摘 要
在当今全球创业浪潮的推动下,创业活动成为经济活力和社会进步的重要源泉。然而,对于许多创业者尤其是初创企业而言,获取启动资金往往是一大难题。传统融资渠道如银行贷款,通常伴随着较高的准入门槛和复杂的审批流程,这对于缺乏信用记录或抵押物的年轻创业者来说尤为不利。本文基于Spring Boot框架,设计并实现了一个集投资方管理、项目管理和资讯管理等功能于一体的创业融资平台。研究旨在通过互联网平台汇聚众多小额投资者的资金,为创业者提供了一种低门槛、高灵活性的融资选择。
系统主要内容包括项目的实时状态监控与资金发放处理,项目信息的全面记录与跟踪,以及投资申请的便捷处理与记录管理。采用的技术路线包括Spring Boot框架的快速开发优势,结合数据库技术实现数据的高效存储与检索,以及前端技术优化用户体验。该系统实现了创业项目资源的有效利用、申请流程的无缝衔接以及资金发放的快速响应。论文的主要贡献在于提供了一个功能全面、操作简便的创业融资解决方案,为创业者提供了一种新兴的融资方式。
关键词:Spring Boot框架;数据库技术;高效存储;融资
ABSTRACT
Driven by the current global entrepreneurial wave, entrepreneurial activities have become an important source of economic vitality and social progress. However, for many entrepreneurs, especially startups, getting start-up capital is often a big problem. Traditional financing channels, such as bank loans, are usually accompanied by high barriers to entry and complex approval processes, which are particularly bad for young entrepreneurs who lack a credit history or collateral. Based on the Spring Boot framework, this paper designs and implements a startup financing platform that integrates the functions of investor management, project management and information management. The research aims to gather the funds of a large number of small investors through the Internet platform, providing entrepreneurs with a low threshold and high flexibility financing choice.
The main contents of the system include real-time status monitoring of the project, fund distribution and issuing and processing, comprehensive recording and tracking of project information, and convenient processing and record management of investment application. The technical routes adopted include the rapid development advantages of the Spring Boot framework, the efficient data storage and retrieval combined with the database technology, and the front-end technology to optimize the user experience. The system realizes the effective use of the entrepreneurial project resources, the seamless connection of the application process, and the rapid response of the fund distribution. The main contribution of the paper is to provide a comprehensive function, simple operation of entrepreneurial financing solutions, providing a new financing way for entrepreneurs.
Keywords: Spring Boot Framework; database technology; efficient storage; financing
目 录
引 言
在当今全球创业浪潮的推动下,创业活动成为经济活力和社会进步的重要源泉。然而,对于许多创业者尤其是初创企业而言,获取启动资金往往是一大难题。传统融资渠道如银行贷款,通常伴随着较高的准入门槛和复杂的审批流程,这对于缺乏信用记录或抵押物的年轻创业者来说尤为不利。在此背景下,本研究基于Spring Boot框架,设计并实现了一套创业融资平台,旨在通过技术创新提升融资的效率和质量。本研究的前提在于认识到数字化转型对于创业者的重要性,并假设通过构建智能化管理系统能够有效解决现有问题。同时,本研究在具备基本开发环境和资源条件的支持下进行。
在模型的建立与设计阶段,我们深入分析了创业融资业务流程,明确了系统需求,并据此构建了系统架构。实验方案的拟定则围绕功能实现、性能优化及安全性保障展开。本研究以信息系统开发理论、软件工程理论以及数据库管理理论为基础,确保系统设计的合理性与科学性。
计算的主要方法和内容包括利用Spring Boot框架进行快速开发,结合前端技术优化用户界面,以及通过数据库技术实现数据存储与管理。设计、实验方法及结果方面,我们采用了迭代开发模式,不断测试、优化系统性能,确保其在实际应用中的稳定性和可靠性。
本研究将理论应用于实际,通过创业融资平台的实现,不仅提升了融资的效率和质量,还为创业者提供了一个交流互动的良好平台,进而推动整个社会的创新创业氛围向更好方向发展。
1项目开发背景
1.1课题研究背景及意义
在当今全球创业浪潮的推动下,创业活动成为经济活力和社会进步的重要源泉。然而,对于许多创业者尤其是初创企业而言,获取启动资金往往是一大难题。传统融资渠道如银行贷款,通常伴随着较高的准入门槛和复杂的审批流程,这对于缺乏信用记录或抵押物的年轻创业者来说尤为不利。在此背景下,众筹作为一种新兴的融资方式迅速崛起,它通过互联网平台汇聚众多小额投资者的资金,为创业者提供了一种低门槛、高灵活性的融资选择。与此同时,随着云计算、大数据分析等先进技术的发展,利用这些技术构建高效能的在线融资平台变得可行。Spring Boot作为一个轻量级且易于配置、快速部署的Java开发框架,在此类项目中得到了广泛应用。
创建一个基于Spring Boot框架的创业融资平台具有深远的意义。平台能够显著拓宽创业者的融资渠道,特别是那些难以从传统金融机构获得支持的小型企业和初创企业。该平台可以通过建立公开透明的信息展示机制,让潜在投资者更清楚地了解每个创业项目的情况,从而做出更加明智的投资决策,同时也能增强公众对创业活动的关注和支持。此外,借助数据分析工具,平台可以帮助创业者优化商业计划书,提高项目展示效果,并根据用户行为数据调整营销策略,以增加项目的成功率。再者,通过严格的审核机制和持续监控,确保平台上所有项目的真实性和合法性,保护投资者利益不受损害,还可以引入保险机制进一步分散投资风险。最后,这样的平台不仅是融资工具,也是一个学习平台,可以为学生和其他有兴趣的人士提供实际案例研究的机会,帮助他们更好地理解创业过程中的各个环节,积累宝贵经验。
综上所述,研究并实现一个基于Spring Boot框架的创业融资平台,不仅有助于解决当前创业者面临的融资难题,还能为社会各界提供一个交流互动的良好平台,进而推动整个社会的创新创业氛围向更好方向发展。通过促进信息透明度、提升项目成功率、加强风险控制以及推动创新创业教育,这一平台将在多个层面上产生积极影响。
1.2国内外发展现状分析
在中国,随着互联网技术的迅猛发展和政府对创新创业的大力支持,国内的创业融资平台迎来了蓬勃发展的黄金时期。中国政府推行的一系列鼓励创新政策,如“大众创业、万众创新”战略,为创业融资平台提供了良好的政策环境。同时,庞大的年轻创业者群体和传统金融机构对于初创企业贷款审批的严格性,催生了对新型、便捷融资方式的巨大需求。借助于Spring Boot微服务架构的优势,这些平台能够迅速迭代更新,提供个性化服务,并通过大数据分析和人工智能等先进技术实现精准的资金匹配和风险控制。国内市场上已经出现了多个知名的综合性大平台,如京东众筹、淘宝众筹,以及专注于特定领域的专业化小平台,它们不断创新功能设计,力求满足不同层次用户的需求。
相比之下,在欧美发达国家,创业融资平台的发展更为成熟和完善,形成了一个较为完整的生态系统。西方国家普遍拥有健全的金融体系和成熟的资本市场,这为创业融资平台提供了优越的市场环境。例如,Kickstarter和Indiegogo等国际知名平台不仅在用户体验方面表现出色,还在技术支持和服务模式上处于世界领先水平。这些平台通常采用先进的算法推荐系统来提高资金匹配效率,并通过严格的审核机制确保项目的合法性和真实性。此外,国外平台积极整合社交网络的力量,增强用户的粘性和活跃度。完善的法律法规也是一大特色,明确规定了各方的权利义务关系,包括信息披露要求和投资者权益保护措施,有助于建立透明公开的投资环境。除了传统的股权融资之外,国外平台还提供了债权融资、奖励式众筹等多种形式的资金支持,给予创业者更多元化的选择。
综上所述,无论是国内还是国外,基于Spring Boot框架的创业融资平台都在适应各自的社会经济背景,不断推进技术创新和服务优化。国内平台更注重于满足本地市场需求,强调技术创新和服务的个性化;而国外平台则倾向于构建完善的法律框架和技术标准,追求极致的用户体验和国际化扩展能力。未来,随着全球化进程的加快和技术交流的加深,国内外创业融资平台有望相互借鉴经验,共同推动行业的健康发展。
2相关技术简介
2.1 Springboot 框架简介
Spring Boot,作为Spring生态系统中一颗璀璨的明星,以其“约定优于配置”的核心理念,极大地简化了Java应用的开发、部署与管理流程。它并非是对Spring框架的颠覆,而是在其基础上进行了深度封装与优化,旨在快速搭建独立的、生产级别的Spring应用。Spring Boot通过自动配置功能,减少了大量繁琐的配置工作,让开发者能够更加专注于业务逻辑的实现。同时,它集成了众多常用库,如数据库连接池、缓存、消息队列等,为开发者提供了一站式的解决方案。此外,Spring Boot还支持多种部署方式,无论是传统的WAR包部署,还是现代的容器化部署,都能轻松应对。因此,选择Spring Boot作为创业融资平台的开发框架,不仅能够提升开发效率,还能确保系统的稳定性和可维护性。
