摘 要
随着城市化进程的加快,租房市场需求日益增长,传统的租房方式已无法满足现代用户的需求。本研究旨在构建一个基于Spring Boot框架的租房网站,为普通用户、房东用户和管理员提供一个高效、便捷且安全的租房平台,主要涵盖系统用户管理、房屋分类管理、房源信息管理、咨询信息管理、预约信息管理、合同信息管理、在线反馈管理、系统管理、公告通知管理、资源管理等多项功能,基本实现了整个租房流程,能够很好地满足不同用户需求。
本租房网站的设计与实现采用了Spring Boot作为后端框架,结合MySQL数据库进行数据存储,前端使用JavaScript进行用户界面设计。基于以上技术,能够实现网站的快速迭代更新和稳定性维护,确保系统长期稳定运行,同时,采用模块化设计,能够有效支持系统功能的实现与扩展。遵循需求分析、系统设计、功能实现和测试等阶段,通过对系统的不断迭代与优化,最终实现了一个功能全面、用户友好的租房网站。本租房网站的研究不仅提高了租房信息的透明度和可获取性,还为用户提供了良好的使用体验,有效推动房屋租赁领域的信息化建设,促进租房市场的健康发展。
关键词:租房网站;Spring Boot框架;房屋租赁系统;在线租房
Abstract
With the acceleration of urbanization, the demand for rental housing in the market is increasing day by day, and traditional rental methods can no longer meet the needs of modern users. This study aims to build a rental website based on the Spring Boot framework, providing an efficient, convenient, and secure rental platform for ordinary users, landlord users, and administrators. It mainly covers system user management, property classification management, property information management, consultation information management, appointment information management, contract information management, online feedback management, system management, announcement and notification management, resource management, and other functions. The entire rental process has been basically implemented, which can well meet the needs of different users.
The design and implementation of this rental website adopts Spring Boot as the backend framework, combined with MySQL database for data storage, and JavaScript for user interface design in the frontend. Based on the above technologies, it is possible to achieve rapid iterative updates and stable maintenance of the website, ensuring the long-term stable operation of the system. At the same time, adopting modular design can effectively support the implementation and expansion of system functions. Following the stages of requirement analysis, system design, functional implementation, and testing, a comprehensive and user-friendly rental website was ultimately achieved through continuous iteration and optimization of the system. The research on this rental website not only improves the transparency and accessibility of rental information, but also provides users with a good user experience, effectively promoting the informatization construction of the housing rental field and promoting the healthy development of the rental market.
Keywords: rental websites; Spring Boot framework; House rental system; Online Renting
1.1开发背景
随着经济的发展和人口的流动,越来越多的人选择在城市中租房居住,租房市场逐渐成为人们生活中不可或缺的一部分。然而传统的租房方式往往依赖于线下中介或个人发布信息,存在信息不对称、交易不安全等问题。这些问题不仅给租客带来了诸多不便和困扰,也使得房东在管理房源时面临诸多挑战。为了满足市场需求,开发一个集成化的租房平台显得尤为重要[1]。引入现代化技术,基于Spring Boot框架的租房网站能够有效整合房东、租客和管理员的需求,提供一个高效、安全的租房解决方案。
1.2研究目的与意义
本研究主要目的在于深入探讨Spring Boot框架在构建租房网站中的应用价值,以解决传统租房方式中的痛点,提升用户体验,并分析技术策略如何优化房源信息管理,促进租房效率的提升[2]。研究结果预期为在线租房的开发提供理论依据和实践操作的指导。
