springboot颐养居家养老管理系统
摘 要
随着社会的快速发展和人口老龄化趋势的加剧,居家养老已成为越来越多老年人的选择。然而,传统的居家养老方式面临着诸多问题,如服务质量不稳定、信息不对称等。为了解决这些问题,提高居家养老的服务质量和效率,我们开发了一款基于Spring Boot的颐养居家养老管理系统。
本文首先介绍了居家养老的背景和意义,然后阐述了系统的总体架构和设计思路。接着,我们详细介绍了系统的各个功能模块,包括用户管理、公益活动管理、活动报名管理、文化服务管理、服务预约管理、心理健康管理、心理预约管理、社区维修管理、维修预约管理、社区医疗管理、医疗预约管理、商品信息管理、商品订单管理、订单配送管理、系统管理、公告消息管理、资源管理等。每个模块都采用了Spring Boot框架进行开发,实现了前后端分离、数据持久化、安全性控制等功能。
在系统的实现过程中,我们充分考虑了用户的使用习惯和需求,采用了简洁明了的界面设计和易于操作的功能设置。同时,我们还引入了人工智能技术,对用户的行为和需求进行智能分析和预测,为用户提供更加个性化、精准化的服务。
最后,我们对系统的功能和性能进行了测试,并对测试结果进行了分析。测试结果表明,该系统具有良好的稳定性和可扩展性,能够满足不同规模居家养老机构的需求。我们相信,这款颐养居家养老管理系统将为老年人提供更加优质、便捷的居家养老服务,同时也为居家养老产业的发展注入新的动力。
关键词:颐养居家养老管理系统;SpringBoot框架;MySQL数据库
Abstract
With the rapid development of society and the increasing trend of population aging, home-based care has become the choice of more and more elderly people. However, the traditional home care mode faces many problems, such as unstable service quality and information asymmetry. In order to solve these problems and improve the service quality and efficiency of home-based care, we have developed a Spring Boot-based home-based care management system.
This paper first introduces the background and significance of home care, and then expounds the overall architecture and design idea of the system. Then, we introduced the system of each function module, including user management, management of public welfare activities, registration management, cultural service management, service management, mental health management, psychological reservation management, community maintenance management, maintenance management, community medical management, medical appointment management, commodity information management, commodity order management, order distribution management, system management, announcement message management, resource management, etc. Each module is developed using the Spring Boot framework, realizing the front and rear end separation, data persistence, security control and other functions.
In the implementation of the system, we fully consider the user's habits and needs, using a simple and clear interface design and easy to operate function Settings. At the same time, we have also introduced artificial intelligence technology to conduct intelligent analysis and prediction of users' behaviors and needs, so as to provide users with more personalized and accurate services.
Finally, we tested the function and performance of the system and analyzed the test results. The test results show that the system has good stability and scalability, and can meet the needs of home care institutions of different sizes. We believe that this home care management system will provide more high-quality and convenient home care services for the elderly, and will also inject new impetus into the development of the home care industry.
Key words: home care management system; SpringBoot framework; MySQL database
目 录
随着社会的不断发展和人口老龄化趋势的加剧,居家养老已成为越来越多老年人的选择。然而,传统的居家养老管理方式存在着诸多问题,如信息不透明、服务不及时、管理不规范等,这些问题不仅影响了老年人的生活质量,也给家庭和社会带来了很大的负担。因此,开发一款基于Spring Boot的颐养居家养老管理系统,具有非常重要的现实意义和社会价值。
研究背景方面,随着信息技术的快速发展,智能化、信息化已成为现代社会发展的重要趋势。在养老领域,智能化、信息化的应用不仅可以提高管理效率,优化服务流程,还可以更好地满足老年人的多样化需求。而Spring Boot作为一种轻量级、易于上手的Java开发框架,具有高度的灵活性和可扩展性,非常适合用于开发居家养老管理系统。
研究意义方面,基于Spring Boot的颐养居家养老管理系统的设计与实现,不仅可以提高居家养老的管理效率和服务质量,还可以推动养老服务的智能化、信息化发展。具体来说,该系统可以实现老年人信息的集中管理、服务需求的快速响应、健康数据的实时监测等功能,从而为老年人提供更加便捷、高效、个性化的养老服务。同时,该系统还可以为政府和社会组织提供数据支持,帮助他们更好地了解老年人的需求和问题,制定更加科学合理的养老政策和服务方案。
综上所述,基于Spring Boot的颐养居家养老管理系统的设计与实现,具有重要的研究背景和意义。通过该系统的应用和推广,可以为老年人提供更加优质、便捷的居家养老服务,推动养老事业的可持续发展。
-
- 国内外研究现状
颐养居家养老管理系统作为一种新兴的养老服务模式,近年来在国内外均受到了广泛的关注和研究。
在国内,随着老龄化社会的到来,居家养老已成为老年人主要的养老方式之一。因此,颐养居家养老管理系统的研究与实践也日益受到重视。目前,国内的研究主要集中在系统设计、功能实现、服务模式等方面。例如,有些研究探讨了如何通过技术手段提高居家养老的服务质量和效率,有些则着重于研究如何满足老年人的个性化需求,提高他们的生活质量和幸福感。
在国际上,颐养居家养老管理系统也备受关注。一些发达国家由于老龄化程度较高,早已开始了对居家养老管理系统的研究与实践。目前,国际上的研究主要集中在技术应用、服务创新、政策制定等方面。例如,有些研究探讨了如何通过智能化技术提高居家养老的服务水平和效率,有些则着重于研究如何通过政策引导和社会参与来推动居家养老服务的发展。
综上所述,颐养居家养老管理系统作为一种新兴的养老服务模式,在国内外均受到了广泛的关注和研究。未来,随着技术的不断进步和社会老龄化程度的加深,颐养居家养老管理系统将会得到更加深入的研究和应用,为老年人提供更加优质、便捷的养老服务。
本文共分为七章,章节内容安排如下:
第一章:引言。此章节对所设计和实现的系统的背景与意义以及国内外研究现状进行详细的论述以及说明,同时进行了论文整体框架的结构的简要介绍。
第二章:相关技术介绍。主要对本系统使用的相关技术和开发环境进行介绍。
第三章:系统需求分析。章节所做的主要的工作是对系统进行了技术、经济和操作方面可行性的分析;对系统实行了总体功能的需求、用例分析。
第四章:系统概要设计。主要是对系统的功能结构进行设计,并对系统数据库的概念结构以及物理结构的设计进行了分析。
第五章:系统实现。根据系统功能的划分,分别的对系统所需要实现的前台客户功能和后台管理员功能进行了分析和说明。
第六章:系统测试。主要对系统的部分界面进行测试并对主要功能进行测试
第七章:总结。
MySQL数据库已经成为网络上的一种强大的工具,它能够支持多个用户,并且能够根据客户端和服务端的需求进行调整,从而满足不同的需求。在这里,服务端和客户端只是一种软件上的概念,而我们所使用的计算机硬件则没有必要完全相互匹配。
MySQL作为一个受到广泛认可的开放式DBMS,其卓越的性能和易于操作的特性,以及其在多种操作环境中的灵活性,让其成为了众多AP中的首选。此外,MySQL还具有良好的跨平台性,让软件开发人员对其有着极高的评价。与传统的关联式数据库系统形式大相径庭,MySQL拥有一套完善的数据库管理策略,以确保用户的安全、稳健、安全。MySQL具备良好的容错、安全、快速、稳健的特点,使得MySQL成为一款极其实用的数据库管理工具。
MySQL拥有一种独特的权限分配机制,可以根据用户的身份和业务逻辑,为用户提供更多的选择,从而大大提高了MySQL的安全性和完整性,远超过其他关系型数据库。
MySQL具有强大的功能,能够处理各种数据类型,包括动态、静态、多种语言,从而使用户能够轻松访问多种数据。
MySQL具有多种功能[3],它能够支持多种平台的开发,并且支持多种编程语言[4],使得用户能够轻松访问和使用MySQL数据库。
-
- Tomcat服务器
Tomcat是一种免费的服务器,它能够有效地处理大量的网络访问,特别是在访问量较少的情况下。当将Tomcat安装在电脑上时,它能够自动分析前端HTML页面的请求,从而提高网络的性能。事实上,Tomcat是对Apache的一种延伸[5],但它与Apache之间的关系更加紧密,因为它们在不同的进程中运行,而且它们之间也有着自己的独立性。
Tomcat最初由戴维森公司开发,但随着时间的推移,它逐渐成长为一个开源的服务器。后来,它被sun公司转移到了Apache软件基金会。最近,tomcat服务器经过了大量的重新设计和改进,使它更加易于使用。Tomcat负载均衡算法是一种免费的开源软件,它能够有效地减少硬件投入,使得它在一般的小企业网站服务器上的应用更加灵活,并且能够满足当前和未来的扩展需求。此外,它还可以作为其他类似应用的参考,以提高效率。
-
- Java语言
Java语言在计算机的程序应用过程当中,属于非常重要的一个应用软件,因为它的性能比较高,而且能够应用在多重领域当中,因此该程序在计算机的软件程序应用当中的范围相对来说是比较广泛的。而从专业的技术角度来说,Java程序的应用的实用性也是非常强的,这是因为它与传统的C语言或C++相比没有太大的基本结构的变化,也就是说它的语法结构是相对单一,而且具有稳定的特性,还有更重要的一点是Java程序语言的基本参考对象就是C语言,所以他的程序编写并不是很复杂,而且还能够起到优化工作效率提升系统设计本身的基础功能的作用,因此他也就受到了非常广泛的程序员们的青睐。
在此次进行系统设计开发研究的过程当中,还发现Java程序语言之所以能够得到市场上更多用户的好评和青睐,其根本原因在于他能够具备各种语言的自身独特优点的展现,也就是说它的兼容性是常强的。因此,我们因此我们可以说在任何一个程序的开发过程当中,Java语言程序的应用是必不可少的,它他在程序员进行改动的时候,哪怕是一个程序字母的改动,都可以形成一种特定的程序,这是 Java程序,非常独特的另一个优点。不仅如此,Java源程序的可移植性也是非常大,而且它的安全系数很高,能够通过不同方式进行移植到其他程序当中,而且可以兼容不同程序的系统,在运行的过程当中,其安全系数也是非常强的,能够确保用户在使用网络的过程当中去确保网络的安全,而正是基于这样的可移植性,为程序员节约了很多的系统语言程序的开发设计的时间,这是非常难得的一种自有优势。
Spring框架是一个由SpringBoot公司发布的开放式框架,旨在通过其可扩展的特性来支持多种不同的编码方式。尽管Spring框架不会影响任何特定的编码方式,但其出色的性价比和可扩展性,已经成为EJB(EnterpriseSpringBootBeans)框架的重要组成部分,并且一直得到越来越多的人的青睐。Spring框架不仅可以有效地支撑开发,而且还可以充分利用其独有的控制反转功能,以及支撑多种持久性技术,从而将托管对象的生命周期变得更加容易,并且可以支撑声明性的事务处理,还可以支撑多种Web框架,从而有效地推动开发。Spring框架拥有强大的IOC功能,可以轻松地实现SpringBoot对象的调度与操作,从而更好地支持项目的运行。此外,Spring还支持将SpringBoot对象的生命周期进行可视化,以实现更加灵活的调度与操作。Spring框架提供了一种新的、高效的容器设计工具,它能够根据XML文件和AOP注解的指引,从多个源中提取和组织相应的参数,从而实现多种功能。此外,它还提供了一种面向服务的框架,它能够根据用户的需求,自动调整参数,从而提高系统的效率和性能。Spring框架的AOP框架具有强大的功能,可以满足各种复杂的需求[10]。尽管AspectJ框架的性能不及其他框架,但是Spring AOP的出色表现使其在各种应用场景中都具有出色的表现,例如:在事务处理、远程控制、网络安全、数据共享、文件共享、网络安全协议、网络安全协议。SpringBoot的事务处理框架提供了一种灵活的方式,可以将不同的内容、不同的时间段、不同的类型的数据进行处理,并且可以将这些处理结果存储到一起。此外,Spring还提供了一系列的事务模型。Spring的事务框架提供了一种灵活的方式,它允许用户根据需要调整事务的类型,例如XML、SpringBoot等,同时还支持快速的消息传输、缓冲等特性,从而有效地帮助开发者处理日益增长的数据需求。这款应用程序拥有强大的功能,能够兼容各种常见的数据处理框架,包括SpringBoot、iBATS/MyBATIs、Hibernate、SpringBoot)数据对象(JDO)、Apache OJB、Apache Cayne等,并能够将其与Spring的事务处理功能相结合,从而实现更加高效的数据处理。SpringMVC最初的目的是要替代StrutsWeb框架,因此,开发者决定将其与传统的web页面框架进行改造,使其能更好地支持用户的访问。这样,SpringMVC就能更好地支持用户的需求,从而提高web页面的性能。
本次设计基于Java语言,采用的是MySQL数据库和SpringBoot框架实现,总体的可行性共分为以下三个方面。
颐养居家养老管理系统在数据的存储上使用的MySQL数据库,在颐养居家养老管理系统开发中使用了Java、HTML、Tomcat、SpringBoot这些开发工具的使用,能够给我们的编写工作带来许多的便利。系统使用B/S模式进行开发,使系统的可扩展性和维护性更佳,减少系统配置代码,简化编程代码,目前B/S模式是目前最受欢迎的一种模式。
在项目上使用的工具大部分都是是当下流行开源免费的,所以在开发前期,开发时用于项目的经费将会大大降低,不会让开发该软件在项目启动期受到经费的影响,所以经济上还是可行的。尽量用最少的花费去满足用户的需求。省下经费用于人工费,以及设备费用。将在无纸化,高效率的道路上越走越远。
本系统实现功能的操作很简单,普通电脑的常见配置就可以运行本软件,并且只要粗通电脑使用的基本常识就可以流畅的使用本软件。电脑具备连接互联网的能力,并且可以正常访问系统,并不需要操作者有什么高超的能力,只需了解业务流程,并且按照专业知识进行正确操作即可,所以颐养居家养老管理系统具备操作可行性。
颐养居家养老管理系统的功能主要分为普通用户和后台管理员一共两个角色,其中普通用户账号可自行在系统前台注册登录。
普通用户功能描述:
前台的主要功能模块有首页、公告消息、养老资讯、公益活动、文化服务、心理健康、社区维修、社区医疗、商品信息、我的账户、个人中心。普通用户登录系统后不仅可以查看公告消息,浏览养老资讯、公益活动信息等 ,系统还会按偏好和需求可以对公益活动信息申请报名,还可以查看商品信息并购买商品;同样在社区维修页面可以申请维修预约等功能。在个人中心界面还可以对个人首页、活动报名、服务预约、心理预约、维修预约、医疗预约、商品订单、订单配送、收藏等信息进行管理。普通用户用例图如下所示。