2.2 MyBatis Plus框架简介
MyBatis Plus作为MyBatis的强化版,以其卓越的简化开发流程、增强的CRUD操作功能以及灵活的查询构建能力,在Java企业级应用开发中大放异彩。它不仅保留了MyBatis的灵活性和SQL控制能力,还通过内置通用Mapper、条件构造器、代码生成器等工具,极大减轻了开发者的负担。MyBatis Plus的自动填充、乐观锁、逻辑删除等特性,更是为数据管理提供了强大的支持。在创业融资平台中引入MyBatis Plus,意味着可以更快地实现复杂的数据操作逻辑,更灵活地应对业务需求变化,同时保持代码的清晰和可维护性,是提升开发效率、保障系统稳定性的不二之选。
2.3 VUE框架简介
Vue框架,作为一款风靡前端的JavaScript框架,以其渐进式、组件化的设计理念,为开发者构建高效、灵活的Web界面提供了强大支持。Vue不仅轻量且易于上手,其核心库专注于视图层,使得开发者能够轻松地将Vue集成到现有项目中,实现前后端分离的现代Web应用开发。其响应式的数据绑定和组件系统,让开发者能够高效地管理界面状态和用户交互,同时Vue丰富的生态系统也提供了众多插件和工具,进一步提升了开发效率和应用的性能。在springboot创业融资平台中引入Vue作为前端框架,不仅可以优化用户界面的渲染和交互体验,还能通过前后端分离的架构提升系统的可维护性和可扩展性,是构建现代、高效创业融资平台的理想选择。
2.4 MySQL数据库简介
MySQL数据库,作为开源关系型数据库管理系统的佼佼者,以其高性能、可靠性、易用性和灵活性,在全球范围内被广泛应用于各类企业级应用中。MySQL采用SQL(结构化查询语言)作为数据操作的标准语言,支持复杂的查询、数据更新、索引优化等功能,确保数据的高效存取和完整性。其强大的事务处理能力,为业务逻辑的原子性、一致性、隔离性和持久性提供了坚实保障。此外,MySQL还具备高度的可配置性和可扩展性,通过优化存储引擎、调整配置参数等手段,可以轻松应对高并发、大数据量的应用场景。在springboot创业融资平台中,MySQL作为后端数据存储的核心,不仅为系统提供了稳定可靠的数据支持,还通过其丰富的数据操作功能,助力系统实现复杂的业务逻辑和高效的数据管理。
3系统需求分析
3.1系统总体功能需求
基于Springboot的创业融资平台旨在通过集成先进的信息技术,为创业者和投资者提供一个高效、便捷、全面的创业融资平台。系统总体功能性设计围绕创业融资的核心业务流程展开,主要包括以下几个功能模块:
(1)用户管理模块:
用户注册与登录:支持游客注册成为投资方或者创业者用户账号,注册申请需经过管理员审核通过后才能通过用户名和密码登录系统。
个人资料:用户登录后可查看和修改自己的个人信息,如姓名、联系方式、头像等。
(2)投资方管理模块:
投资方展示与查询:展示各个投资方,并支持按条件查询。
投资方信息编辑:管理员和投资方可添加、编辑、删除投资方信息,包括投资方名称、联系号码、地址、地域范围、行业类别、详情等。
(3)创业项目管理模块:
创业项目展示和查看:创业者发布创业项目,并支持按条件查询。
创业项目信息编辑:管理员和创业者可添加、编辑、删除和审核创业项目,包括项目名称、行业类别、所需资金、创业文件等。
(4)公共管理模块:
公共管理展示和查看:展示轮播图信息、网站公告和留言板,并支持按条件查询。
公共管理信息编辑:管理员负责轮播图和网站公告信息及时更新,以便提升用户的浏览体验和获取重要信息的便利性,管理者、创业者和投资方均可对自己留言板的信息进行回复。
(5)资讯管理模块:
资讯展示和查看:展示各新闻资讯和资讯分类,并支持按条件查询。
资讯管理信息编辑:管理员负责平台上的新闻资讯和资讯分类及时发布并合理分类,以便用户获取最新的创业相关信息。
3.2系统功能需求分析
springboot创业融资平台包含前端跟后端,其中还后端包含创业者用户、投资方用户和管理员三个角色划分,主要功能如下:
3.2.1.前端主要功能
(1)首页:首页包含轮播图、新闻资讯。
(2)网站公告:主要展示后端发布的网站公告信息。
(3)新闻资讯:查看新闻资讯信息,可发表评论,可点赞、可收藏。
(4)投资方信息:展示所有后台发布的投资方列表信息,点击可查看投资方详情信息。可进行点赞、收藏以及发表评论。
(5)创业项目:展示所有后台发布的创业项目列表信息,点击可查看项目详情信息。可进行点赞、收藏和发布评论。
3.2.2.创业者用户主要功能
(1)用户注册:在用户注册页面中填写好账号、设置密码、确认密码、昵称、邮箱、选择身份、用户姓名、性别等字段值,点击下方注册按钮,提示注册成功后,系统将自动跳转回到首页。
(2)用户登录:点击“登录”按钮,输入管理员审核通过的用户名以及密码登录系统,登录时前端会自动校验用户名与密码,输入正确登录成功,输入错误会有提示信息。
(3)我的账户:包含个人资料修改跟密码修改,个人资料可修改头像等,修改密码:输入原始密码、新密码、确认密码点击保存即可修改成功。登录用新密码登录。
(4)个人中心:包含个人首页、创业者留言、投资申请、资金发放、创业项目、项目投资、投资方留言、留言板、收藏和评论管理等。创业者留言:可查看留言信息。投资申请:可查看、编辑、删除申请信息。资金发放:可查看资金发放情况。创业项目:可对项目项目进行添加、删除、编辑、上传文件和查看等操作。项目投资:可查看、编辑、删除和审核项目投资。投资方留言:对投资方留言进行查看和审核回复。留言板:查看留言板信息。收藏:查看收藏信息。评论管理:可发布、删除和查看评论信息。
3.2.3.投资方用户主要功能
(1)用户注册:在用户注册页面中填写好账号、设置密码、确认密码、昵称、邮箱、选择身份、用户姓名、性别等字段值,点击下方注册按钮,提示注册成功后,系统将自动跳转回到首页。
(2)用户登录:点击“登录”按钮,输入管理员审核通过的用户名以及密码登录系统,登录时前端会自动校验用户名与密码,输入正确登录成功,输入错误会有提示信息。
(3)我的账户:包含个人资料修改跟密码修改,个人资料可修改头像等,修改密码:输入原始密码、新密码、确认密码点击保存即可修改成功。登录用新密码登录。
(4)个人中心:包含个人首页、投资方信息、创业者留言、投资申请、资金发放、项目投资、投资方留言、留言板、收藏和评论管理等。投资方信息:查看和编辑投资方信息。创业者留言:可查看、删除和回复留言信息。投资申请:可查看、编辑、删除申请信息。资金发放:可查看资金发放情况。项目投资:可查看、编辑、删除项目投资。投资方留言:查看留言信息。留言板:查看留言板信息。收藏:查看收藏信息。评论管理:可发布、删除和查看评论信息。
3.2.4.管理员主要功能
(1)公共管理:轮播图和网站公告管理:可以查看轮播图详情,以及查询、重置、删除、添加等操作,留言板管理:对所有的留言板信息进行审核回复。
(2)用户管理:管理创业者用户、投资方用户跟管理员信息,包含查询、新增、删除、查看详情和审核等操作。
(3)资讯管理:包含新闻资讯跟资讯分类,新闻资讯可查看资讯详情与评论,以及查询、重置、删除、添加等操作。资讯分类:可查看资讯分类详情,以及查询、重置、删除、添加等操作。
(4)投资方管理:可对行业类别进行添加、删除、编辑和查看详情等操作。可对投资方信息进行添加、删除、编辑和查看详情及评论等操作。可对创业者留言进行添加、删除、编辑、审核和查看详情等操作。可对投资申请进行添加、删除、编辑、审核和查看详情等操作。可对资金发放进行添加、删除、编辑、审核和查看详情等操作。
(5)项目管理:可查看每个创业项目详情与评论信息,并可进行查询、重置、删除和审核操作。可查看每个项目投资详情并可进行删除和审核等操作。可对投资方留言进行查看、审核回复。
3.3系统非功能性分析
基于Spring Boot的创业融资平台毕业论文时,非功能性需求分析是一个重要的部分。非功能性需求主要关注的是系统如何运行,而不是它具体完成什么功能。这些需求包括性能、可用性、安全性、可维护性、可扩展性、易用性等方面。以下是一个关于基于Spring Boot的创业融资平台非功能性需求分析的概要。
性能需求:系统需确保快速响应和高吞吐量,以支持大量用户同时访问,即使在高峰时段也能保持流畅的操作体验,避免因延迟或卡顿影响用户体验。
可用性:安系统必须具备高可用性,采用冗余部署、负载均衡等策略,确保即使部分组件故障也能迅速恢复服务,减少服务中断时间,保障用户业务的连续性。
安全性:鉴于系统处理用户敏感信息,如个人信息、支付数据等,必须实施严格的安全措施,包括数据加密、访问控制、防攻击机制等,以保护用户数据免受未授权访问或泄露。
可维护性:系统设计应注重可维护性,采用模块化、标准化的架构,提供详尽的开发文档和用户手册,确保系统易于理解和维护,降低长期运维成本。
可扩展性:随着业务的发展,系统可能需要扩展功能或提升性能。因此,系统需具备灵活的可扩展性,能够轻松添加新模块、优化性能,以应对未来增长的需求。
易用性:用户界面应直观易用,符合用户习惯,提供清晰的导航和友好的操作反馈,帮助用户快速上手并高效完成任务,提升整体用户满意度。
3.4系统可行性分析
通过springboot创业融资平台的可行性分析,我们可以从技术可行性、经济可行性、操作可行性以及社会可行性四个维度进行深入探讨,以确保系统的开发与应用具有坚实的可行性基础。
3.4.1技术可行性
Springboot作为目前流行的Java企业级应用开发框架,以其“约定优于配置”的原则,极大地简化了开发流程,降低了技术门槛。同时,结合MyBatis Plus这一强大的ORM框架,可以高效实现数据持久化操作。前端采用Vue框架,不仅提升了用户界面的交互体验,也实现了前后端分离的现代Web架构。MySQL数据库作为后端数据存储,以其高性能和稳定性为系统提供了可靠的数据支持。综上所述,从技术角度来看,该系统的开发具备高度可行性。
3.4.2经济可行性
考虑到Springboot、Vue、MyBatis Plus及MySQL等均为开源技术,无需支付高昂的许可费用,大大降低了系统的开发成本。同时,这些技术拥有广泛的用户群体和成熟的社区支持,便于获取技术支持和资源共享。此外,系统的实施将显著提升创业融资的效率和用户体验,从而带来潜在的经济效益。因此,从经济角度来看,该系统的开发同样具备可行性。
3.4.3操作可行性
系统设计应遵循用户友好原则,确保用户能够轻松上手并高效使用。通过合理的界面布局、直观的操作流程以及详尽的帮助文档,可以大大降低用户的学习成本,提高系统的操作可行性。此外,系统还应具备完善的权限管理和数据安全机制,确保操作的安全性和合规性。
3.4.4社会可行性
在当今全球创业浪潮的推动下,创业活动成为经济活力和社会进步的重要源泉。该系统的开发将满足创业者对高效、便捷创业融资的迫切需求,符合社会发展的趋势和潮流。同时,系统的实施还将为社会各界提供一个交流互动的良好平台,进而推动整个社会的创新创业氛围向更好方向发展。
从技术、经济、操作和社会四个维度来看,springboot创业融资平台的开发均具备高度的可行性。
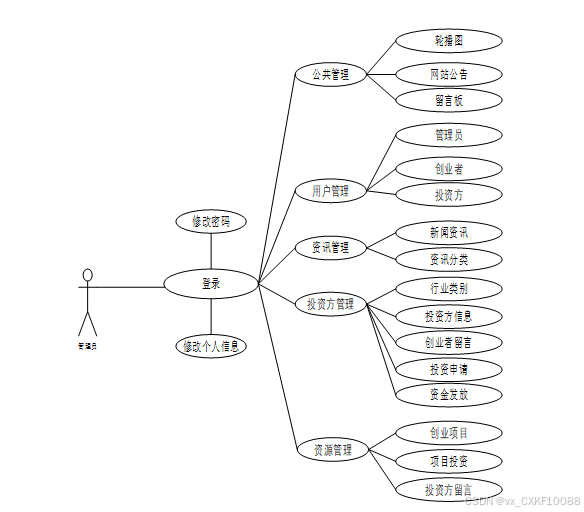
3.5系统用例分析
springboot创业融资平台用例分析主要从创业者用户、投资方用户和管理员这些实体展开描述。
3.5.1创业者用户用例分析