基于Spring Boot框架的租房网站设计与实现,旨在通过技术手段提升租房交易的效率,优化房源管理流程,解决用户在租房过程中遇到的各种问题,为租房市场的数字化转型提供有力支持,促进租房行业的健康发展。通过构建一个功能全面、用户友好、资源共享的租房平台,能够有效整合各类房源信息,使用户方便地浏览和选择房源信息,实现在线咨询、预约和交易,促进信息的透明化和共享,提升整体租房体验;还能够为房东提供一个高效便捷的管理工具,帮助房东快速管理房源信息,处理租房咨询、预约和合同等事务,提高管理效率和质量;而管理员则可以通过系统进行全面的管理和监控,确保平台的安全性和稳定性。同时借助本在线租房网站的搭建,能够减少中介环节,降低租房交易的成本,提高交易的效率[3]。此外,通过探索Spring Boot框架在租房网站开发中的应用,可以推动相关技术的创新与实践,为后续的系统开发提供参考和借鉴。
1.3国内外研究现状
1.3.1国内研究现状
在国内,随着互联网技术的发展和城市化进程的加速,在线租房市场迅速崛起。各大平台如贝壳找房、安居客等纷纷涌现,提供了多样化的租房服务。这些平台通过整合海量房源信息,利用大数据分析和人工智能技术,提升了房源匹配效率和用户体验[4]。近年来,移动互联网的普及,使得租房平台在用户界面和功能设计上更加注重移动端的便捷性和实用性。然而,尽管市场发展迅速,仍有不少挑战亟待解决。信息不对称、虚假房源以及租金纠纷等问题依然存在,影响用户信任度。为此,各大平台开始加强信息审核机制,利用实名认证和区块链技术确保信息的真实性和透明度。此外,用户对租房平台的需求也在不断升级,对个性化推荐、智能客服以及在线支付的要求更加迫切[5]。
总体来看,国内在线租房市场处于快速发展阶段,技术创新和用户需求推动着行业的不断进步。研究并解决当前存在的问题,对于提升租房市场的整体质量和用户满意度具有重要意义。
1.3.2国外研究现状
在国外,在线租房市场同样经历了快速发展,尤其是在北美和欧洲等地区,平台如Zillow、Airbnb和Rightmove等占据重要地位。这些平台通过先进的数据分析和用户体验设计,提供高度个性化的服务,满足用户多样化的需求。利用虚拟现实(VR)技术,用户可以在线上进行沉浸式看房,极大地方便了租房过程。此外,国外平台在信息透明度和用户信任方面做出了诸多努力[6]。例如,通过使用区块链技术来管理合同和支付流程,确保交易的安全性和可靠性。用户评价系统也被广泛应用,增加了租房过程中的透明度和信任度。然而,国外市场也面临挑战,包括如何更好地整合本地化服务和应对不同国家的法律法规。因此,许多平台开始寻求与本地企业合作,以便更好地适应市场变化。
总体而言,国外在线租房市场以技术创新为驱动力,持续改善用户体验和系统安全性,为国内相关研究提供了有益的借鉴和参考。
1.4论文结构与章节安排
本文共分为七章,章节内容安排如下:
第一章:引言,主要介绍租房网站领域研究的背景和意义,概述研究的现状。
第二章:关键技术,主要探讨和说明实现租房网站的关键技术。
第三章:系统分析,主要从租房网站的可行性、功能、性能等方面进行分析,为后续系统设计提供理论支持。
第四章:系统设计,主要对租房网站功能模块、数据库进行功能设计。
第五章:系统实现,主要介绍了租房网站各个用户的功能、系统界面的实现。
第六章:系统测试,主要对租房网站进行测试,验证功能完整性、稳定性和安全性,评估系统在实际运行中的性能表现。
第七章:结束语。总结全文研究内容,提出对租房网站领域未来发展的展望和建议,指出研究的不足和可优化之处,为相关领域的进一步探索提供参考。
2 关键技术
2.1Java语言
Java是一种跨平台的编程语言,广泛用于开发各种类型的应用程序,包括Web应用、移动应用和大型软件系统。在租房网站中,Java通常用于后端开发,提供强大的处理能力和稳定性。同时Java是一种面向对象的编程语言,支持封装、继承和多态等特性,使代码更易于维护和重用。还拥有丰富的标准库和第三方框架,如Spring、Hibernate等,可以大大提高开发效率。
2.2MySQL数据库
MySQL是一种流行的开源关系型数据库管理系统,用于存储和管理数据。在租房网站中,MySQL可以用于数据存储、数据查询和数据管理等方面,用户可以免费使用和修改源代码,为平台提供可靠和高性能的数据库支持。MySQL支持多种存储引擎,如InnoDB和MyISAM,可以根据不同的应用场景选择合适的存储引擎,以提高性能;提供了多种数据安全机制,如用户权限管理、数据加密和备份恢复等,确保数据的安全性。
2.3Spring Boot框架
Spring Boot是一个用于构建微服务的Java框架,简化了Spring应用程序的开发和部署过程。Spring Boot通过自动配置和约定优于配置的理念,简化了Spring应用程序的开发过程,使开发者可以更快地构建和部署应用程序;拥有丰富的生态系统,如Spring Cloud、Spring Security等,可以满足各种企业级应用的需求。在租房网站中,Spring Boot可以帮助开发团队快速搭建后端服务,并实现各种功能模块的集成和管理。
2.4B/S模式
B/S模式(Browser/Server模式)是一种网络应用架构,其中浏览器(Browser)作为客户端与服务器(Server)进行通信。这种模式使用户可以通过普通的Web浏览器访问应用程序,而无需安装额外的客户端软件。用户通过浏览器发送请求,服务器接收并处理这些请求,然后将结果返回给浏览器显示给用户。在租房网站中,Spring Boot结合B/S模式的优势包括跨平台的兼容性,用户可以在不同操作系统和设备上访问应用程序。此外,维护和部署也更为简便,并且能够实现较高的安全性,因为服务器端控制了应用程序和数据的访问权限。
3 系统分析
3.1可行性分析
3.1.1技术可行性
从技术角度来看,Spring Boot作为一种轻量级、快速构建的Java框架,能够提高开发效率,降低系统的复杂程度,易于维护和升级。同时,MySQL作为关系型数据库,能够支持平台数据的存储与管理,保障系统的稳定性和高效性。因此,本系统具有技术可行性。
3.1.2经济可行性
从经济角度来看,基于Spring Boot搭建租房网站的投入成本相对较低,因为Spring Boot本身是一个免费、开源的框架,可以节省开发成本。同时,使用MySQL作为数据库也具有成本效益高的优势。因此,本系统具有经济可行性。
3.1.3操作可行性
从操作角度来看,Spring Boot的简洁性和高度集成的特点使得系统的部署和运行相对简单,容易维护和管理的同时,能够提供一个界面直观友好和操作简单高效的系统,能满足用户的各项要求,方便用户快速上手使用。因此,本系统具有操作可行性。
3.1.4运行可行性
从运行角度来看,正因为本系统是在服务器的基础上开发的,系统开发成功以后,用户无需导航指导便可自己上手进行操作。系统一经开发测试后,在计算机移动客户端能上网的情况下,只需在浏览器里完成所有可用操作,也无需配置复杂的使用和运行环境,只需一个网址便可进入系统。因此,本系统具有运行可行性。
综合来看,基于Spring Boot的租房网站的设计与实现在经济、技术、操作、运行等方面都具有较高的可行性,能够为用户提供便捷的服务,提升管理效率。
3.2功能需求分析
本租房网站设计分为三个主要用户角色:普通用户、房东用户和管理员,采用前后端分离的设计方式,其中普通用户和房东用户可登录系统前台,实现各自权限下的功能操作;而管理员则负责后台管理端事务管控和处理,是系统最高权限拥有者。以下是对每个角色的功能需求的详细描述。
普通用户角色用例如下图所示。