图3-1 普通用户用例图
管理员功能描述:
管理员的后台管理模块主要是对前台的注册普通用户和后台的员工用户及管理员进行账户信息管理,同时对系统的用户、公益活动管理、活动报名管理、文化服务管理、服务预约管理、心理健康管理、心理预约管理、社区维修管理、维修预约管理、社区医疗管理、医疗预约管理、商品信息管理、商品订单管理、订单配送管理、系统管理、公告消息管理、资源管理(养老资讯、资讯分类)等信息进行管理。管理员用例图如下所示。

图3-2 管理员用例图
在系统前台中主要实现的是对颐养居家养老管理系统中信息的浏览、评论,普通用户主要对公益活动、商品信息、社区医疗和社区维修等信息的申请报名、购买商品、申请预约和申请维修等。
(1)用户评论功能,主要实现了是用户在线评论,管理员后台回复评论的功能。用例说明如下表所示:
表3-1 用户评论用例说明
| 用例名称 | 用户评论 |
| 角色 | 用户 |
| 用例说明 | 用户发布评论内容 |
| 前置条件 | 用户登录到系统当中 |
| 后置条件 | 用户发布评论内容 |
| 基本事件流 | 1.进入系统登录界面 2.点击用户评论进入用户评论界面 3.点击发布评论内容,输入评论信息 4.点击提交按钮,发布评论内容 |
| 扩展流程 | 3a.用户没有登录成功 |
| 异常事件流 | 3a.输入评论内容为空 |
| 其他 | 无 |
(2)公益活动在线报名功能,本功能是系统的主要功能,主要是实现公益活动在线报名功能,用例说明如下标所示:
表3-2 公益活动在线报名用例说明
| 用例名称 | 公益活动申请报名 |
| 角色 | 普通用户 |
| 用例说明 | 对公益活动进行查看、申请报名 |
| 前置条件 | 用户登录到系统当中 |
| 后置条件 | 用户提交报名信息 |
| 基本事件流 | 1.进入系统登录界面 2.点击公益活动,选择某条公益活动信息查看详情 3.点击报名按钮,填写报名信息 4.点击提交按钮,完成报名 |
| 扩展流程 | 3a.用户没有登录成功 |
| 异常事件流 | 3a.输入报名内容为空 |
| 其他 | 无 |
(3)商品购买功能,本功能是系统的主要功能,主要是实现商品购买功能,用例说明如下标所示:
表3-3 商品信息用例说明
| 用例名称 | 商品购买 |
| 角色 | 普通用户 |
| 用例说明 | 对商品信息进行查看、购买 |
| 前置条件 | 用户登录到系统当中 |
| 后置条件 | 用户提交购买信息 |
| 基本事件流 | 1.进入系统登录界面 2.点击商品信息,选择某条商品信息查看详情 3.点击购买按钮,填写购买信息 4.点击提交按钮,完成购买 |
| 扩展流程 | 3a.现在支付方式 |
| 异常事件流 | 3a.用户没有登录 |
| 其他 | 无 |
(4)社区维修预约功能,本功能是系统的主要功能,主要是实现社区维修预约功能,用例说明如下标所示:
表3-4 社区维修用例说明
| 用例名称 | 社区维修预约 |
| 角色 | 普通用户 |
| 用例说明 | 对社区维修进行查看、预约 |
| 前置条件 | 用户登录到系统当中 |
| 后置条件 | 用户提交预约信息 |
| 基本事件流 | 1.进入系统登录界面 2.点击社区维修,选择某条社区维修信息查看详情 3.点击预约按钮,填写预约信息 4.点击提交按钮,完成预约 |
| 扩展流程 | 3a.用户没有登录成功 |
| 异常事件流 | 3a.输入预约内容为空 |
| 其他 | 无 |
(5)后台管理员主要实现了是对系统用户、公益活动管理、活动报名管理、文化服务管理、服务预约管理、心理健康管理、心理预约管理、社区维修管理、维修预约管理、社区医疗管理、医疗预约管理、商品信息管理、商品订单管理、订单配送管理、系统管理、公告消息管理、资源管理的增删改查操作。后台的用例说明如下表所示:
表3-5 后台管理用例说明
| 用例名称 | 后台管理 |
| 角色 | 管理员 |
| 用例说明 | 对前端显示的信息进行管理 |
| 前置条件 | 管理员登录进入后台管理页面 |
| 后置条件 | 无 |
| 基本事件流 | 1.管理员登录进入后台管理界面 2.点击左侧选择相应功能板块 3.选择所要操作的数据 4.点击选择的内容进行增加/删除/修改/查找 5.点击立即保存按钮 |
| 扩展流程 | 无 |
| 异常事件流 | 无 |
| 其他 | 无 |
基于上面功能性需求,非功能需求也是项目设计中一项必定考虑进去的工作。首先是安全性的需求,其次是界面必须整洁干净等的需求,再次就是可扩展的需求。除此之外,还有性能、可靠性的需求,具体可以表示在如下表所示。
表3-6 系统非功能需求表
| 安全性 | 只有在登录的情况下才能进行相应功能的操作,尤其是管理员功能,防止后台管理端被侵入。 |
| 可靠性 | 系统的功能明确,操作一个功能,不会产生额外的功能影响,操作功能的时候,页面也不会造成额外的跳动。 |
| 性能 | 响应时间尽量控制在1s之内 |
| 可扩展性 | 后台采用自顶向下的开发,利于开发与维护。 |
| 易用性 | 在用户使用上,尽可能使用更多的图标进行功能暗示,提供系统的可阅读性和友好性。 |
| 可维护性 | 前台和后台注意按照模块化开发的原则,对于组件和方法的保存和包的建立需要遵照一般开发原则,以利于维护。 |
安全性对每一个系统来说都是非常重要的。安全性很好的系统可以保护企业的信息和用户的信息不被窃取。提高系统的安全性不仅是对用户的负责,更是对企业的负责。尤其针对于颐养居家养老管理系统来说,必须要有很好的安全性来保障整个系统。
系统具有对使用者有权限控制,针对角色的不通限制使用者的权限,以此来确保系统的安全性。
数据库中的数据是从外界输入的,当数据的输入时,由于种种原因,输入的数据会无效,或者是脏数据。因此,怎样保证输入的数据符合规定,成为了数据库系统,尤其是多用户的关系数据库系统首要关注的问题。
因此,在写入数据库时,要保证数据完整性、正确性和一致性。
对系统的数据流进行分析,系统的使用者分为二类,前端用户和后台管理员。管理员权限下的工作流程主要为:管理员通过系统界面提供登录按钮并点击,转入管理员登录界面,并在界面上填入相应的管理员账户和管理员密码,进入管理员权限下的后台系统,并且在系统左侧导航条设置了相应的操作功能。
用户权限下的工作流程主要为:用户通过系统提供的注册功能,进行身份验证并注册,而后在登录界面进行个人身份验证,并且进入用户的个人后台界面,并进行相应的操作。
颐养居家养老管理系统的业务流程如下图所示。