创业者用户具备注册(用户名、账号等),登录,浏览公告、资讯、 留言、投资方信息、创业项目等需求用例,登录注册包括账号、设置密码、确认密码、昵称、邮箱、手机号、身份等用例信息;登录后可参与:网站公告(浏览),新闻资讯(浏览、发表评论、点赞、收藏),留言板(浏览、发布)投资方信息(浏览、点赞、收藏)创业项目(浏览、发表、点赞、收藏),我的账户:修改资料:上传头像、编辑昵称等用例信息;修改密码用例包括了旧密码,新密码,确认新密码等用例信息,个人中心包含:个人首页、创业者留言、投资申请、资金发放、创业项目、项目投资、投资方留言、留言板、收藏和评论管理等。详细用例图如图3-1所示。

图3-1创业者用户用例图
3.5.2创业者用户用例分析
创业者用户具备注册(用户名、账号等),登录,浏览公告、资讯、 留言、投资方信息、创业项目等需求用例,登录注册包括账号、设置密码、确认密码、昵称、邮箱、手机号、身份等用例信息;登录后可参与:网站公告(浏览),新闻资讯(浏览、发表评论、点赞、收藏),留言板(浏览、发布)投资方信息(浏览、点赞、收藏)创业项目(浏览、发表、点赞、收藏),我的账户:修改资料:上传头像、编辑昵称等用例信息;修改密码用例包括了旧密码,新密码,确认新密码等用例信息,个人中心包含:个人首页、投资方信息、创业者留言、投资申请、资金发放、项目投资、投资方留言、留言板、收藏和评论管理等。详细用例图如图3-2所示。
图3-2投资方用户用例图
3.5.3管理员用例分析
管理员具备公共管理、用户管理、资讯管理、投资方管理、项目管理等需求用例。详细用例图如图3-3所示。

图3-3管理员用例图
4系统设计
4.1系统总体设计思路
基于SPRINGBOOT架构技术的创业融资平台采用Browser/Server结构,(浏览器/服务器)和基于Web服务前后台交互的模式,是一个适用于Windows体系环境下的模型结构。只要用户有符合程序运行的硬件系统,并连上互联网,便可以在任何时间、任何地点使用。系统工作原理图如图4-1所示:

图4-1系统工作原理图
其最终前后台交互原理如图4-2所示。

图4-2前后台交互原理
具体交互流程为:浏览器中执行具体操作,操作命令将生成一个do方法。该方法使得浏览器能够访问后台中的Controller层,Controller层由于业务上的需要执行进而访问Service层。Service层收到指令后将会去调用内部DAO层的接口。接口将会和MyBatis层下的一个SQL语句相对接。对接好之后进而访问MySql数据库。更新底层数据,然后将数据同步回MyBatis层,同步变化后的数据将通过DAO层接口,Service层和后台Controller层,直观反映到浏览器页面上。
4.2系统结构设计
springboot创业融资平台的整体结构设计如图4-3所示。
图4-3整体功能结构设计图
4.3系统功能设计
4.3.1用户登录流程
当创业者用户/投资方用户进入登录页面时,当其在浏览器执行具体操作的时候,后端会同步显示,如图4-4所示。
图4-4登录流程图
4.3.2创业者用户申请投资操作流程
当创业者用户登录系统的时候,浏览投资方信息,查看详情并申请投资生成项目投资信息,投资方用户在后端处理投资审核。创业者用户申请投资操作流程如图4-5所示。

图4-5系统操作流程图
4.4系统核心代码设计
springboot创业融资平台的核心代码设计如下:
4.4.1用户注册
注册页UserController.java,传入user对象,并将"user_id"、 "state"、 "user_group"、"login_time"、"phone"、"phone_state"、 "username"、"nickname"、"password"、"email"、"email_state"、"avatar"、"create_time"输入,重点是 "username"、"nickname"、"password"必须输入,通过获取username,数据库查询是否有该用户,如果存在,则提示“用户已存在”,否则执行将UserId置为空(数据库表中该字段已设置自动递增),代码如图4-7所示。
图4-7注册核心代码图
4.4.2用户登录
登录页,首先传入"username"、"email"、"phone"、"password",用户可通过管理员审核后的用户名、邮箱、手机号进行登陆,通过判断resultList来确定查询结果,然后执行查询用户组UserGroup,用户组里面不存在,依然报“用户不存在”,执行完以上代码,最后涉及到用户带有“审核”的,会查询examine_state(用户的审核状态),数据库表user_group中含有source_table和source_field进行查询,以上步骤完成,对输入的密码进行存储Token到数据库,匹对账号和密码,数据库中的AccessToken为令牌,用于身份认证,代码如图4-8所示。
图4-8用户登录核心代码图
4.4.3修改密码
修改密码,通过请求data,获取旧密码,并将新密码重新赋值,期间都是需要通过加密,代码如图4-9所示。
图4-9修改密码核心代码图
4.4.4修改数据
修改一个数据,原理与add基本一致,不同点在于通过readConfig()读取关键字,以及通过readQuery()获取URL后面?指定位置的标识,转成Map对象后,执行update操作,同样通过拼接的sql语句执行,执行过程读取query,toWhereSql()语句完成数据库操作,body为修改对象的值,代码如图4-10所示。
图4-10修改数据核心代码图
4.4.5删除数据
删除一条数据,通过readQuery(),获取URL后面的对象地址,删除FROM具体的table,query删除查询FindConfig语句,代码如图4-11所示。
图4-11删除数据核心代码图
4.4.6获取列表
通过请求的参数获取列表数据,代码如图4-12所示。
图4-12获取列表核心代码图
4.4.7图片上传
通过请求的参数获取列表数据,代码如图4-13所示。
图4-13图片上传核心代码图
4.5数据库设计
4.4.1数据库设计原则
springboot创业融资平台在进行数据库设计时,考虑到个人能力与数据库选择,选择了数据库Mysql。以下将使用E-R展示数据库中设计的实体及主要的字段和类型及数据库的描述。
4.4.2数据库实体
通过建立基于springboot创业融资平台的E-R模型图。以此来设计详细的数据库资料实体,以下为具体图例:
(1)创业者实体实体图如图4-14所示;
图4-14创业者用户实体图
(2)酒店客房实体图如图4-15所示;
图4-15创业项目实体图
(3)资金发放实体E-R图如图4-16所示;
图4-16资金发放实体E-R图
(4)订单信息实体图如图4-17所示;
图4-17投资申请实体图
(6)数据库实体E-R图如图4-18所示:
图4-18数据库E-R图
4.4.3数据库表设计
以下为本课题开发过程中所使用的数据表结构:
表access_token (登陆访问时长)
| 编号 | 名称 | 数据类型 | 长度 | 小数位 | 允许空值 | 主键 | 默认值 | 说明 |
| 1 | token_id | int | 10 | 0 | N | Y | 临时访问牌ID | |
| 2 | token | varchar | 64 | 0 | Y | N | 临时访问牌 | |
| 3 | info | text | 65535 | 0 | Y | N | ||
| 4 | maxage | int | 10 | 0 | N | N | 2 | 最大寿命:默认2小时 |
| 5 | create_time | timestamp | 19 | 0 | N | N | CURRENT_TIMESTAMP | 创建时间: |
| 6 | update_time | timestamp | 19 | 0 | N | N | CURRENT_TIMESTAMP | 更新时间: |
| 7 | user_id | int | 10 | 0 | N | N | 0 | 用户编号: |
| 编号 | 名称 | 数据类型 | 长度 | 小数位 | 允许空值 | 主键 | 默认值 | 说明 |
| 1 | article_id | mediumint | 8 | 0 | N | Y | 文章id:[0,8388607] | |
| 2 | title | varchar | 125 | 0 | N | Y | 标题:[0,125]用于文章和html的title标签中 | |
| 3 | type | varchar | 64 | 0 | N | N | 0 | 文章分类:[0,1000]用来搜索指定类型的文章 |
| 4 | hits | int | 10 | 0 | N | N | 0 | 点击数:[0,1000000000]访问这篇文章的人次 |
| 5 | praise_len | int | 10 | 0 | N | N | 0 | 点赞数 |
| 6 | create_time | timestamp | 19 | 0 | N | N | CURRENT_TIMESTAMP | 创建时间: |
| 7 | update_time | timestamp | 19 | 0 | N | N | CURRENT_TIMESTAMP | 更新时间: |
| 8 | source | varchar | 255 | 0 | Y | N | 来源:[0,255]文章的出处 | |
| 9 | url | varchar | 255 | 0 | Y | N | 来源地址:[0,255]用于跳转到发布该文章的网站 | |
| 10 | tag | varchar | 255 | 0 | Y | N | 标签:[0,255]用于标注文章所属相关内容,多个标签用空格隔开 | |
| 11 | content | longtext | 2147483647 | 0 | Y | N | 正文:文章的主体内容 | |
| 12 | img | varchar | 255 | 0 | Y | N | 封面图 | |
| 13 | description | text | 65535 | 0 | Y | N | 文章描述 |
| 编号 | 名称 | 数据类型 | 长度 | 小数位 | 允许空值 | 主键 | 默认值 | 说明 |
| 1 | type_id | smallint | 5 | 0 | N | Y | 分类ID:[0,10000] | |
| 2 | display | smallint | 5 | 0 | N | N | 100 | 显示顺序:[0,1000]决定分类显示的先后顺序 |
| 3 | name | varchar | 16 | 0 | N | N | 分类名称:[2,16] | |
| 4 | father_id | smallint | 5 | 0 | N | N | 0 | 上级分类ID:[0,32767] |
| 5 | description | varchar | 255 | 0 | Y | N | 描述:[0,255]描述该分类的作用 | |
| 6 | icon | text | 65535 | 0 | Y | N | 分类图标: | |
| 7 | url | varchar | 255 | 0 | Y | N | 外链地址:[0,255]如果该分类是跳转到其他网站的情况下,就在该URL上设置 | |
