上的表现 | 在多种设备上访问系统并记录表现 | 系统在各种设备上都能正常加载和显示页面 |
| 兼容性_02 | 浏览器兼容性 | 测试系统在不同浏览器上的表现 | 在多种浏览器中访问系统并记录表现 | 系统在各种主流浏览器上都能正常加载和显示页面 |
| 兼容性_03 | 分辨率兼容性 | 测试系统在不同分辨率下的显示效果 | 在不同分辨率的设备上访问系统并记录表现 | 系统在各种分辨率下都能适应并正常显示内容 |
| 兼容性_04 | 操作系统兼容性 | 测试系统在不同操作系统上的运行情况 | 在不同操作系统上访问系统并记录表现 | 系统能够在常用操作系统上正常运行和显示 |
- 性能测试
表6-7 性能测试用例
| 用例编号 | 测试类型 | 测试目标 | 操作过程 | 预期结果 |
| 性能_01 | 负载测试 | 测试系统在正常负载下的性能 | 逐步增加用户数来模拟不同的负载情况 | 系统能够稳定处理并响应不同数量的用户请求 |
| 性能_02 | 压力测试 | 测试系统在极端负载下的性能 | 以超过系统承受极限的用户数来测试系统 | 系统能够在高负载情况下仍然保持正常运行 |
| 性能_03 | 并发测试 | 测试系统能同时处理多少并发用户请求 | 同时发送多个并发用户请求来测试系统性能 | 系统能够有效地处理多个并发请求 |
| 性能_04 | 数据量测试 | 测试系统在大数据量下的性能 | 向系统添加大量数据并测试系统响应时间 | 系统能够在大数据量情况下保持较快的响应时间 |
6.4测试结果
全部测试用例都已通过,且不存在漏洞,实现了本论文开始时所作要求和期望。本系统运行稳定,使用流畅,可以满足客户需求。试运行后进行系统评估,可以认为该系统达到预定的目标要求,可以满足用户的需求,也满足了系统开发前所作目标。系统在经过大量重复测试后运行十分稳定,安全实用,功能模块已经达到预定目标所需。在规定的时间内实现系统的大部分功能,且满足要求,节省开发成本,有助于提高科学管理水平,符合本人经济情况。
简而言之,经过严格的测试,可以发现该系统的功能和性能非常出色,它的精度、可靠性、稳健性都达到了极高的水平,而且它还支持快速、精细的点击操作,使用者的使用感受更加良好。此外,它还支持各种主流浏览器,满足不同的使用要求。
结 论
本论文围绕基于 Spring Boot 的驾校信息管理系统展开研究与实践,成功开发出能满足学员、教练、管理员不同需求的系统。该系统提高了驾校管理效率,降低了运营成本,也改善了学员的学习体验,具有一定的实际应用价值。
尽管系统已取得一定成果,但仍存在明显不足。功能方面,系统仅覆盖了基础的信息管理和业务流程,像教学辅助、学员个性化学习规划等高级功能尚未实现。用户体验上,界面设计不够美观,操作流程也不够简便,部分功能的操作步骤繁琐。系统性能在面对大量数据和高并发访问时有所下降,响应速度变慢。数据安全方面,虽然有基本的防护措施,但在数据加密和备份机制上还不够完善,存在一定的安全隐患。
针对这些问题,未来会对系统进行优化。在功能上,会增加智能教学辅助和学员个性化学习规划等功能,提升系统的实用性。对界面进行重新设计,简化操作流程,提高用户体验。采用更先进的技术优化系统性能,确保在高并发情况下也能快速响应。加强数据安全防护,完善数据加密和备份机制,保障数据的安全性和完整性。同时,会持续关注用户反馈,不断改进系统,使其更好地服务于驾校管理。
参考文献
- 孙帅.基于Java Web的驾校考试管理系统的设计与实现[J].信息与电脑(理论版),2023,35(18):141-144.
- 宋希录,李和滨,尹华.驾校信息管理系统研究与设计[J].计算机应用与软件,2008,(10):163-165.