图3.1普通用户用例图
系统前台普通用户具体功能说明如下所示。
- 注册登录:提供注册和登录系统的功能,普通用户可以通过注册拥有系统账户,注册成功后可使用账号+密码登录系统前台,支持验证码验证,保证系统用户安全。
- 首页:提供系统搜索功能和系统功能导航栏,展示平台的轮播图、最新动态、热门信息、推荐信息等内容。
- 公告通知:提供系统相关的公告通知信息,保证普通用户及时了解平台动态。
- 新闻资讯:提供新闻资讯的相关新闻、文章展示和热门资讯推荐,让普通用户快速获取最新资讯,支持点赞、收藏、评论新闻资讯。
- 房源信息:提供房源信息展示,支持关键字、排序搜索,普通用户可以浏览房源信息,并点赞、收藏和评论房源信息,详情页还提供咨询、预约功能。
- 在线反馈:提供在线反馈功能,普通用户可以提交反馈内容,提交的在线反馈内容可在自己的个人中心进行管理,并由管理员在后台进行处理。
- 我的账户:提供管理个人资料功能,普通用户可修改自己的账户信息和密码信息。
- 个人中心:提供个人首页、咨询信息、预约信息、合同信息、在线反馈、收藏、评论管理等子菜单功能链接,普通用户可根据需求对其进行管理。
房东用户角色用例如下图所示。