| 8 | create_time | timestamp | 19 | 0 | N | N | CURRENT_TIMESTAMP | 创建时间: |
| 9 | update_time | timestamp | 19 | 0 | N | N | CURRENT_TIMESTAMP | 更新时间: |
| 编号 | 名称 | 数据类型 | 长度 | 小数位 | 允许空值 | 主键 | 默认值 | 说明 |
| 1 | auth_id | int | 10 | 0 | N | Y | 授权ID: | |
| 2 | user_group | varchar | 64 | 0 | Y | N | 用户组: | |
| 3 | mod_name | varchar | 64 | 0 | Y | N | 模块名: | |
| 4 | table_name | varchar | 64 | 0 | Y | N | 表名: | |
| 5 | page_title | varchar | 255 | 0 | Y | N | 页面标题: | |
| 6 | path | varchar | 255 | 0 | Y | N | 路由路径: | |
| 7 | parent | varchar | 64 | 0 | Y | N | 父级菜单 | |
| 8 | parent_sort | int | 10 | 0 | N | N | 0 | 父级菜单排序 |
| 9 | position | varchar | 32 | 0 | Y | N | 位置: | |
| 10 | mode | varchar | 32 | 0 | N | N | _blank | 跳转方式: |
| 11 | add | tinyint | 3 | 0 | N | N | 1 | 是否可增加: |
| 12 | del | tinyint | 3 | 0 | N | N | 1 | 是否可删除: |
| 13 | set | tinyint | 3 | 0 | N | N | 1 | 是否可修改: |
| 14 | get | tinyint | 3 | 0 | N | N | 1 | 是否可查看: |
| 15 | field_add | text | 65535 | 0 | Y | N | 添加字段: | |
| 16 | field_set | text | 65535 | 0 | Y | N | 修改字段: | |
| 17 | field_get | text | 65535 | 0 | Y | N | 查询字段: | |
| 18 | table_nav_name | varchar | 500 | 0 | Y | N | 跨表导航名称: | |
| 19 | table_nav | varchar | 500 | 0 | Y | N | 跨表导航: | |
| 20 | option | text | 65535 | 0 | Y | N | 配置: | |
| 21 | create_time | timestamp | 19 | 0 | N | N | CURRENT_TIMESTAMP | 创建时间: |
| 22 | update_time | timestamp | 19 | 0 | N | N | CURRENT_TIMESTAMP | 更新时间: |
表business_book_template (商业书模板)
| 编号 | 名称 | 数据类型 | 长度 | 小数位 | 允许空值 | 主键 | 默认值 | 说明 |
| 1 | business_book_template_id | int | 10 | 0 | N | Y | 商业书模板ID | |
| 2 | title_name | varchar | 64 | 0 | Y | N | 标题名称 | |
| 3 | applicable_industries | varchar | 64 | 0 | Y | N | 适用行业 | |
| 4 | template_source | varchar | 64 | 0 | Y | N | 模板来源 | |
| 5 | matters_needing_attention | varchar | 64 | 0 | Y | N | 注意事项 | |
| 6 | template_attachment | varchar | 255 | 0 | Y | N | 模板附件 | |
| 7 | details_introduction | text | 65535 | 0 | Y | N | 详情介绍 | |
| 8 | hits | int | 10 | 0 | N | N | 0 | 点击数 |
| 9 | recommend | int | 10 | 0 | N | N | 0 | 智能推荐 |
| 10 | create_time | datetime | 19 | 0 | N | N | CURRENT_TIMESTAMP | 创建时间 |
| 11 | update_time | timestamp | 19 | 0 | N | N | CURRENT_TIMESTAMP | 更新时间 |
| 编号 | 名称 | 数据类型 | 长度 | 小数位 | 允许空值 | 主键 | 默认值 | 说明 |
| 1 | code_token_id | int | 10 | 0 | N | Y | ||
| 2 | token | varchar | 255 | 0 | Y | N | ||
| 3 | code | varchar | 255 | 0 | Y | N | 验证码 | |
| 4 | expire_time | timestamp | 19 | 0 | N | N | CURRENT_TIMESTAMP | 失效时间 |
| 5 | create_time | timestamp | 19 | 0 | N | N | CURRENT_TIMESTAMP | 创建时间 |
| 6 | update_time | timestamp | 19 | 0 | N | N | CURRENT_TIMESTAMP | 更新时间: |
| 编号 | 名称 | 数据类型 | 长度 | 小数位 | 允许空值 | 主键 | 默认值 | 说明 |
| 1 | collect_id | int | 10 | 0 | N | Y | 收藏ID: | |
| 2 | user_id | int | 10 | 0 | N | N | 0 | 收藏人ID: |
| 3 | source_table | varchar | 255 | 0 | Y | N | 来源表: | |
| 4 | source_field | varchar | 255 | 0 | Y | N | 来源字段: | |
| 5 | source_id | int | 10 | 0 | N | N | 0 | 来源ID: |
| 6 | title | varchar | 255 | 0 | Y | N | 标题: | |
| 7 | img | varchar | 255 | 0 | Y | N | 封面: | |
| 8 | create_time | timestamp | 19 | 0 | N | N | CURRENT_TIMESTAMP | 创建时间: |
| 9 | update_time | timestamp | 19 | 0 | N | N | CURRENT_TIMESTAMP | 更新时间: |
| 编号 | 名称 | 数据类型 | 长度 | 小数位 | 允许空值 | 主键 | 默认值 | 说明 |
| 1 | comment_id | int | 10 | 0 | N | Y | 评论ID: | |
| 2 | user_id | int | 10 | 0 | N | N | 0 | 评论人ID: |
| 3 | reply_to_id | int | 10 | 0 | N | N | 0 | 回复评论ID:空为0 |
| 4 | content | longtext | 2147483647 | 0 | Y | N | 内容: | |
| 5 | nickname | varchar | 255 | 0 | Y | N | 昵称: | |
| 6 | avatar | varchar | 255 | 0 | Y | N | 头像地址:[0,255] | |
| 7 | create_time | timestamp | 19 | 0 | N | N | CURRENT_TIMESTAMP | 创建时间: |
| 8 | update_time | timestamp | 19 | 0 | N | N | CURRENT_TIMESTAMP | 更新时间: |
| 9 | source_table | varchar | 255 | 0 | Y | N | 来源表: | |
| 10 | source_field | varchar | 255 | 0 | Y | N | 来源字段: | |
| 11 | source_id | int | 10 | 0 | N | N | 0 | 来源ID: |
表entrepreneurial_projects (创业项目)
| 编号 | 名称 | 数据类型 | 长度 | 小数位 | 允许空值 | 主键 | 默认值 | 说明 |
| 1 | entrepreneurial_projects_id | int | 10 | 0 | N | Y | 创业项目ID | |
| 2 | entry_name | varchar | 64 | 0 | Y | N | 项目名称 | |
| 3 | industry_category | varchar | 64 | 0 | Y | N | 行业类别 | |
| 4 | personal_photo | varchar | 255 | 0 | Y | N | 个人照片 | |
| 5 | required_funds | double | 9 | 2 | Y | N | 0.00 | 所需资金 |
| 6 | entrepreneurial_documents | varchar | 255 | 0 | Y | N | 创业文件 | |
| 7 | entrepreneurs | int | 10 | 0 | Y | N | 0 | 创业者 |
| 8 | name_of_entrepreneur | varchar | 64 | 0 | Y | N | 创业人名 | |
| 9 | phone_number | varchar | 16 | 0 | Y | N | 手机号码 | |
| 10 | details_introduction | longtext | 2147483647 | 0 | Y | N | 详情介绍 | |
| 11 | hits | int | 10 | 0 | N | N | 0 | 点击数 |
| 12 | examine_state | varchar | 16 | 0 | N | N | 未审核 | 审核状态 |
| 13 | recommend | int | 10 | 0 | N | N | 0 | 智能推荐 |
| 14 | project_investment_limit_times | int | 10 | 0 | N | N | 0 | 投资限制次数 |