图3-4 系统业务流程图
颐养居家养老管理系统总体分为普通用户模块和管理员模块。两个模块表现上是分别独立存在,但是访问的数据库是一样的。每一个模块的功能都是根据先前完成的需求分析,并查阅相关资料后整理制作的。
综上所述,系统功能结构图如下图所示。

图4-1 系统功能结构图
根据前面的数据流程图,结合系统的功能模块设计,设计出符合系统的各信息实体。
系统E-R图如下图所示。

图4-2 系统E-R图
数据库是颐养居家养老管理系统的数据处理的基础,也是为界面数据的展示与存储的关键。颐养居家养老管理系统的数据库表如下。
表access_token (登陆访问时长)
| 编号 | 名称 | 数据类型 | 长度 | 小数位 | 允许空值 | 主键 | 默认值 | 说明 |
| 1 | token_id | int | 10 | 0 | N | Y | 临时访问牌ID | |
| 2 | token | varchar | 64 | 0 | Y | N | 临时访问牌 | |
| 3 | info | text | 65535 | 0 | Y | N | ||
| 4 | maxage | int | 10 | 0 | N | N | 2 | 最大寿命:默认2小时 |
| 5 | create_time | timestamp | 19 | 0 | N | N | CURRENT_TIMESTAMP | 创建时间: |
| 6 | update_time | timestamp | 19 | 0 | N | N | CURRENT_TIMESTAMP | 更新时间: |
| 7 | user_id | int | 10 | 0 | N | N | 0 | 用户编号: |
| 编号 | 名称 | 数据类型 | 长度 | 小数位 | 允许空值 | 主键 | 默认值 | 说明 |
| 1 | article_id | mediumint | 8 | 0 | N | Y | 文章id:[0,8388607] | |
| 2 | title | varchar | 125 | 0 | N | Y | 标题:[0,125]用于文章和html的title标签中 | |
| 3 | type | varchar | 64 | 0 | N | N | 0 | 文章分类:[0,1000]用来搜索指定类型的文章 |
| 4 | hits | int | 10 | 0 | N | N | 0 | 点击数:[0,1000000000]访问这篇文章的人次 |
| 5 | praise_len | int | 10 | 0 | N | N | 0 | 点赞数 |
| 6 | create_time | timestamp | 19 | 0 | N | N | CURRENT_TIMESTAMP | 创建时间: |
| 7 | update_time | timestamp | 19 | 0 | N | N | CURRENT_TIMESTAMP | 更新时间: |
| 8 | source | varchar | 255 | 0 | Y | N | 来源:[0,255]文章的出处 | |
| 9 | url | varchar | 255 | 0 | Y | N | 来源地址:[0,255]用于跳转到发布该文章的网站 | |
| 10 | tag | varchar | 255 | 0 | Y | N | 标签:[0,255]用于标注文章所属相关内容,多个标签用空格隔开 | |
| 11 | content | longtext | 2147483647 | 0 | Y | N | 正文:文章的主体内容 | |
| 12 | img | varchar | 255 | 0 | Y | N | 封面图 | |
| 13 | description | text | 65535 | 0 | Y | N | 文章描述 |
| 编号 | 名称 | 数据类型 | 长度 | 小数位 | 允许空值 | 主键 | 默认值 | 说明 |
| 1 | type_id | smallint | 5 | 0 | N | Y | 分类ID:[0,10000] | |
| 2 | display | smallint | 5 | 0 | N | N | 100 | 显示顺序:[0,1000]决定分类显示的先后顺序 |
| 3 | name | varchar | 16 | 0 | N | N | 分类名称:[2,16] | |
| 4 | father_id | smallint | 5 | 0 | N | N | 0 | 上级分类ID:[0,32767] |
| 5 | description | varchar | 255 | 0 | Y | N | 描述:[0,255]描述该分类的作用 | |
| 6 | icon | text | 65535 | 0 | Y | N | 分类图标: | |
| 7 | url | varchar | 255 | 0 | Y | N | 外链地址:[0,255]如果该分类是跳转到其他网站的情况下,就在该URL上设置 | |
| 8 | create_time | timestamp | 19 | 0 | N | N | CURRENT_TIMESTAMP | 创建时间: |
| 9 | update_time | timestamp | 19 | 0 | N | N | CURRENT_TIMESTAMP | 更新时间: |
| 编号 | 名称 | 数据类型 | 长度 | 小数位 | 允许空值 | 主键 | 默认值 | 说明 |
| 1 | auth_id | int | 10 | 0 | N | Y | 授权ID: | |
| 2 | user_group | varchar | 64 | 0 | Y | N | 用户组: | |
| 3 | mod_name | varchar | 64 | 0 | Y | N | 模块名: | |
| 4 | table_name | varchar | 64 | 0 | Y | N | 表名: | |
| 5 | page_title | varchar | 255 | 0 | Y | N | 页面标题: | |
| 6 | path | varchar | 255 | 0 | Y | N | 路由路径: | |
| 7 | position | varchar | 32 | 0 | Y | N | 位置: | |
| 8 | mode | varchar | 32 | 0 | N | N | _blank | 跳转方式: |
| 9 | add | tinyint | 3 | 0 | N | N | 1 | 是否可增加: |
| 10 | del | tinyint | 3 | 0 | N | N | 1 | 是否可删除: |
| 11 | set | tinyint | 3 | 0 | N | N | 1 | 是否可修改: |
| 12 | get | tinyint | 3 | 0 | N | N | 1 | 是否可查看: |
| 13 | field_add | text | 65535 | 0 | Y | N | 添加字段: | |
| 14 | field_set | text | 65535 | 0 | Y | N | 修改字段: | |
| 15 | field_get | text | 65535 | 0 | Y | N | 查询字段: | |
| 16 | table_nav_name | varchar | 500 | 0 | Y | N | 跨表导航名称: | |
| 17 | table_nav | varchar | 500 | 0 | Y | N | 跨表导航: | |
| 18 | option | text | 65535 | 0 | Y | N | 配置: | |
| 19 | create_time | timestamp | 19 | 0 | N | N | CURRENT_TIMESTAMP | 创建时间: |
| 20 | update_time | timestamp | 19 | 0 | N | N | CURRENT_TIMESTAMP | 更新时间: |
| 编号 | 名称 | 数据类型 | 长度 | 小数位 | 允许空值 | 主键 | 默认值 | 说明 |
| 1 | collect_id | int | 10 | 0 | N | Y | 收藏ID: | |
| 2 | user_id | int | 10 | 0 | N | N | 0 | 收藏人ID: |
| 3 | source_table | varchar | 255 | 0 | Y | N | 来源表: | |
| 4 | source_field | varchar | 255 | 0 | Y | N | 来源字段: | |
| 5 | source_id | int | 10 | 0 | N | N | 0 | 来源ID: |
| 6 | title | varchar | 255 | 0 | Y | N | 标题: | |
| 7 | img | varchar | 255 | 0 | Y | N | 封面: | |
| 8 | create_time | timestamp | 19 | 0 | N | N | CURRENT_TIMESTAMP | 创建时间: |
| 9 | update_time | timestamp | 19 | 0 | N | N | CURRENT_TIMESTAMP | 更新时间: |
| 编号 | 名称 | 数据类型 | 长度 | 小数位 | 允许空值 | 主键 | 默认值 | 说明 |
| 1 | comment_id | int | 10 | 0 | N | Y | 评论ID: | |
| 2 | user_id | int | 10 | 0 | N | N | 0 | 评论人ID: |
| 3 | reply_to_id | int | 10 | 0 | N | N | 0 | 回复评论ID:空为0 |
| 4 | content | longtext | 2147483647 | 0 | Y | N | 内容: | |
| 5 | nickname | varchar | 255 | 0 | Y | N | 昵称: | |
| 6 | avatar | varchar | 255 | 0 | Y | N | 头像地址:[0,255] | |
| 7 | create_time | timestamp | 19 | 0 | N | N | CURRENT_TIMESTAMP | 创建时间: |
| 8 | update_time | timestamp | 19 | 0 | N | N | CURRENT_TIMESTAMP | 更新时间: |
| 9 | source_table | varchar | 255 | 0 | Y | N | 来源表: | |
| 10 | source_field | varchar | 255 | 0 | Y | N | 来源字段: | |
| 11 | source_id | int | 10 | 0 | N | N | 0 | 来源ID: |
| 编号 | 名称 | 数据类型 | 长度 | 小数位 | 允许空值 | 主键 | 默认值 | 说明 |
| 1 | community_healthcare_id | int | 10 | 0 | N | Y | 社区医疗ID | |
| 2 | medical_name | varchar | 64 | 0 | Y | N | 医疗名称 | |
| 3 | medical_type | varchar | 64 | 0 | Y | N | 医疗类型 | |
| 4 | service_time | varchar | 64 | 0 | Y | N | 服务时间 | |
| 5 | medical_location | varchar | 64 | 0 | Y | N | 医疗地点 | |
| 6 | cover_photo | varchar | 255 | 0 | Y | N | 封面图片 | |
| 7 | medical_content | longtext | 2147483647 | 0 | Y | N | 医疗内容 | |
| 8 | create_time | datetime | 19 | 0 | N | N | CURRENT_TIMESTAMP | 创建时间 |
| 9 | update_time | timestamp | 19 | 0 | N | N | CURRENT_TIMESTAMP | 更新时间 |
| 编号 | 名称 | 数据类型 | 长度 | 小数位 | 允许空值 | 主键 | 默认值 | 说明 |
| 1 | community_maintenance_id | int | 10 | 0 | N | Y | 社区维修ID | |
| 2 | repair_title | varchar | 64 | 0 | Y | N | 维修标题 | |
| 3 | maintenance_type | varchar | 64 | 0 | Y | N | 维修类型 | |
| 4 | repair_time | varchar | 64 | 0 | Y | N | 维修时间 | |
| 5 | repair_location | varchar | 64 | 0 | Y | N | 维修地点 | |
| 6 | maintenance_instructions | varchar | 64 | 0 | Y | N | 维修须知 | |
| 7 | cover_photo | varchar | 255 | 0 | Y | N | 封面图片 | |
| 8 | maintenance_content | longtext | 2147483647 | 0 | Y | N | 维修内容 | |
| 9 | create_time | datetime | 19 | 0 | N | N | CURRENT_TIMESTAMP | 创建时间 |
| 10 | update_time | timestamp | 19 | 0 | N | N | CURRENT_TIMESTAMP | 更新时间 |
| 编号 | 名称 | 数据类型 | 长度 | 小数位 | 允许空值 | 主键 | 默认值 | 说明 |
| 1 | cultural_services_id | int | 10 | 0 | N | Y | 文化服务ID | |
| 2 | service_title | varchar | 64 | 0 | Y | N | 服务标题 | |
| 3 | service_type | varchar | 64 | 0 | Y | N | 服务类型 | |
| 4 | service_time | varchar | 64 | 0 | Y | N | 服务时间 | |