图3.2房东用户用例图
系统前台房东用户具体功能说明如下所示。
- 注册登录:提供注册和登录系统的功能,房东用户可以在通过注册拥有系统账户,注册成功后可使用账号+密码登录系统前台,支持验证码验证,保证系统用户安全。
- 首页:提供系统搜索功能和系统功能导航栏,展示平台的轮播图、最新动态、热门信息、推荐信息等内容。
- 公告通知:提供系统相关的公告通知信息,保证房东用户及时了解平台动态。
- 新闻资讯:提供新闻资讯的相关新闻、文章展示和热门资讯推荐,让房东用户快速获取最新资讯,支持点赞、收藏、评论新闻资讯。
- 房源信息:提供房源信息展示,支持关键字、排序搜索,房东用户可以浏览房源信息,并点赞、收藏和评论房源信息。
- 我的账户:提供管理个人资料功能,房东用户可修改自己的账户信息和密码信息。
- 个人中心:提供个人首页、房源信息、咨询信息、预约信息、合同信息、收藏、评论管理等子菜单功能链接,房东用户可根据需求对其进行管理。
管理员角色用例如下图所示。

图3.3管理员用例图
系统后台管理管理员具体功能说明如下所示。
- 登录:管理员可直接使用账号密码登录系统后台,进行管理,可对自己的个人信息和密码信息进行修改。
- 系统用户:管理员可管理系统的所有系统用户信息,包括普通用户、房东用户、管理员账号等,支持用户权限管理和角色设置,可增改删查和封禁系统用户信息。
- 房屋分类管理:管理员可管理房屋分类信息,包括新增、编辑、删除房屋分类,提供搜索功能。
- 房源信息管理:管理员可管理所有房源信息的发布、下架、更新等操作,提供搜索功能,支持房源信息的审核及评论管控。
- 咨询信息管理:管理员可管理所有咨询信息,包括查询、删除咨询信息,支持咨询回复。
- 预约信息管理:管理员可管理所有预约信息,包括查询、审核、删除预约信息,提供审核、合同发送功能。
- 合同信息管理:管理员可管理所有合同信息,包括查询、审核、删除合同信息,支持支付状态更新。
- 在线反馈管理:管理员可管理所有在线反馈信息,包括查询、审核、删除在线反馈,提供审核功能,支持更新审核状态、编辑审核回复内容。
- 系统管理:管理员可管理系统的轮播图信息,包括新增、编辑、删除轮播图,提供搜索功能,支持图片附带链接。
- 公告通知管理:管理员可管理平台发布的公告通知信息,包括新增、编辑、删除公告通知,提供搜索功能。
- 资源管理:管理员可管理新闻资讯和资讯分类的新增、编辑、删除等操作,提供搜索功能,支持对新闻资讯的评论管控和查看。
功能模块图如下图3.4所示。

图3.4系统功能模块图
3.3系统性能分析
性能需求分析是系统设计的重要组成部分,其目标是确保系统在各种负载条件下的高效、稳定和可靠。对于租房网站的设计与实现,下面是系统性能分析表:
表3.1性能需求表
| 项目 | 内容 |
| 响应时间 | 系统对用户请求的响应时间需在500ms以内 |
| 并发用户数 | 系统需要支持多个并发用户同时访问 |
| 吞吐量 | 系统每秒需要处理大量请求 |
| 可用性 | 系统需要保证一定的可用性 |
| 数据安全 | 用户敏感数据需要加密存储,并支持数据库备份和恢复 |
| 数据一致性 | 系统中的数据操作需保证ACID特性,确保数据一致性 |
| 扩展性 | 系统需要支持水平扩展,能够方便地增加服务器节点以应对高请求量 |
| 可维护性 | 系统代码需要清晰易懂、结构良好,方便团队成员维护和修改 |
| 日志记录 | 系统需要记录用户操作日志、异常日志以及系统运行日志 |
| 监控报警 | 系统需要实时监控运行状态,当系统异常时能够及时发送警报通知相关人员 |
| 缓存设置 | 针对频繁使用的数据,系统需要进行合适的缓存 |
3.4系统流程分析
3.4.1程序操作流程
用户访问平台网站,可以选择进行注册或登录操作。注册成功后,用户可以使用注册的账号登录平台。登录后的用户可以进入系统功能界面,使用自己权限内的功能操作。程序操作流程图如下图所示。