| 15 | investor_message_limit_times | int | 10 | 0 | N | N | 0 | 留言限制次数 |
| 16 | create_time | datetime | 19 | 0 | N | N | CURRENT_TIMESTAMP | 创建时间 |
| 17 | update_time | timestamp | 19 | 0 | N | N | CURRENT_TIMESTAMP | 更新时间 |
| 编号 | 名称 | 数据类型 | 长度 | 小数位 | 允许空值 | 主键 | 默认值 | 说明 |
| 1 | entrepreneurs_id | int | 10 | 0 | N | Y | 创业者ID | |
| 2 | name_of_entrepreneur | varchar | 64 | 0 | N | N | 创业人名 | |
| 3 | phone_number | varchar | 16 | 0 | N | N | 手机号码 | |
| 4 | id_number | varchar | 255 | 0 | N | N | 身份证号 | |
| 5 | examine_state | varchar | 16 | 0 | N | N | 未审核 | 审核状态 |
| 6 | user_id | int | 10 | 0 | N | N | 0 | 用户ID |
| 7 | create_time | datetime | 19 | 0 | N | N | CURRENT_TIMESTAMP | 创建时间 |
| 8 | update_time | timestamp | 19 | 0 | N | N | CURRENT_TIMESTAMP | 更新时间 |
| 编号 | 名称 | 数据类型 | 长度 | 小数位 | 允许空值 | 主键 | 默认值 | 说明 |
| 1 | entrepreneur_message_id | int | 10 | 0 | N | Y | 创业者留言ID | |
| 2 | investor | int | 10 | 0 | Y | N | 0 | 投资方 |
| 3 | investor_name | varchar | 64 | 0 | Y | N | 投资方名称 | |
| 4 | industry_category | varchar | 64 | 0 | Y | N | 行业类别 | |
| 5 | entrepreneurial_party | int | 10 | 0 | Y | N | 0 | 创业方 |
| 6 | name_of_entrepreneur | varchar | 64 | 0 | Y | N | 创业人名 | |
| 7 | phone_number | varchar | 16 | 0 | Y | N | 手机号码 | |
| 8 | message_content | text | 65535 | 0 | Y | N | 留言内容 | |
| 9 | examine_state | varchar | 16 | 0 | N | N | 未审核 | 审核状态 |
| 10 | examine_reply | varchar | 16 | 0 | Y | N | 审核回复 | |
| 11 | create_time | datetime | 19 | 0 | N | N | CURRENT_TIMESTAMP | 创建时间 |
| 12 | update_time | timestamp | 19 | 0 | N | N | CURRENT_TIMESTAMP | 更新时间 |
| 13 | source_table | varchar | 255 | 0 | Y | N | 来源表 | |
| 14 | source_id | int | 10 | 0 | Y | N | 来源ID | |
| 15 | source_user_id | int | 10 | 0 | Y | N | 来源用户 |
| 编号 | 名称 | 数据类型 | 长度 | 小数位 | 允许空值 | 主键 | 默认值 | 说明 |
| 1 | fund_disbursement_id | int | 10 | 0 | N | Y | 资金发放ID | |
| 2 | application_number | varchar | 64 | 0 | N | N | 申请编号 | |
| 3 | industry_category | varchar | 64 | 0 | Y | N | 行业类别 | |
| 4 | investor | int | 10 | 0 | Y | N | 0 | 投资方 |
| 5 | investor_name | varchar | 64 | 0 | Y | N | 投资方名称 | |
| 6 | contact_number | varchar | 16 | 0 | Y | N | 联系号码 | |
| 7 | entrepreneurial_party | int | 10 | 0 | Y | N | 0 | 创业方 |
| 8 | name_of_entrepreneur | varchar | 64 | 0 | Y | N | 创业人名 | |
| 9 | phone_number | varchar | 16 | 0 | Y | N | 手机号码 | |
| 10 | entry_name | varchar | 64 | 0 | Y | N | 项目名称 | |
| 11 | investment_funds | double | 9 | 2 | Y | N | 0.00 | 投资资金 |
| 12 | investment_remarks | text | 65535 | 0 | Y | N | 投资备注 | |
| 13 | create_time | datetime | 19 | 0 | N | N | CURRENT_TIMESTAMP | 创建时间 |
| 14 | update_time | timestamp | 19 | 0 | N | N | CURRENT_TIMESTAMP | 更新时间 |
| 15 | source_table | varchar | 255 | 0 | Y | N | 来源表 | |
| 16 | source_id | int | 10 | 0 | Y | N | 来源ID | |
| 17 | source_user_id | int | 10 | 0 | Y | N | 来源用户 |
| 编号 | 名称 | 数据类型 | 长度 | 小数位 | 允许空值 | 主键 | 默认值 | 说明 |
| 1 | hits_id | int | 10 | 0 | N | Y | 点赞ID: | |
| 2 | user_id | int | 10 | 0 | N | N | 0 | 点赞人: |
| 3 | create_time | timestamp | 19 | 0 | N | N | CURRENT_TIMESTAMP | 创建时间: |
| 4 | update_time | timestamp | 19 | 0 | N | N | CURRENT_TIMESTAMP | 更新时间: |
| 5 | source_table | varchar | 255 | 0 | Y | N | 来源表: | |
| 6 | source_field | varchar | 255 | 0 | Y | N | 来源字段: | |
| 7 | source_id | int | 10 | 0 | N | N | 0 | 来源ID: |
| 编号 | 名称 | 数据类型 | 长度 | 小数位 | 允许空值 | 主键 | 默认值 | 说明 |
| 1 | industry_category_id | int | 10 | 0 | N | Y | 行业类别ID | |
| 2 | industry_category | varchar | 64 | 0 | Y | N | 行业类别 | |
| 3 | create_time | datetime | 19 | 0 | N | N | CURRENT_TIMESTAMP | 创建时间 |
| 4 | update_time | timestamp | 19 | 0 | N | N | CURRENT_TIMESTAMP | 更新时间 |
表investment_application (投资申请)
| 编号 | 名称 | 数据类型 | 长度 | 小数位 | 允许空值 | 主键 | 默认值 | 说明 |
| 1 | investment_application_id | int | 10 | 0 | N | Y | 投资申请ID | |
| 2 | application_number | varchar | 64 | 0 | Y | N | 申请编号 | |
| 3 | industry_category | varchar | 64 | 0 | Y | N | 行业类别 | |
| 4 | investor | int | 10 | 0 | Y | N | 0 | 投资方 |
| 5 | investor_name | varchar | 64 | 0 | Y | N | 投资方名称 | |
| 6 | contact_number | varchar | 16 | 0 | Y | N | 联系号码 | |
| 7 | entrepreneurial_party | int | 10 | 0 | Y | N | 0 | 创业方 |
| 8 | name_of_entrepreneur | varchar | 64 | 0 | Y | N | 创业人名 | |
| 9 | phone_number | varchar | 16 | 0 | Y | N | 手机号码 | |
| 10 | entry_name | varchar | 64 | 0 | Y | N | 项目名称 | |
| 11 | investment_funds | double | 9 | 2 | Y | N | 0.00 | 投资资金 |
| 12 | project_attachments | varchar | 255 | 0 | Y | N | 项目附件 | |
| 13 | remarks_content | text | 65535 | 0 | Y | N | 备注内容 | |
| 14 | examine_state | varchar | 16 | 0 | N | N | 未审核 | 审核状态 |
| 15 | examine_reply | varchar | 16 | 0 | Y | N | 审核回复 | |
| 16 | fund_disbursement_limit_times | int | 10 | 0 | N | N | 1 | 资金发放限制次数 |
| 17 | create_time | datetime | 19 | 0 | N | N | CURRENT_TIMESTAMP | 创建时间 |
| 18 | update_time | timestamp | 19 | 0 | N | N | CURRENT_TIMESTAMP | 更新时间 |