| 5 | service_notice | varchar | 64 | 0 | Y | N | 服务须知 | |
| 6 | cover_photo | varchar | 255 | 0 | Y | N | 封面图片 | |
| 7 | service_content | longtext | 2147483647 | 0 | Y | N | 服务内容 | |
| 8 | create_time | datetime | 19 | 0 | N | N | CURRENT_TIMESTAMP | 创建时间 |
| 9 | update_time | timestamp | 19 | 0 | N | N | CURRENT_TIMESTAMP | 更新时间 |
| 编号 | 名称 | 数据类型 | 长度 | 小数位 | 允许空值 | 主键 | 默认值 | 说明 |
| 1 | event_registration_id | int | 10 | 0 | N | Y | 活动报名ID | |
| 2 | activity_name | varchar | 64 | 0 | Y | N | 活动名称 | |
| 3 | activity_type | varchar | 64 | 0 | Y | N | 活动类型 | |
| 4 | activity_time | datetime | 19 | 0 | Y | N | 活动时间 | |
| 5 | event_location | varchar | 64 | 0 | Y | N | 活动地点 | |
| 6 | regular_users | int | 10 | 0 | Y | N | 0 | 普通用户 |
| 7 | user_name | varchar | 64 | 0 | Y | N | 用户姓名 | |
| 8 | registration_time | datetime | 19 | 0 | Y | N | 报名时间 | |
| 9 | create_time | datetime | 19 | 0 | N | N | CURRENT_TIMESTAMP | 创建时间 |
| 10 | update_time | timestamp | 19 | 0 | N | N | CURRENT_TIMESTAMP | 更新时间 |
| 编号 | 名称 | 数据类型 | 长度 | 小数位 | 允许空值 | 主键 | 默认值 | 说明 |
| 1 | hits_id | int | 10 | 0 | N | Y | 点赞ID: | |
| 2 | user_id | int | 10 | 0 | N | N | 0 | 点赞人: |
| 3 | create_time | timestamp | 19 | 0 | N | N | CURRENT_TIMESTAMP | 创建时间: |
| 4 | update_time | timestamp | 19 | 0 | N | N | CURRENT_TIMESTAMP | 更新时间: |
| 5 | source_table | varchar | 255 | 0 | Y | N | 来源表: | |
| 6 | source_field | varchar | 255 | 0 | Y | N | 来源字段: | |
| 7 | source_id | int | 10 | 0 | N | N | 0 | 来源ID: |
表maintenance_appointment (维修预约)
| 编号 | 名称 | 数据类型 | 长度 | 小数位 | 允许空值 | 主键 | 默认值 | 说明 |
| 1 | maintenance_appointment_id | int | 10 | 0 | N | Y | 维修预约ID | |
| 2 | repair_title | varchar | 64 | 0 | Y | N | 维修标题 | |
| 3 | maintenance_type | varchar | 64 | 0 | Y | N | 维修类型 | |
| 4 | repair_time | varchar | 64 | 0 | Y | N | 维修时间 | |
| 5 | repair_location | varchar | 64 | 0 | Y | N | 维修地点 | |
| 6 | maintenance_instructions | varchar | 64 | 0 | Y | N | 维修须知 | |
| 7 | regular_users | int | 10 | 0 | Y | N | 0 | 普通用户 |
| 8 | user_name | varchar | 64 | 0 | Y | N | 用户姓名 | |
| 9 | user_phone_number | varchar | 64 | 0 | Y | N | 用户电话 | |
| 10 | appointment_time | datetime | 19 | 0 | Y | N | 预约时间 | |
| 11 | appointment_address | varchar | 64 | 0 | Y | N | 预约地址 | |
| 12 | create_time | datetime | 19 | 0 | N | N | CURRENT_TIMESTAMP | 创建时间 |
| 13 | update_time | timestamp | 19 | 0 | N | N | CURRENT_TIMESTAMP | 更新时间 |
| 编号 | 名称 | 数据类型 | 长度 | 小数位 | 允许空值 | 主键 | 默认值 | 说明 |
| 1 | medical_appointment_id | int | 10 | 0 | N | Y | 医疗预约ID | |
| 2 | medical_name | varchar | 64 | 0 | Y | N | 医疗名称 | |
| 3 | medical_type | varchar | 64 | 0 | Y | N | 医疗类型 | |
| 4 | service_time | varchar | 64 | 0 | Y | N | 服务时间 | |
| 5 | medical_location | varchar | 64 | 0 | Y | N | 医疗地点 | |
| 6 | regular_users | int | 10 | 0 | Y | N | 0 | 普通用户 |
| 7 | user_name | varchar | 64 | 0 | Y | N | 用户姓名 | |
| 8 | appointment_time | datetime | 19 | 0 | Y | N | 预约时间 | |
| 9 | create_time | datetime | 19 | 0 | N | N | CURRENT_TIMESTAMP | 创建时间 |
| 10 | update_time | timestamp | 19 | 0 | N | N | CURRENT_TIMESTAMP | 更新时间 |
| 编号 | 名称 | 数据类型 | 长度 | 小数位 | 允许空值 | 主键 | 默认值 | 说明 |
| 1 | mental_health_id | int | 10 | 0 | N | Y | 心理健康ID | |
| 2 | psychological_title | varchar | 64 | 0 | Y | N | 心理标题 | |
| 3 | psychological_type | varchar | 64 | 0 | Y | N | 心理类型 | |
| 4 | service_time | varchar | 64 | 0 | Y | N | 服务时间 | |
| 5 | service_location | varchar | 64 | 0 | Y | N | 服务地点 | |
| 6 | service_notice | varchar | 64 | 0 | Y | N | 服务须知 | |
| 7 | service_content | text | 65535 | 0 | Y | N | 服务内容 | |
| 8 | cover_photo | varchar | 255 | 0 | Y | N | 封面图片 | |
| 9 | create_time | datetime | 19 | 0 | N | N | CURRENT_TIMESTAMP | 创建时间 |
| 10 | update_time | timestamp | 19 | 0 | N | N | CURRENT_TIMESTAMP | 更新时间 |
| 编号 | 名称 | 数据类型 | 长度 | 小数位 | 允许空值 | 主键 | 默认值 | 说明 |
| 1 | notice_id | mediumint | 8 | 0 | N | Y | 公告id: | |
| 2 | title | varchar | 125 | 0 | N | N | 标题: | |
| 3 | content | longtext | 2147483647 | 0 | Y | N | 正文: | |
| 4 | create_time | timestamp | 19 | 0 | N | N | CURRENT_TIMESTAMP | 创建时间: |
| 5 | update_time | timestamp | 19 | 0 | N | N | CURRENT_TIMESTAMP | 更新时间: |
| 编号 | 名称 | 数据类型 | 长度 | 小数位 | 允许空值 | 主键 | 默认值 | 说明 |
| 1 | order_delivery_id | int | 10 | 0 | N | Y | 订单配送ID | |
| 2 | product_name | varchar | 64 | 0 | Y | N | 商品名称 | |
| 3 | product_type | varchar | 64 | 0 | Y | N | 商品类型 | |
| 4 | commodity_price | int | 10 | 0 | Y | N | 0 | 商品价格 |
| 5 | regular_users | int | 10 | 0 | Y | N | 0 | 普通用户 |
| 6 | user_name | varchar | 64 | 0 | Y | N | 用户姓名 | |
| 7 | user_phone_number | varchar | 64 | 0 | Y | N | 用户电话 | |
| 8 | user_address | varchar | 64 | 0 | Y | N | 用户地址 | |
| 9 | purchase_time | date | 10 | 0 | Y | N | 购买时间 | |
| 10 | purchase_quantity | int | 10 | 0 | Y | N | 0 | 购买数量 |
| 11 | purchase_amount | varchar | 64 | 0 | Y | N | 购买金额 | |
| 12 | delivery_time | datetime | 19 | 0 | Y | N | 配送时间 | |
| 13 | delivery_status | varchar | 64 | 0 | Y | N | 配送状态 | |
| 14 | create_time | datetime | 19 | 0 | N | N | CURRENT_TIMESTAMP | 创建时间 |
| 15 | update_time | timestamp | 19 | 0 | N | N | CURRENT_TIMESTAMP | 更新时间 |
| 编号 | 名称 | 数据类型 | 长度 | 小数位 | 允许空值 | 主键 | 默认值 | 说明 |
| 1 | praise_id | int | 10 | 0 | N | Y | 点赞ID: | |
| 2 | user_id | int | 10 | 0 | N | N | 0 | 点赞人: |
| 3 | create_time | timestamp | 19 | 0 | N | N | CURRENT_TIMESTAMP | 创建时间: |
| 4 | update_time | timestamp | 19 | 0 | N | N | CURRENT_TIMESTAMP | 更新时间: |
| 5 | source_table | varchar | 255 | 0 | Y | N | 来源表: | |
| 6 | source_field | varchar | 255 | 0 | Y | N | 来源字段: | |
| 7 | source_id | int | 10 | 0 | N | N | 0 | 来源ID: |
| 8 | status | bit | 1 | 0 | N | N | 1 | 点赞状态:1为点赞,0已取消 |
| 编号 | 名称 | 数据类型 | 长度 | 小数位 | 允许空值 | 主键 | 默认值 | 说明 |
| 1 | product_information_id | int | 10 | 0 | N | Y | 商品信息ID | |
| 2 | product_name | varchar | 64 | 0 | Y | N | 商品名称 | |
| 3 | product_type | varchar | 64 | 0 | Y | N | 商品类型 | |
| 4 | commodity_price | int | 10 | 0 | Y | N | 0 | 商品价格 |
| 5 | product_images | varchar | 255 | 0 | Y | N | 商品图片 | |
| 6 | product_introduction | longtext | 2147483647 | 0 | Y | N | 商品简介 | |
| 7 | create_time | datetime | 19 | 0 | N | N | CURRENT_TIMESTAMP | 创建时间 |
| 8 | update_time | timestamp | 19 | 0 | N | N | CURRENT_TIMESTAMP | 更新时间 |
| 编号 | 名称 | 数据类型 | 长度 | 小数位 | 允许空值 | 主键 | 默认值 | 说明 |
| 1 | product_orders_id | int | 10 | 0 | N | Y | 商品订单ID | |
| 2 | product_name | varchar | 64 | 0 | Y | N | 商品名称 | |
| 3 | product_type | varchar | 64 | 0 | Y | N | 商品类型 | |