图3.4程序操作流程图
3.4.2登录流程
用户访问平台的网站,进入登录页面页面,入其用户名和密码,后端服务接收登录请求,验证用户提供的用户名和密码是否匹配数据库中存储的信息,验证通过即可登录成功。登录流程图如下图所示。

图3.5登录流程图
3.4.3注册流程
未有账号的用户可进入注册界面进行注册操作,填写注册表格,包括用户名、密码、电子邮件等必要信息。后台系统验证并保存用户提交的信息。分配唯一用户标识符。注册成功后,用户可以使用账号密码进行登录。用户注册流程图如下图所示。

图3.6注册流程图
4 系统设计
4.1总体设计
本系统采用了经典的三层架构设计,包括表现层、业务逻辑层和数据层。表现层负责与用户进行交互,主要通过前端界面实现;业务逻辑层则处理具体的业务功能,如用户登录、心理评估和咨询管理等;数据层则使用MySQL数据库进行数据存储与管理。系统采用Spring Boot框架进行开发,利用Spring Security实现精细化的权限控制,确保不同角色的安全访问。整体架构通过RESTful API实现前后端分离,保证了系统的高效性、稳定性和可扩展性。如下图4-1所示:

图4-1系统架构图
4.2数据库设计
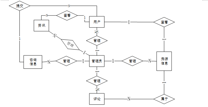
4.2.1数据库表E-R图
- R图有助于理清系统中的数据结构和关系,为后续的数据库表结构设计提供指导。在进行数据库设计之前,首先需要先绘制实体-关系(E-R)图。E-R图将帮助理清业务中的实体(Entity)及它们之间的关系(Relationship),从而为后续的数据库表设计提供基础。根据前文可以得出本租房网站拥有多个实体,在此列举主要实体,各个实体之间联系总E-R图如下图所示。
(1)管理员实体属性图如下图4-2所示