| 19 | source_table | varchar | 255 | 0 | Y | N | 来源表 | |
| 20 | source_id | int | 10 | 0 | Y | N | 来源ID | |
| 21 | source_user_id | int | 10 | 0 | Y | N | 来源用户 |
| 编号 | 名称 | 数据类型 | 长度 | 小数位 | 允许空值 | 主键 | 默认值 | 说明 |
| 1 | investor_id | int | 10 | 0 | N | Y | 投资方ID | |
| 2 | investor_name | varchar | 64 | 0 | Y | N | 投资方名称 | |
| 3 | contact_number | varchar | 16 | 0 | Y | N | 联系号码 | |
| 4 | address | varchar | 64 | 0 | Y | N | 地址 | |
| 5 | representative_type | varchar | 64 | 0 | Y | N | 代表类型 | |
| 6 | qualification_screenshot | varchar | 255 | 0 | Y | N | 资格截图 | |
| 7 | examine_state | varchar | 16 | 0 | N | N | 未审核 | 审核状态 |
| 8 | user_id | int | 10 | 0 | N | N | 0 | 用户ID |
| 9 | create_time | datetime | 19 | 0 | N | N | CURRENT_TIMESTAMP | 创建时间 |
| 10 | update_time | timestamp | 19 | 0 | N | N | CURRENT_TIMESTAMP | 更新时间 |
| 编号 | 名称 | 数据类型 | 长度 | 小数位 | 允许空值 | 主键 | 默认值 | 说明 |
| 1 | investor_information_id | int | 10 | 0 | N | Y | 投资方信息ID | |
| 2 | cover_image | varchar | 255 | 0 | Y | N | 封面图 | |
| 3 | industry_category | varchar | 64 | 0 | Y | N | 行业类别 | |
| 4 | investor | int | 10 | 0 | Y | N | 0 | 投资方 |
| 5 | investor_name | varchar | 64 | 0 | Y | N | 投资方名称 | |
| 6 | contact_number | varchar | 16 | 0 | Y | N | 联系号码 | |
| 7 | representative_type | varchar | 64 | 0 | Y | N | 代表类型 | |
| 8 | address | varchar | 64 | 0 | Y | N | 地址 | |
| 9 | regional_scope | text | 65535 | 0 | Y | N | 地域范围 | |
| 10 | details_introduction | longtext | 2147483647 | 0 | Y | N | 详情介绍 | |
| 11 | hits | int | 10 | 0 | N | N | 0 | 点击数 |
| 12 | recommend | int | 10 | 0 | N | N | 0 | 智能推荐 |
| 13 | entrepreneur_message_limit_times | int | 10 | 0 | N | N | 0 | 留言限制次数 |
| 14 | investment_application_limit_times | int | 10 | 0 | N | N | 0 | 申请投资限制次数 |
| 15 | create_time | datetime | 19 | 0 | N | N | CURRENT_TIMESTAMP | 创建时间 |
| 16 | update_time | timestamp | 19 | 0 | N | N | CURRENT_TIMESTAMP | 更新时间 |
| 编号 | 名称 | 数据类型 | 长度 | 小数位 | 允许空值 | 主键 | 默认值 | 说明 |
| 1 | investor_message_id | int | 10 | 0 | N | Y | 投资方留言ID | |
| 2 | entry_name | varchar | 64 | 0 | Y | N | 项目名称 | |
| 3 | industry_category | varchar | 64 | 0 | Y | N | 行业类别 | |
| 4 | entrepreneurs | int | 10 | 0 | Y | N | 0 | 创业者 |
| 5 | name_of_entrepreneur | varchar | 64 | 0 | Y | N | 创业人名 | |
| 6 | phone_number | varchar | 16 | 0 | Y | N | 手机号码 | |
| 7 | investor | int | 10 | 0 | Y | N | 0 | 投资方 |
| 8 | investor_name | varchar | 64 | 0 | Y | N | 投资方名称 | |
| 9 | contact_number | varchar | 16 | 0 | Y | N | 联系号码 | |
| 10 | message_content | text | 65535 | 0 | Y | N | 留言内容 | |
| 11 | examine_state | varchar | 16 | 0 | N | N | 未审核 | 审核状态 |
| 12 | examine_reply | varchar | 16 | 0 | Y | N | 审核回复 | |
| 13 | create_time | datetime | 19 | 0 | N | N | CURRENT_TIMESTAMP | 创建时间 |
| 14 | update_time | timestamp | 19 | 0 | N | N | CURRENT_TIMESTAMP | 更新时间 |
| 15 | source_table | varchar | 255 | 0 | Y | N | 来源表 | |
| 16 | source_id | int | 10 | 0 | Y | N | 来源ID | |
| 17 | source_user_id | int | 10 | 0 | Y | N | 来源用户 |
| 编号 | 名称 | 数据类型 | 长度 | 小数位 | 允许空值 | 主键 | 默认值 | 说明 |
| 1 | message_id | int | 10 | 0 | N | Y | 留言板ID: | |
| 2 | user_id | int | 10 | 0 | N | N | 0 | 用户ID: |
| 3 | title | varchar | 64 | 0 | Y | N | 标题: | |
| 4 | content | longtext | 2147483647 | 0 | N | N | 内容: | |
| 5 | nickname | varchar | 32 | 0 | N | N | 昵称: | |
| 6 | avatar | varchar | 255 | 0 | Y | N | 头像: | |
| 7 | | varchar | 125 | 0 | Y | N | 留言者邮箱 | |
| 8 | phone | varchar | 11 | 0 | Y | N | 留言者手机号码 | |
| 9 | create_time | timestamp | 19 | 0 | N | N | CURRENT_TIMESTAMP | 创建时间: |
| 10 | update_time | timestamp | 19 | 0 | N | N | CURRENT_TIMESTAMP | 更新时间: |
| 11 | reply | longtext | 2147483647 | 0 | Y | N | 回复 | |
| 12 | reply_state | tinyint | 4 | 0 | Y | N | 0 | 回复状态 |
| 编号 | 名称 | 数据类型 | 长度 | 小数位 | 允许空值 | 主键 | 默认值 | 说明 |
| 1 | notice_id | mediumint | 8 | 0 | N | Y | 公告id: | |
| 2 | title | varchar | 125 | 0 | N | N | 标题: | |
| 3 | content | longtext | 2147483647 | 0 | Y | N | 正文: | |
| 4 | create_time | timestamp | 19 | 0 | N | N | CURRENT_TIMESTAMP | 创建时间: |
| 5 | update_time | timestamp | 19 | 0 | N | N | CURRENT_TIMESTAMP | 更新时间: |
| 编号 | 名称 | 数据类型 | 长度 | 小数位 | 允许空值 | 主键 | 默认值 | 说明 |
| 1 | praise_id | int | 10 | 0 | N | Y | 点赞ID: | |
| 2 | user_id | int | 10 | 0 | N | N | 0 | 点赞人: |
| 3 | create_time | timestamp | 19 | 0 | N | N | CURRENT_TIMESTAMP | 创建时间: |
| 4 | update_time | timestamp | 19 | 0 | N | N | CURRENT_TIMESTAMP | 更新时间: |
| 5 | source_table | varchar | 255 | 0 | Y | N | 来源表: | |
| 6 | source_field | varchar | 255 | 0 | Y | N | 来源字段: | |
| 7 | source_id | int | 10 | 0 | N | N | 0 | 来源ID: |
| 8 | status | bit | 1 | 0 | N | N | 1 | 点赞状态:1为点赞,0已取消 |
| 编号 | 名称 | 数据类型 | 长度 | 小数位 | 允许空值 | 主键 | 默认值 | 说明 |
| 1 | project_investment_id | int | 10 | 0 | N | Y | 项目投资ID | |
| 2 | investment_number | varchar | 64 | 0 | Y | N | 投资编号 | |
| 3 | entry_name | varchar | 64 | 0 | Y | N | 项目名称 | |
| 4 | industry_category | varchar | 64 | 0 | Y | N | 行业类别 | |