| 4 | commodity_price | int | 10 | 0 | Y | N | 0 | 商品价格 |
| 5 | regular_users | int | 10 | 0 | Y | N | 0 | 普通用户 |
| 6 | user_name | varchar | 64 | 0 | Y | N | 用户姓名 | |
| 7 | user_phone_number | varchar | 64 | 0 | Y | N | 用户电话 | |
| 8 | user_address | varchar | 64 | 0 | Y | N | 用户地址 | |
| 9 | purchase_time | date | 10 | 0 | Y | N | 购买时间 | |
| 10 | purchase_quantity | int | 10 | 0 | Y | N | 0 | 购买数量 |
| 11 | purchase_amount | varchar | 64 | 0 | Y | N | 购买金额 | |
| 12 | pay_state | varchar | 16 | 0 | N | N | 未支付 | 支付状态 |
| 13 | pay_type | varchar | 16 | 0 | Y | N | 支付类型: 微信、支付宝、网银 | |
| 14 | create_time | datetime | 19 | 0 | N | N | CURRENT_TIMESTAMP | 创建时间 |
| 15 | update_time | timestamp | 19 | 0 | N | N | CURRENT_TIMESTAMP | 更新时间 |
表psychological_appointment (心理预约)
| 编号 | 名称 | 数据类型 | 长度 | 小数位 | 允许空值 | 主键 | 默认值 | 说明 |
| 1 | psychological_appointment_id | int | 10 | 0 | N | Y | 心理预约ID | |
| 2 | psychological_title | varchar | 64 | 0 | Y | N | 心理标题 | |
| 3 | psychological_type | varchar | 64 | 0 | Y | N | 心理类型 | |
| 4 | service_time | varchar | 64 | 0 | Y | N | 服务时间 | |
| 5 | service_location | varchar | 64 | 0 | Y | N | 服务地点 | |
| 6 | service_notice | varchar | 64 | 0 | Y | N | 服务须知 | |
| 7 | regular_users | int | 10 | 0 | Y | N | 0 | 普通用户 |
| 8 | user_name | varchar | 64 | 0 | Y | N | 用户姓名 | |
| 9 | user_phone_number | varchar | 64 | 0 | Y | N | 用户电话 | |
| 10 | appointment_time | datetime | 19 | 0 | Y | N | 预约时间 | |
| 11 | create_time | datetime | 19 | 0 | N | N | CURRENT_TIMESTAMP | 创建时间 |
| 12 | update_time | timestamp | 19 | 0 | N | N | CURRENT_TIMESTAMP | 更新时间 |
表public_welfare_activities (公益活动)
| 编号 | 名称 | 数据类型 | 长度 | 小数位 | 允许空值 | 主键 | 默认值 | 说明 |
| 1 | public_welfare_activities_id | int | 10 | 0 | N | Y | 公益活动ID | |
| 2 | activity_name | varchar | 64 | 0 | Y | N | 活动名称 | |
| 3 | activity_type | varchar | 64 | 0 | Y | N | 活动类型 | |
| 4 | activity_time | datetime | 19 | 0 | Y | N | 活动时间 | |
| 5 | event_location | varchar | 64 | 0 | Y | N | 活动地点 | |
| 6 | event_cover | varchar | 255 | 0 | Y | N | 活动封面 | |
| 7 | event_introduction | longtext | 2147483647 | 0 | Y | N | 活动简介 | |
| 8 | create_time | datetime | 19 | 0 | N | N | CURRENT_TIMESTAMP | 创建时间 |
| 9 | update_time | timestamp | 19 | 0 | N | N | CURRENT_TIMESTAMP | 更新时间 |
| 编号 | 名称 | 数据类型 | 长度 | 小数位 | 允许空值 | 主键 | 默认值 | 说明 |
| 1 | regular_users_id | int | 10 | 0 | N | Y | 普通用户ID | |
| 2 | user_name | varchar | 64 | 0 | Y | N | 用户姓名 | |
| 3 | user_gender | varchar | 64 | 0 | Y | N | 用户性别 | |
| 4 | user_age | varchar | 64 | 0 | Y | N | 用户年龄 | |
| 5 | examine_state | varchar | 16 | 0 | N | N | 已通过 | 审核状态 |
| 6 | user_id | int | 10 | 0 | N | N | 0 | 用户ID |
| 7 | create_time | datetime | 19 | 0 | N | N | CURRENT_TIMESTAMP | 创建时间 |
| 8 | update_time | timestamp | 19 | 0 | N | N | CURRENT_TIMESTAMP | 更新时间 |
| 编号 | 名称 | 数据类型 | 长度 | 小数位 | 允许空值 | 主键 | 默认值 | 说明 |
| 1 | service_appointment_id | int | 10 | 0 | N | Y | 服务预约ID | |
| 2 | service_title | varchar | 64 | 0 | Y | N | 服务标题 | |
| 3 | service_type | varchar | 64 | 0 | Y | N | 服务类型 | |
| 4 | service_time | varchar | 64 | 0 | Y | N | 服务时间 | |
| 5 | service_notice | varchar | 64 | 0 | Y | N | 服务须知 | |
| 6 | regular_users | int | 10 | 0 | Y | N | 0 | 普通用户 |
| 7 | user_name | varchar | 64 | 0 | Y | N | 用户姓名 | |
| 8 | appointment_time | datetime | 19 | 0 | Y | N | 预约时间 | |
| 9 | create_time | datetime | 19 | 0 | N | N | CURRENT_TIMESTAMP | 创建时间 |
| 10 | update_time | timestamp | 19 | 0 | N | N | CURRENT_TIMESTAMP | 更新时间 |
| 编号 | 名称 | 数据类型 | 长度 | 小数位 | 允许空值 | 主键 | 默认值 | 说明 |
| 1 | slides_id | int | 10 | 0 | N | Y | 轮播图ID: | |
| 2 | title | varchar | 64 | 0 | Y | N | 标题: | |
| 3 | content | varchar | 255 | 0 | Y | N | 内容: | |
| 4 | url | varchar | 255 | 0 | Y | N | 链接: | |
| 5 | img | varchar | 255 | 0 | Y | N | 轮播图: | |
| 6 | hits | int | 10 | 0 | N | N | 0 | 点击量: |
| 7 | create_time | timestamp | 19 | 0 | N | N | CURRENT_TIMESTAMP | 创建时间: |
| 8 | update_time | timestamp | 19 | 0 | N | N | CURRENT_TIMESTAMP | 更新时间: |
| 编号 | 名称 | 数据类型 | 长度 | 小数位 | 允许空值 | 主键 | 默认值 | 说明 |
| 1 | upload_id | int | 10 | 0 | N | Y | 上传ID | |
| 2 | name | varchar | 64 | 0 | Y | N | 文件名 | |
| 3 | path | varchar | 255 | 0 | Y | N | 访问路径 | |
| 4 | file | varchar | 255 | 0 | Y | N | 文件路径 | |
| 5 | display | varchar | 255 | 0 | Y | N | 显示顺序 | |
| 6 | father_id | int | 10 | 0 | Y | N | 0 | 父级ID |
| 7 | dir | varchar | 255 | 0 | Y | N | 文件夹 | |
| 8 | type | varchar | 32 | 0 | Y | N | 文件类型 |
| 编号 | 名称 | 数据类型 | 长度 | 小数位 | 允许空值 | 主键 | 默认值 | 说明 |
| 1 | user_id | mediumint | 8 | 0 | N | Y | 用户ID:[0,8388607]用户获取其他与用户相关的数据 | |
| 2 | state | smallint | 5 | 0 | N | N | 1 | 账户状态:[0,10](1可用|2异常|3已冻结|4已注销) |
| 3 | user_group | varchar | 32 | 0 | Y | N | 所在用户组:[0,32767]决定用户身份和权限 | |
| 4 | login_time | timestamp | 19 | 0 | N | N | CURRENT_TIMESTAMP | 上次登录时间: |
| 5 | phone | varchar | 11 | 0 | Y | N | 手机号码:[0,11]用户的手机号码,用于找回密码时或登录时 | |
| 6 | phone_state | smallint | 5 | 0 | N | N | 0 | 手机认证:[0,1](0未认证|1审核中|2已认证) |
| 7 | username | varchar | 16 | 0 | N | N | 用户名:[0,16]用户登录时所用的账户名称 | |
| 8 | nickname | varchar | 16 | 0 | Y | N | 昵称:[0,16] | |
| 9 | password | varchar | 64 | 0 | N | N | 密码:[0,32]用户登录所需的密码,由6-16位数字或英文组成 | |
| 10 | | varchar | 64 | 0 | Y | N | 邮箱:[0,64]用户的邮箱,用于找回密码时或登录时 | |
| 11 | email_state | smallint | 5 | 0 | N | N | 0 | 邮箱认证:[0,1](0未认证|1审核中|2已认证) |
| 12 | avatar | varchar | 255 | 0 | Y | N | 头像地址:[0,255] | |
| 13 | open_id | varchar | 255 | 0 | Y | N | 针对获取用户信息字段 | |
| 14 | create_time | timestamp | 19 | 0 | N | N | CURRENT_TIMESTAMP | 创建时间: |
| 15 | vip_level | varchar | 255 | 0 | Y | N | 会员等级 | |
| 16 | vip_discount | double | 11 | 2 | Y | N | 0.00 | 会员折扣 |
| 编号 | 名称 | 数据类型 | 长度 | 小数位 | 允许空值 | 主键 | 默认值 | 说明 |
| 1 | group_id | mediumint | 8 | 0 | N | Y | 用户组ID:[0,8388607] | |
| 2 | display | smallint | 5 | 0 | N | N | 100 | 显示顺序:[0,1000] |
| 3 | name | varchar | 16 | 0 | N | N | 名称:[0,16] | |
| 4 | description | varchar | 255 | 0 | Y | N | 描述:[0,255]描述该用户组的特点或权限范围 | |
| 5 | source_table | varchar | 255 | 0 | Y | N | 来源表: | |
| 6 | source_field | varchar | 255 | 0 | Y | N | 来源字段: | |
| 7 | source_id | int | 10 | 0 | N | N | 0 | 来源ID: |
| 8 | register | smallint | 5 | 0 | Y | N | 0 | 注册位置: |
| 9 | create_time | timestamp | 19 | 0 | N | N | CURRENT_TIMESTAMP | 创建时间: |
| 10 | update_time | timestamp | 19 | 0 | N | N | CURRENT_TIMESTAMP | 更新时间: |
首页主要分别展示各个模块的最新动态,浏览者可以很清楚地看到不同模块的最新更新内容。并且系统首页每个部分可以跳转到相对应的模块,方便浏览者选择感兴趣的地方。
前端首页载入流程图如下所示。