- 张玉杰,吴杰宏,郭霄峰,等.驾校培训管理信息系统的设计与实现[J].辽宁师专学报(自然科学版),2003,(01):38-40.
- 孙根.基于SSM框架的驾校管理平台的研究与实现[D].武汉邮电科学研究院,2019.
- Curacubby Presenting Advanced School Management Systems to Ensure a Smooth Flow of Education after Pandemic[J].M2 Presswire,2020,
- Changhyeon P ,SeokCheol K .Online Local Path Planning on the Campus Environment for Autonomous Driving Considering Road Constraints and Multiple Obstacles[J].Applied Sciences,2021,11(9):3909-3909.
- 谢帅虎.基于Java语言的翻页功能接口程序设计与实现[J].数字通信世界,2024,(11):92-94.
- 陈芳.基于MySQL数据库的数据录入系统设计研究[J].科技资讯,2024,22(20):35-37.
- 姚佰允,张豪,杜瑞庆. 基于SpringBoot与Vue的学院人员管理系统设计与实现 [J]. 无线互联科技, 2025, 22 (02): 78-83.
- 陈重阳.基于B/S架构的酒店结算系统的设计与实现[D].西安电子科技大学,2017.
- 汽车驾校无纸化考试系统.黑龙江省,哈尔滨理工大学,2009-01-01.
- 郭太君.基于Web的驾校综合管理系统的设计[J].数码世界,2016,(08):54-55.
- 左为民,范红霞.我国驾校信息管理系统研究进展——基于CNKI相关研究成果的统计分析[J].黑龙江交通科技,2014,37(09):180-181.DOI:10.16402/j.cnki.issn1008-3383.2014.09.142.
- 丁波.驾校管理系统设计与实现[J].软件导刊,2014,13(05):106-107.
- 夏虹.驾校业务应用支撑平台与信息管理系统[J].软件工程师,2013,(09):20-22.
- 刘辉兰.基于B/S的驾校管理系统的研究与实现[D].广西大学,2013.
- 王斌.驾校管理系统概要设计[J].科技广场,2012,(09):49-51.
- 张乃勇.驾驶培训管理系统的设计与实现[D].电子科技大学,2011.
- 赵庆东.本溪卧龙驾校车辆管理系统的设计与实现[D].电子科技大学,2011.
- 王黎征.驾校信息管理系统的研究与设计[J].电脑知识与技术,2010,6(16):4422-4423.
- 伍德军.蜀安驾校信息管理系统研究与开发[D].西南交通大学,2009.
- 宋希录,李和滨,尹华.驾校信息管理系统研究与设计[J].计算机应用与软件,2008,(10):163-165.
致 谢
时光荏苒,如白驹过隙,我的大学生活即将画上句号,而这篇关于 Spring Boot 驾校信息管理系统的论文也终于完成。在这个过程中,我得到了许多人的帮助和支持,在此,我向他们表达我最诚挚的感谢。
首先,我要感谢我的导师。从论文的选题、构思到撰写,再到最后的修改,导师都给予了我悉心的指导和耐心的帮助。导师严谨的治学态度、渊博的专业知识和敏锐的学术洞察力,让我受益匪浅,也为我今后的学习和工作树立了榜样。
感谢我的同学们,在我遇到困难和挫折时,他们总是给予我鼓励和支持。我们一起讨论问题,分享经验,共同进步。他们的陪伴让我的大学生活充满了温暖和快乐。
感谢我的家人,他们是我最坚实的后盾。在我学习的道路上,他们给予了我无尽的关爱和支持,让我能够全身心地投入到学习中。他们的理解和鼓励,是我不断前进的动力。
最后,我要感谢所有为我提供帮助和支持的人。正是因为有了你们的帮助,我才能顺利完成这篇论文。我会将这份感激之情化作前进的动力,在今后的学习和工作中努力拼搏,不辜负大家的期望。
再次感谢你们!
免费领取项目源码,请关注❥点赞收藏并私信博主,谢谢~
1237

被折叠的 条评论
为什么被折叠?