| 5 | required_funds | double | 9 | 2 | Y | N | 0.00 | 所需资金 |
| 6 | entrepreneurial_documents | varchar | 255 | 0 | Y | N | 创业文件 | |
| 7 | entrepreneurs | int | 10 | 0 | Y | N | 0 | 创业者 |
| 8 | name_of_entrepreneur | varchar | 64 | 0 | Y | N | 创业人名 | |
| 9 | phone_number | varchar | 16 | 0 | Y | N | 手机号码 | |
| 10 | investor | int | 10 | 0 | Y | N | 0 | 投资方 |
| 11 | investor_name | varchar | 64 | 0 | Y | N | 投资方名称 | |
| 12 | contact_number | varchar | 16 | 0 | Y | N | 联系号码 | |
| 13 | representative_type | varchar | 64 | 0 | Y | N | 代表类型 | |
| 14 | investment_remarks | text | 65535 | 0 | Y | N | 投资备注 | |
| 15 | examine_state | varchar | 16 | 0 | N | N | 未审核 | 审核状态 |
| 16 | examine_reply | varchar | 16 | 0 | Y | N | 审核回复 | |
| 17 | create_time | datetime | 19 | 0 | N | N | CURRENT_TIMESTAMP | 创建时间 |
| 18 | update_time | timestamp | 19 | 0 | N | N | CURRENT_TIMESTAMP | 更新时间 |
| 19 | source_table | varchar | 255 | 0 | Y | N | 来源表 | |
| 20 | source_id | int | 10 | 0 | Y | N | 来源ID | |
| 21 | source_user_id | int | 10 | 0 | Y | N | 来源用户 |
| 编号 | 名称 | 数据类型 | 长度 | 小数位 | 允许空值 | 主键 | 默认值 | 说明 |
| 1 | score_id | int | 10 | 0 | N | Y | 评分ID: | |
| 2 | user_id | int | 10 | 0 | N | N | 0 | 评分人: |
| 3 | nickname | varchar | 64 | 0 | Y | N | 昵称: | |
| 4 | score_num | double | 5 | 2 | N | N | 0.00 | 评分: |
| 5 | create_time | timestamp | 19 | 0 | N | N | CURRENT_TIMESTAMP | 创建时间: |
| 6 | update_time | timestamp | 19 | 0 | N | N | CURRENT_TIMESTAMP | 更新时间: |
| 7 | source_table | varchar | 255 | 0 | Y | N | 来源表: | |
| 8 | source_field | varchar | 255 | 0 | Y | N | 来源字段: | |
| 9 | source_id | int | 10 | 0 | N | N | 0 | 来源ID: |
| 编号 | 名称 | 数据类型 | 长度 | 小数位 | 允许空值 | 主键 | 默认值 | 说明 |
| 1 | slides_id | int | 10 | 0 | N | Y | 轮播图ID: | |
| 2 | title | varchar | 64 | 0 | Y | N | 标题: | |
| 3 | content | varchar | 255 | 0 | Y | N | 内容: | |
| 4 | url | varchar | 255 | 0 | Y | N | 链接: | |
| 5 | img | varchar | 255 | 0 | Y | N | 轮播图: | |
| 6 | hits | int | 10 | 0 | N | N | 0 | 点击量: |
| 7 | create_time | timestamp | 19 | 0 | N | N | CURRENT_TIMESTAMP | 创建时间: |
| 8 | update_time | timestamp | 19 | 0 | N | N | CURRENT_TIMESTAMP | 更新时间: |
| 编号 | 名称 | 数据类型 | 长度 | 小数位 | 允许空值 | 主键 | 默认值 | 说明 |
| 1 | upload_id | int | 10 | 0 | N | Y | 上传ID | |
| 2 | name | varchar | 64 | 0 | Y | N | 文件名 | |
| 3 | path | varchar | 255 | 0 | Y | N | 访问路径 | |
| 4 | file | varchar | 255 | 0 | Y | N | 文件路径 | |
| 5 | display | varchar | 255 | 0 | Y | N | 显示顺序 | |
| 6 | father_id | int | 10 | 0 | Y | N | 0 | 父级ID |
| 7 | dir | varchar | 255 | 0 | Y | N | 文件夹 | |
| 8 | type | varchar | 32 | 0 | Y | N | 文件类型 |
| 编号 | 名称 | 数据类型 | 长度 | 小数位 | 允许空值 | 主键 | 默认值 | 说明 |
| 1 | user_id | int | 10 | 0 | N | Y | 用户ID:[0,8388607]用户获取其他与用户相关的数据 | |
| 2 | state | smallint | 5 | 0 | N | N | 1 | 账户状态:[0,10](1可用|2异常|3已冻结|4已注销) |
| 3 | user_group | varchar | 32 | 0 | Y | N | 所在用户组:[0,32767]决定用户身份和权限 | |
| 4 | login_time | timestamp | 19 | 0 | N | N | CURRENT_TIMESTAMP | 上次登录时间: |
| 5 | phone | varchar | 11 | 0 | Y | N | 手机号码:[0,11]用户的手机号码,用于找回密码时或登录时 | |
| 6 | phone_state | smallint | 5 | 0 | N | N | 0 | 手机认证:[0,1](0未认证|1审核中|2已认证) |
| 7 | username | varchar | 16 | 0 | N | N | 用户名:[0,16]用户登录时所用的账户名称 | |
| 8 | nickname | varchar | 16 | 0 | Y | N | 昵称:[0,16] | |
| 9 | password | varchar | 64 | 0 | N | N | 密码:[0,32]用户登录所需的密码,由6-16位数字或英文组成 | |
| 10 | | varchar | 64 | 0 | Y | N | 邮箱:[0,64]用户的邮箱,用于找回密码时或登录时 | |
| 11 | email_state | smallint | 5 | 0 | N | N | 0 | 邮箱认证:[0,1](0未认证|1审核中|2已认证) |
| 12 | avatar | varchar | 255 | 0 | Y | N | 头像地址:[0,255] | |
| 13 | open_id | varchar | 255 | 0 | Y | N | 针对获取用户信息字段 | |
| 14 | create_time | timestamp | 19 | 0 | N | N | CURRENT_TIMESTAMP | 创建时间: |
| 编号 | 名称 | 数据类型 | 长度 | 小数位 | 允许空值 | 主键 | 默认值 | 说明 |
| 1 | group_id | mediumint | 8 | 0 | N | Y | 用户组ID:[0,8388607] | |
| 2 | display | smallint | 5 | 0 | N | N | 100 | 显示顺序:[0,1000] |
| 3 | name | varchar | 16 | 0 | N | N | 名称:[0,16] | |
| 4 | description | varchar | 255 | 0 | Y | N | 描述:[0,255]描述该用户组的特点或权限范围 | |
| 5 | source_table | varchar | 255 | 0 | Y | N | 来源表: | |
| 6 | source_field | varchar | 255 | 0 | Y | N | 来源字段: | |
| 7 | source_id | int | 10 | 0 | N | N | 0 | 来源ID: |
| 8 | register | smallint | 5 | 0 | Y | N | 0 | 注册位置: |
| 9 | create_time | timestamp | 19 | 0 | N | N | CURRENT_TIMESTAMP | 创建时间: |
| 10 | update_time | timestamp | 19 | 0 | N | N | CURRENT_TIMESTAMP | 更新时间: |
5系统实现
5.1前端功能实现
5.1.1首页
首页:首页包含轮播图、新闻资讯,如图5-1所示。
图5-1首页界面图
5.1.2网站公告
网站公告:主要展示后端发布的网站公告信息,如图5-2所示。
图5-2网站公告界面图
5.1.3新闻资讯
新闻资讯:查看新闻资讯信息,可发表评论,可点赞、可收藏,如图5-3所示。
图5-3新闻资讯界面图
5.1.4创业项目
创业项目:展示所有后台发布的创业项目列表信息,点击可查看项目详情信息。可进行点赞、收藏以及发表评论。创业项目列表如图5-4所示。创业项目详情如图5-5所示。
图5-4创业项目列表界面图
图5-5创业项目详情界面图
5.2创业者和投资方用户功能实现
5.2.1用户注册
用户注册:输入账号、设置密码、确认密码、昵称、邮箱、选择用户身份、用户姓名、用户性别、联系电话等用户个人信息,点击注册按钮进行注册,如图5-6所示。
图5-6用户注册界面图
5.2.2用户登录
用户登录:输入管理员审核通过的用户名跟密码点击登录按钮,校验通过后即可登录,用户登录如图5-7所示。
图5-7用户登录界面图
5.2.3个人中心