图5-1 首页载入流程
前端首页如下图所示。

图5-2 首页界面
在登录界面中输入用户名+密码,然后选择相应的角色,点击“登录”按钮,系统会在用户数据库表中匹配相应用户的帐户,如果用户名+密码正确,则会登录到系统中每个用户的主管理界面,否则会提示相应的信息,如果是忘记了密码,请返回登录界面。
用户登录流程图如下所示。

图5-3登录流程图
系统登录界面如下所示。

图5-4系统登录界面
登录的逻辑代码如下所示。
/**
* 登录
* @param data
* @param httpServletRequest
* @return
*/
@PostMapping("login")
public Map<String, Object> login(@RequestBody Map<String, String> data, HttpServletRequest httpServletRequest) {
log.info("[执行登录接口]");
String username = data.get("username");
String email = data.get("email");
String phone = data.get("phone");
String password = data.get("password");
List resultList = null;
Map<String, String> map = new HashMap<>();
if(username != null && "".equals(username) == false){
map.put("username", username);
resultList = service.select(map, new HashMap<>()).getResultList();
}
else if(email != null && "".equals(email) == false){
map.put("email", email);
resultList = service.select(map, new HashMap<>()).getResultList();
}
else if(phone != null && "".equals(phone) == false){
map.put("phone", phone);
resultList = service.select(map, new HashMap<>()).getResultList();
}else{
return error(30000, "账号或密码不能为空");
}
if (resultList == null || password == null) {
return error(30000, "账号或密码不能为空");
}
//判断是否有这个用户
if (resultList.size()<=0){
return error(30000,"用户不存在");
}
User byUsername = (User) resultList.get(0);
Map<String, String> groupMap = new HashMap<>();
groupMap.put("name",byUsername.getUserGroup());
List groupList = userGroupService.select(groupMap, new HashMap<>()).getResultList();
if (groupList.size()<1){
return error(30000,"用户组不存在");
}
UserGroup userGroup = (UserGroup) groupList.get(0);
//查询用户审核状态
if (!StringUtils.isEmpty(userGroup.getSourceTable())){
String sql = "select examine_state from "+ userGroup.getSourceTable() +" WHERE user_id = " + byUsername.getUserId();
String res = String.valueOf(service.runCountSql(sql).getSingleResult());
if (res==null){
return error(30000,"用户不存在");
}
if (!res.equals("已通过")){
return error(30000,"该用户审核未通过");
}
}
//查询用户状态
if (byUsername.getState()!=1){
return error(30000,"用户非可用状态,不能登录");
}
String md5password = service.encryption(password);
if (byUsername.getPassword().equals(md5password)) {
// 存储Token到数据库
AccessToken accessToken = new AccessToken();
accessToken.setToken(UUID.randomUUID().toString().replaceAll("-", ""));
accessToken.setUser_id(byUsername.getUserId());
tokenService.save(accessToken);
// 返回用户信息
JSONObject user = JSONObject.parseObject(JSONObject.toJSONString(byUsername));
user.put("token", accessToken.getToken());
JSONObject ret = new JSONObject();
ret.put("obj",user);
return success(ret);
} else {
return error(30000, "账号或密码不正确");
}
}
当用户点击右上角“注册”按钮的时候,当填写上自己的账号+密码+确认密码+昵称+邮箱+身份等信息后再点击“注册”按钮后将会先验证输入的有没有空数据,再次验证密码和确认密码是否是一样的,最后验证输入的账户名和数据库表中已经注册的账户名是否重复,只有都验证没问题后即可注册成功。
用户注册流程图如下所示。

图5-5 用户注册流程
用户注册界面展示图如下所示。

图5-6 用户注册界面
注册关键代码如下所示。
/**
* 注册
* @param user
* @return
*/
@PostMapping("register")
public Map<String, Object> signUp(@RequestBody User user) {
// 查询用户
Map<String, String> query = new HashMap<>();
Map<String,Object> map = JSON.parseObject(JSON.toJSONString(user));
query.put("username",user.getUsername());
List list = service.selectBaseList(service.select(query, new HashMap<>()));
if (list.size()>0){
return error(30000, "用户已存在");
}
map.put("password",service.encryption(String.valueOf(map.get("password"))));
service.insert(map);
return success(1);
}
当您完成/注册操作,您就能够更新您的个人资料。您需要确保您的inputname值能够和您所属的实体类型的参数完全对应。当您更新您的个人资料时,您的账号密码应当保持完整,不能出现任何错误。您需要确保您的账号密码是唯一的,才能继续使用。
密码修改流程图如下所示。

图5-7密码修改流程图
密码修改界面如下所示。

图5-8密码修改界面
密码修改的逻辑代码如下所示。
/**
* 修改密码
* @param data
* @param request
* @return
*/
@PostMapping("change_password")
public Map<String, Object> change_password(@RequestBody Map<String, String> data, HttpServletRequest request){
// 根据Token获取UserId
String token = request.getHeader("x-auth-token");
Integer userId = tokenGetUserId(token);
// 根据UserId和旧密码获取用户
Map<String, String> query = new HashMap<>();
String o_password = data.get("o_password");
query.put("user_id" ,String.valueOf(userId));
query.put("password" ,service.encryption(o_password));
int count = service.selectBaseCount(service.count(query, service.readConfig(request)));
if(count > 0){
// 修改密码
Map<String,Object> form = new HashMap<>();
form.put("password",service.encryption(data.get("password")));
service.update(query,service.readConfig(request),form);
return success(1);
}
return error(10000,"密码修改失败!");
}
-
-
- 公益活动模块
-
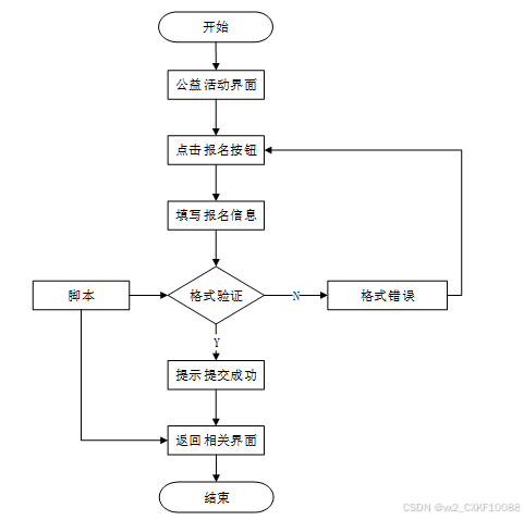
普通用户通过“公益活动”详情的“报名”按钮填写公益活动的报名详细资料。
公益活动在线报名功能整体流程:普通用户浏览公益活动时,同时会显示公益活动报名的状态,系统会在其显示详细信息的页面时便会判断公益活动的状态,若公益活动状态为可报名,则会显示报名的链接按钮。在用户点击报名按钮时,会先通过拦截器判断用户是否登录,若未登录,会跳转至登录页面,提示用户先登录,若为登录用户就会跳转至填写报名信息的页面,填写好报名信息之后,点击提交按钮,报名成功之后返回提示信息,告知用户报名成功。
公益活动在线报名流程图如下图所示。

图5-9公益活动在线报名流程图
公益活动详情界面如下图所示。

图5-10公益活动详情界面
当前台普通用户点击颐养居家养老管理系统中导航栏上的“文化服务”后将会进入到“文化服务”列表的界面,然后选择想要查看的服务项目信息,点击进入到详细界面,在详细界面可以查看服务标题、服务类型、服务时间、服务须知、服务内容等信息,普通用户可以进行预约服务和收藏等操作,文化服务详情界面如下图所示。

图5-11文化服务详情界面
预约服务界面如下图所示:

图5-12文化服务预约界面
-
-
- 心理健康模块
-
当前台普通用户点击颐养居家养老管理系统中导航栏上的“心理健康”后将会进入到“心理健康”列表的界面,然后选择想要查看的心理健康信息,点击进入到详细界面,在详细界面可以查看心理标题、心理类型、服务时间、服务地点、服务内容等信息,普通用户可以进行预约和收藏等操作,心理健康详情界面如下图所示。

图5-13心理健康详情界面
预约心理健康界面如下图所示:

图5-14 预约心理健康界面
-
-
- 社区医疗模块
-
当前台普通用户点击颐养居家养老管理系统中导航栏上的“社区医疗”后将会进入到“社区医疗”列表的界面,然后选择想要查看的社区医疗信息,点击进入到详细界面,在详细界面可以查看医疗名称、医疗类型、服务时间、医疗地点、封面图片、医疗内容等信息,普通用户可以进行预约社区医疗和收藏等操作,社区医疗详情界面如下图所示。

图5-15 社区医疗详情界面
预约社区医疗界面如下图所示:

图5-16 预约社区医疗界面
当前台普通用户点击颐养居家养老管理系统中导航栏上的“商品信息”后将会进入到“商品信息”列表的界面,然后选择想要查看的商品信息,点击进入到详细界面,在详细界面可以查看包括商品名称、商品类型、商品价格、商品图片、商品简介等信息,普通用户可以进行购买和收藏等操作,商品信息详情界面如下图所示。

图5-17商品信息详情界面
购买商品界面如下图所示:

图5-18 购买商品界面
普通用户点击右上角“个人中心”模块,可以查看和管理个人相关的信息和任务,包括个人首页、活动报名、服务预约、心理预约、维修预约、医疗预约、商品订单、订单配送、收藏功能模块。
普通用户个人中心界面如下图所示。

图5-19普通用户个人中心界面
后台管理员在“系统用户”这一菜单中可以对注册的普通用户和管理员进行管控,系统用户管理界面如下图所示。

图5-20系统用户管理界面
-
-
- 公益活动管理模块
-
管理员可发布、编辑和删除公益活动信息,包括活动名称、时间、类型、地点、内容等。管理员可以根据需要设置活动的参与条件、报名方式等,促进社区公益活动的顺利开展,添加公益活动界面如下图所示。

图5-21添加公益活动管理界面
-
-
- 文化活动管理模块
-
管理员可发布文化服务相关信息,如服务标题、服务类型、服务时间、服务须知等信息。管理员可以根据社区需求制定文化服务计划,提升社区居民的文化生活品质,添加文化活动界面如下图所示。

图5-22添加文化活动界面
-
-
- 心理健康管理模块
-
管理员可发布心理健康相关的资讯和活动,提供心理咨询服务。管理员可以定期更新心理健康知识,帮助社区居民提升心理素质和应对压力的能力,添加心理健康界面如下图所示。

图5-23添加心理健康界面
-
-
- 社区维修管理模块
-
管理员负责社区公共设施和环境的维修工作,包括维修标题、维修类型、维修时间、维修地点、维修须知等信息。管理员需要确保维修工作的及时性和质量,添加维修信息界面如下图所示。

图5-24添加维修信息界面
管理员点击“系统管理”菜单可以对系统的轮播图进行管理,查看到系统中的所有轮播图信息,对已经存在的轮播图,管理员可以修改,也可以发布新的轮播图信息。轮播图管理界面如下所示。

图5-25轮播图管理界面
管理员点击“公告消息管理”菜单可以对系统的公告信息进行管理,查看到系统中的所有系统公告信息,对已经存在的系统公告,管理员可以修改,也可以发布新的系统公告信息。系统公告管理界面如下所示。