创业者个人中心:包含个人首页、创业者留言、投资申请、资金发放、创业项目、项目投资、投资方留言、留言板、收藏和评论管理等。投资方个人中心:包含个人首页、投资方信息、创业者留言、投资申请、资金发放、项目投资、投资方留言、留言板、收藏和评论管理等。创业者个人中心如图5-8。投资方个人中心如图5-9。
图5-8创业者个人中心界面
图5-9投资方个人中心界面
5.3管理员功能实现
5.3.1项目管理
项目管理:可查看每个创业项目详情与评论信息,并可进行查询、重置、删除和审核操作。可查看每个项目投资详情并可进行删除和审核等操作。可对投资方留言进行查看、审核回复。项目管理-创业项目列表如图5-10所示。项目管理-投资方留言列表如图5-11所示。
图5-10项目管理-创业项目列表界面
图5-11项目管理-投资方留言列表界面
5.3.2投资方信息管理
投资方信息管理:可对行业类别进行添加、删除、编辑和查看详情等操作。可对投资方信息进行添加、删除、编辑和查看详情及评论等操作。可对创业者留言进行添加、删除、编辑、审核和查看详情等操作。可对投资申请进行添加、删除、编辑、审核和查看详情等操作。可对资金发放进行添加、删除、编辑、审核和查看详情等操作。
投资方管理-创业者留言列表如图5-12所示。投资方管理-投资方信息列表如图5-13所示。
图5-12投资方管理-创业者留言列表界面
图5-13投资方管理-投资方信息列表界面
5.3.3 公共管理
公共管理:轮播图和网站公告管理:可以查看轮播图详情,以及查询、重置、删除、添加等操作,留言板管理:对所有的留言板信息进行审核回复。
留言板列表如图5-14所示。
图5-14留言板列表界面
5.3.4资讯管理
资讯管理:包含新闻资讯跟资讯分类,新闻资讯可查看资讯详情与评论,以及查询、重置、删除、添加等操作。资讯分类:可查看资讯分类详情,以及查询、重置、删除、添加等操作。资讯分类列表如图5-15所示。
图5-15资讯分类列表界面
6系统测试
6.1系统测试目标
为了保证“springboot创业融资平台”的质量,使其能够稳定的运行,并排除其可能存在的未知隐患。解除软件可能存在的故障,理清楚测试与纠错的关系,如图5-1所示。

图6-1测试与纠错信息流程
6.2系统功能测试
通过对系统中所含的主要实体对象及其功能操作进行测试用例设计。以下是详细的测试:
表6-1用户注册登录测试表
用户注册登录测试用例:
| 用例说明 | 测试目的 | 测试步骤 | 预期结果 | 输出结果 | 通过情况 |
| 用户注册、登录 | 测试用户正确注册、登录 |
| 用户注册成功,登录成功 | 结果输出符合预期 | 通过 |
表6-2申请投资测试表
申请投资测试用例:
| 用例说明 | 测试目的 | 测试步骤 | 预期结果 | 输出结果 | 通过情况 |
| 申请投资 | 测试用户申请投资 |
| 用户申请成功,生成投资项目信息 | 结果输出符合预期 | 通过 |
表6-3留言板留言测试表
留言板留言测试用例:
| 用例说明 | 测试目的 | 测试步骤 | 预期结果 | 输出结果 | 通过情况 |
| 留言板留言 | 测试用户留言板留言 |
| 生成新的留言记录 | 结果输出符合预期 | 通过 |
表6-4创业项目添加测试表
创业项目添加测试用例:
| 用例说明 | 测试目的 | 测试步骤 | 预期结果 | 输出结果 | 通过情况 |
| 创业项目添加测试 | 测试创业者添加创业项目信息 |
| 创业项目添加成功 | 结果输出符合预期 | 通过 |
表6-4网站公告删除测试表
网站公告删除测试用例:
| 用例说明 | 测试目的 | 测试步骤 | 预期结果 | 输出结果 | 通过情况 |
| 网站公告删除测试 | 测试网站公告 |
| 网站公共删除成功,前端不在展示该公告信息 | 结果输出符合预期 | 通过 |
6.3测试结果总结
经过上述测试,并对测试数据结果综合分析。springboot创业融资平台具备简便,数据透明等特性。完全符合酒店管理系统的要求。
结 论
在本文的创业融资平台的设计与实现过程中,通过Spring Boot框架的深入应用,我们不仅成功构建了一个高效、可扩展的在线管理平台,还从中得出了几点重要的结论。
本研究揭示了在当今创业涌流中,采用微服务架构(如Spring Boot)能够有效提升系统的模块化与可维护性,加速了开发流程,降低了系统间的耦合度。通过实践,我们验证了微服务在创业融资平台中的适用性,为解决传统单体架构难以应对的高并发、快速迭代等问题提供了有力支持。
在创新方面,本系统集成了智能推荐算法,根据用户历史行为数据提供个性化的度假方案,显著提升了用户体验。这一创新点不仅解决了传统创业服务中信息匹配效率低下的问题,还为用户带来了更加贴心、精准的服务体验。
尽管本系统取得了一定的成果,但仍存在一些不足。例如,系统在处理大规模用户数据时,性能优化尚需进一步提升,以确保在高并发场景下仍能保持稳定运行。此外,系统的用户反馈机制尚不完善,未来应增加更多的用户交互功能,以便及时收集并响应用户需求。
展望未来,我们将继续优化系统性能,引入更先进的云计算和大数据技术,以支撑更大规模的用户访问。同时,加强用户数据分析与挖掘,为度假产品的精准营销和个性化服务提供更多科学依据。此外,还将不断完善用户反馈机制,构建一个更加开放、互动、以用户为中心的创业融资平台。
参考文献
- 夏正勇,陈谦民,习海旭,等.基于SpringBoot的移动图书馆的系统设计与实现[J].现代信息科技,2024,8(19):80-85+90.
- [2]赵浩奇,吴爱萍,孙庆云,等.基于SpringBoot的脑动脉瘤辅助诊断系统设计与实现[J].现代信息科技,2024,8(18):103-107.
- 王玉魁,李峰,乔彦超,等.基于Springboot与Vue框架的仓储管理系统设计与实现[J].河南科技,2024,51(18):29-33.
- [4]陆向艳,柳明洲.基于SpringBoot的农产品溯源系统的设计与实现[J].电脑知识与技术,2024,20(26):35-36+39.
[5]石健.“城投+产投”:地方融资平台“二次创业”[N].中国经营报,2024-09-02(B07).
[6]曹浩,黎杰,谢彬.基于SpringBoot+Vue的桂林龙胜各族自治县的旅游信息系统设计[J].现代信息科技,2024,8(16):102-106.
[7]李明鹭,李莹莹,杨军.“双易贷”带动就业创业“大民生”[N].双鸭山日报,2024-07-17(001).
[8]周贤武.基于SpringBoot的高并发网购平台系统及其后台管理的设计与实现[D].哈尔滨理工大学,2024.
[9]周晓睿,杨磊,宋欣,等.基于Vue+Springboot的中草药病害识别管理系统研究[J].天津农学院学报,2024,31(03):78-84.
[10]周玉光,赵海涛,樊继慧,等.基于SpringBoot的消防站健身房系统建设[J].电脑知识与技术,2024,20(17):75-77.
[11]Das K K .Decision Behaviour Analysis of Entrepreneurial Financing in Venture Capital Investments Using the Crowdlending Platform[J].NMIMS Management Review,2024,32(2):137-151.
[12]杜胜雪,王金岩,陈书君,等.基于SpringBoot在线教育网站设计[J].电脑知识与技术,2024,20(15):35-37.
[13]申俊涵,冯雪.识季、红布林今年均获新融资奢侈品电商平台创业机会几何?[N].21世纪经济报道,2023-10-23(010).
[14]朱卓.厚植创业生态,感召五洲英才[N].安徽日报,2023-08-04(001).
[15]夏筱月,刘轶涵,赵玉玟,等.“双创”背景下金融科技助力大学生创业融资的创新研究[J].科技和产业,2023,23(07):157-162.
[16]Marinko S ,Beata G ,Volodymyr P .A decision-making support model for financing start-up projects by venture capital funds on a crowdfunding platform[J].Journal of Business Research,2023,158
[17]Saleh A A .Crowdfunding Platforms as a Substitute Financing Source for Young Saudi Entrepreneurs: Empirical Evidence[J].SAGE Open,2022,12(3):
[18]张金秋,潘泽江.大学生创业现状及对策研究——以生命周期理论为研究视角[J].黑龙江人力资源和社会保障,2022,(12):134-136.
[19]Cleantech startup 'Greener' raises further £113K, supercharging growth of sustainability matchmaking platform[J].M2 Presswire,2022,
[20]Cambridge Future Tech (CFT) Closes Financing Round to Support Deep Tech Venture Platform and Robust Deal Pipeline[J].M2 Presswire,2022,
[21]李冠.众筹在大学生创业融资中的作用研究[J].中国外资,2021,(17):103-104.
[22]贾海涛,基于智能大数据的创新创业融资信息共享服务平台.四川省,电子科技大学,2020-06-12.
[23]InsightFinder Inc.; AIOps Platform Startup InsightFinder Completes $2M Pre-Series A Financing[J].Journal of Engineering,2020,
致 谢
在撰写这篇关于Spring Boot创业融资平台的毕业论文之际,我满怀感激之情,回顾整个设计过程,从最初的构想到最终的成果,每一步都凝聚了众多人的支持与帮助。
设计的初衷源于对当今全球创业浪潮的推动下,创业活动成为经济活力和社会进步的重要源泉的深刻洞察,我希望能通过技术的力量,为游客提供更加便捷、智能的创业体验。这个过程中,我经历了从无到有的创造,从理论学习到实践应用的跨越,不仅深化了我对Spring Boot框架的理解,也锻炼了我的系统设计与编程能力。
在此,我要特别感谢我的导师。是您的悉心指导与无私奉献,让我在迷茫时找到了方向,在困难前鼓起了勇气。您的严谨治学态度和深厚学术造诣,不仅让我在学术上受益匪浅,更在人生道路上树立了榜样。
我也要感谢我的同学们。我们一起熬夜讨论,一起解决难题,你们的陪伴与帮助,让我的大学生活更加丰富多彩。在团队合作中,我学会了沟通与协作,也更加珍惜这份难得的友谊。
我还要感谢我的家人。是你们的理解与支持,让我能够全身心地投入到学业中。在我遇到挫折时,是你们给予我温暖与鼓励,让我有勇气面对一切挑战。
展望未来,我将带着这份感激与收获,继续前行。我深知,技术的道路永无止境,我将不断学习新知识,掌握新技能,为未来的工作与研究打下坚实的基础。同时,我也希望能将所学应用到更广阔的领域,为社会的发展贡献自己的一份力量。
免费领取项目源码,请关注❥点赞收藏并私信博主,谢谢~

被折叠的 条评论
为什么被折叠?