图5-26公告消息管理界面
对任何系统而言,测试都是必不可少的环节,测试可以发现系统存在的很多问题,所有的软件上线之前,都应该进行充足的测试之后才能保证上线后不会Bug频发,或者是功能不满足需求等问题的发生。下面分别从单元测试,功能测试和用例测试来对系统进行测试以保证系统的稳定性和可靠性。
下表是系统登录功能测试用例,检测了用户名和密码的不同的输入情况,观察系统的响应情况。得出该功能达到了设计目标。
表6-1 系统登录功能测试用例
| 功能描述 | 用于系统登录 | |
| 测试目的 | 检测登录时的合法性检查 | |
| 测试数据以及操作 | 预期结果 | 实际结果 |
| 输入的用户名和密码带有非法字符 | 提示用户名或者密码错误 | 与预期结果一致 |
| 输入的用户名或者密码为空 | 提示用户名或者密码错误 | 与预期结果一致 |
| 输入的用户名和密码不存在 | 提示用户名或者密码错误 | 与预期结果一致 |
| 输入正确的用户名和密码 | 登录成功 | 与预期结果一致 |
下表是注册功能测试用例,检测了各种数据的输入情况,观察系统的响应情况。得出该功能达到了设计目标。
表6-2 注册功能测试用例
| 功能描述 | 用于用户注册 | |
| 测试目的 | 检测用户注册时的合法性检查 | |
| 测试数据以及操作 | 预期结果 | 实际结果 |
| 输入的手机号不合法 | 提示请输入正确的手机号码 | 与预期结果一致 |
| 输入的字段为空 | 提示必填项不能为空 | 与预期结果一致 |
| 输入的密码少于6位 | 提示密码必须为6-12位 | 与预期结果一致 |
| 输入的密码大于12位 | 提示密码必须为6-12位 | 与预期结果一致 |
下表是公益活动管理功能的测试用例,检测了公益活动管理中对公益活动的添加,删除,修改,查询操作是否成功运行。观察系统的响应情况,得出该功能也达到了设计目标,系统运行正确。
前置条件;用户登录系统。
表6-3 公益活动管理的测试用例
| 功能描述 | 用于公益活动管理 | |
| 测试目的 | 检测公益活动管理时的各种操作的运行情况 | |
| 测试数据以及操作 | 预期结果 | 实际结果 |
| 点击添加公益活动,必填项合法输入,点击保存 | 提示添加成功 | 与预期结果一致 |
| 点击添加公益活动,必填项输入不合法,点击保存 | 提示必填项不能为空 | 与预期结果一致 |
| 点击修改公益活动,必填项修改为空,点击保存 | 提示必填项不能为空 | 与预期结果一致 |
| 点击修改公益活动,必填项输入不合法,点击保存 | 提示必填项不能为空 | 与预期结果一致 |
| 点击删除公益活动,选择公益活动删除 | 提示删除成功 | 与预期结果一致 |
| 点击搜索公益活动,输入存在的公益活动名 | 查找出公益活动 | 与预期结果一致 |
| 点击搜索公益活动,输入不存在的公益活动名 | 不显示公益活动 | 与预期结果一致 |
下表是针对商品信息的购买商品功能的测试用例,检测了商品购买的操作是否成功运行。观察系统的响应情况,得出该功能也达到了设计目标,系统运行正确。
前置条件;用户登录系统。
表6-5 商品购买的测试用例
| 功能描述 | 用于商品中心购买商品 | |
| 测试目的 | 检测商品购买时各种操作的情况 | |
| 测试数据以及操作 | 预期结果 | 实际结果 |
| 未填写购买数量,点击提交 | 提示请填写购买数量 | 与预期结果一致 |
| 未输入购买时间,点击提交 | 提示请输入购买时间 | 与预期结果一致 |
| 未输入支付金额,点击提交 | 提示请输入支付金额 | 与预期结果一致 |
通过对颐养居家养老管理系统的调试,能够检测颐养居家养老管理系统的稳定性,为颐养居家养老管理系统正式运行、稳定运行提供了可预测性的维护备案。能够帮助使用者熟悉整个颐养居家养老管理系统,并对颐养居家养老管理系统可能出现的错误有所了解。本章节提供了部分调试用例及调试日志,可以帮助使用者解决简单的错误问题,也加深了开发者对于此框架下的颐养居家养老管理系统编写的了解度,为后期开发者顺利完成颐养居家养老管理系统、发布颐养居家养老管理系统提供了非常大的帮助。
在开发本颐养居家养老管理系统之前我胸有成竹,觉得很简单,但在实际的开发中我发现了自身的很多问题,许多编程思想和方法都还没有掌握牢靠,比如AJAX 、SpringBoot、Mybatis等许多Java Web开发技术,通过开发这个颐养居家养老管理系统我成长了很多,懂得了做什么事情都要脚踏实地,不能眼高手低,在本次颐养居家养老管理系统的开发中我逐渐掌握逐渐熟悉的技术。
本次颐养居家养老管理系统的开发中我还学会了很多,例如良好的编程思想和完善的规划思想。在着手编程之前需要罗列出程序框架的大概,脑海中构建出程序的主题框架。做好这一步我们才能胸有成竹的经行开发项目。当设计框架了熟于心之后,需要思考本次编程所需的主要知识点和技术点,并充分学习。如此一来项目的开发才能循序渐进、如丝般顺滑,长久以往就能养成良好的开发习惯。一个程序好不好还要看出的bug多不多,如果在项目完成前做好bug的查验与预防可能发生的事故才能保证程序的稳定长久性运行。如果项目在完工后出现各种问题自己,那么在进入社会后,不仅会给公司团队带来麻烦和增加不必要的工作,还会导致客户流失,公司对自己的评价下降。
在本次项目中我也暴露了诸多问题。对于SpringBoot的编程知识有所欠缺,环境配置和算法上出现诸多问题,时常导致项目运行出错,或者目标的实现有问题。或者实现想法时算法未优化,使得代码冗长,程序运行不顺畅。
参考文献
[1]刘晓旭,吕志华,何润华.基于窄带物联网的养老院智能系统设计[J].现代信息科技,2024,8(02):154-157.[2]L. K L ,R. B O ,Lee J H , et al.Changes in Antidementia Medications upon Admission to the Nursing Home: Who Decides and Why? Results From a National Survey of Nursing Home Administrators[J].Journal of the American Medical Directors Association,2024,25(1):41-46.e5.
[3]BackmanA ,SjögrenK ,LövheimH , et al.Moving between doing and being—Meanings of person‐centredness as narrated by nursing home managers. A phenomenological hermeneutical study[J].Nursing Open,2023,11(1):e2073-e2073.
[4]马庆.计算机软件开发中JAVA编程语言的应用[J].山西电子技术,2023,(06):84-86+98.
[5]宋晓燕,杨芬.Java程序设计语言的分层教学实践[J].电子技术,2023,52(11):182-183.
[6]马黎.移动互联网背景下养老院健康管理服务设计研究[J].设计,2023,36(21):25-29.
[7]Annica B ,Petra A ,Hugo L , et al.Nursing home managers' descriptions of multi-level barriers to leading person-centred care: A content analysis.[J].International journal of older people nursing,2023,19(1):e12581-e12581.
[8]杨芬,宋晓燕.MySQL数据库应用的课程教学分析[J].电子技术,2023,52(10):180-181.
[9]李享,白维军.可能与可为:大学生参与养老志愿服务的价值[J].中国人力资源社会保障,2023,(10):52-53.
[10]杨华,徐扬.MySQL数据库对中文编码支持的探讨[J].网络安全和信息化,2023,(10):157-160.
[11]范如意,赵婉.青年志愿者参与虚拟养老院建设研究[J].大陆桥视野,2023,(09):76-77+80.
[12]陈蓓蕾,洪年松.基于SpringBoot的数据库接口设计[J].信息与电脑(理论版),2023,35(16):181-183.
[13]李金娟.社区养老志愿服务高质量发展研究[J].北方经济,2023,(07):46-49.
[14]王志亮,纪松波.基于SpringBoot的Web前端与数据库的接口设计[J].工业控制计算机,2023,36(03):51-53.
[15]张晓雨,智慧养老院信息化管理平台.陕西省,西安华通天诚信息科技有限公司,2022-12-01.
[16]张琴.养老院智能管理系统的设计与实现[J].信息与电脑(理论版),2022,34(13):158-160.
[17]段昊鹏.基于物联网技术的养老院智能管理系统设计[J].物联网技术,2022,12(02):99-100+105.
[18]彭灵芝.农村养老院志愿者与护工人员的联动服务效能提升研究[J].作家天地,2021,(25):147-148.
[19]胡旭阳,陈秋娴,谢家柏等.基于物联网技术的养老院智慧护理系统的设计与实现[J].信息与电脑(理论版),2020,32(09):82-84.
[20]薛乐平,王婧,张嘉琪.养老院服务管理模式对入住老人身心健康的研究[J].大众标准化,2020,(02):206+208.
致谢
这篇文章的完成经历了多个日日夜夜的努力,终于在今天得以完成。这篇文章的创作过程实为不易,但在老师和同学的辛勤帮助下顺利渡过。让我在设计过程中举步维艰时,非常感谢我的导师不耐其烦的帮助我解决问题,给予了我许多指导意见。也感谢所有为我授业解惑的老师!
另外,本文的完成也参考借鉴了许多国内外在SpringBoot技术上的著作,如果没有著作原作的辛勤付出和科研成果,我也很难完成本论文。感谢在本论文中关联到的学者们!也感谢Google等公司,感谢他们强大的搜索引擎,让我的资料查阅省事简单。
感谢之余也还有几句话要说,虽大学学习四年,怎奈何本人才疏学浅,本文的完成已为尽力,但文中不免有些不当和错误之处,诚挚真切的请求各位老师对本文的批评改正,感谢百忙之中费心审阅我论文的老师。
免费领取项目源码,请关注❥点赞收藏并私信博主,谢谢~
1144

被折叠的 条评论
为什么被折叠?