图4-2管理员实体属性图
(2) 用户实体属性如下图4-3所示

图4-3用户实体属性图
(3) 房东用户实体属性如下图4-4所示

图4-4房东用户实体属性图
(4)房源信息信息实体属性如下图4-5所示

图4-5房源信息实体属性图
(5) 租房网站总E-R图如下图4-6所示

图4-6租房网站总E-R图
4.2.2数据库表结构设计
在E-R图确定后,接下来可以根据实体和关系的属性设计数据库表结构。在E-R图明确了实体和它们之间的关系后,接下来可以开始设计数据库表结构。每个实体对应一个数据库表,每个属性对应表中的字段。如下列表格所示,在此列举主要数据表。
表appointment_information (预约信息)
| 名称 | 数据类型 | 长度 | 小数位 | 允许空值 | 主键 | 说明 |
| appointment_information_id | int | 10 | 0 | N | Y | 预约信息ID |
| community_name | varchar | 64 | 0 | Y | N | 小区名称 |
| house_type | varchar | 64 | 0 | Y | N | 房屋类型 |
| landlord_user | int | 10 | 0 | Y | N | 房东用户 |
| landlords_name | varchar | 64 | 0 | Y | N | 房东姓名 |
| contact_information | varchar | 64 | 0 | Y | N | 联系方式 |
| house_building | varchar | 64 | 0 | Y | N | 房屋楼栋 |
| rental_price | double | 9 | 2 | Y | N | 出租价格 |
| appointment_user | int | 10 | 0 | Y | N | 预约用户 |
| user_name | varchar | 64 | 0 | Y | N | 用户姓名 |
| phone_number | varchar | 64 | 0 | Y | N | 手机号码 |
| time_of_appointment | datetime | 19 | 0 | Y | N | 预约时间 |
| appointment_remarks | text | 65535 | 0 | Y | N | 预约备注 |
| 名称 | 数据类型 | 长度 | 小数位 | 允许空值 | 主键 | 说明 |
| landlord_user_id | int | 10 | 0 | N | Y | 房东用户ID |
| landlords_name | varchar | 64 | 0 | Y | N | 房东姓名 |
| landlords_age | varchar | 64 | 0 | Y | N | 房东年龄 |
| landlords_gender | varchar | 64 | 0 | Y | N | 房东性别 |
| contact_information | varchar | 64 | 0 | Y | N | 联系方式 |
| 名称 | 数据类型 | 长度 | 小数位 | 允许空值 | 主键 | 说明 |
| online_feedback_id | int | 10 | 0 | N | Y | 在线反馈ID |
| title_name | varchar | 64 | 0 | Y | N | 标题名称 |
| feedback_type | varchar | 64 | 0 | Y | N | 反馈类型 |
| feedback_to_users | int | 10 | 0 | Y | N | 反馈用户 |
| feedback_date | date | 10 | 0 | Y | N | 反馈日期 |
| feedback_content | text | 65535 | 0 | Y | N | 反馈内容 |
| examine_state | varchar | 16 | 0 | N | N | 审核状态 |
| examine_reply | varchar | 16 | 0 | Y | N | 审核回复 |
| 名称 | 数据类型 | 长度 | 小数位 | 允许空值 | 主键 | 说明 |
| ordinary_users_id | int | 10 | 0 | N | Y | 普通用户ID |
| user_name | varchar | 64 | 0 | Y | N | 用户姓名 |
| user_age | varchar | 64 | 0 | Y | N | 用户年龄 |
| user_gender | varchar | 64 | 0 | Y | N | 用户性别 |
| phone_number | varchar | 64 | 0 | Y | N | 手机号码 |
| examine_state | varchar | 16 | 0 | N | N | 审核状态 |
| user_id | int | 10 | 0 | N | N | 用户ID |
表property_information (房源信息)
| 名称 | 数据类型 | 长度 | 小数位 | 允许空值 | 主键 | 说明 |
| property_information_id | int | 10 | 0 | N | Y | 房源信息ID |
| community_name | varchar | 64 | 0 | Y | N | 小区名称 |
| house_type | varchar | 64 | 0 | Y | N | 房屋类型 |
| landlord_user | int | 10 | 0 | Y | N | 房东用户 |
| landlords_name | varchar | 64 | 0 | Y | N | 房东姓名 |
| contact_information | varchar | 64 | 0 | Y | N | 联系方式 |
| cover_photo | varchar | 255 | 0 | Y | N | 封面图片 |
| house_building | varchar | 64 | 0 | Y | N | 房屋楼栋 |
| house_area | varchar | 64 | 0 | Y | N | 房屋面积 |
| housing_status | varchar | 64 | 0 | Y | N | 房屋状态 |
| rental_price | double | 9 | 2 | Y | N | 出租价格 |
| rent_start_time | varchar | 64 | 0 | Y | N | 起租时间 |
| address_details | varchar | 64 | 0 | Y | N | 地址详情 |
| remarks_information | longtext | 2147 | 0 | Y | N | 备注信息 |
| recommend | int | 10 | 0 | N | N | 智能推荐 |
| consultation_information_limit_times | int | 10 | 0 | N | N | 咨询限制次数 |
| appointment_information_limit_times | int | 10 | 0 | N | N | 预约限制次数 |
5 系统实现
5.1系统环境分析
考虑到租房网站主要面对部分人群,网站的访问量不大。系统处理、统计分析工作简单,Tomcat服务器能够满足中小型网络用户的数据处理,通过互联网Internet 接入及MySQL 5.6以上的数据库应用的需求点。系统具体开发环境如下表所示:
表5.1系统环境表
| 项目 | 开发环境 |
| 操作系统 | Windows 11、Windows 10、Windows 8、Windows 7 |
| 开发语言 | Java |
| 使用框架 | Spring Boot |
| 体系结构 | 三层B/S体系结构 |
| 开发工具 | IDEA(2020版)/MyEclipse(2017)/Eclipse、Vs Code |
| 数据库 | MySQL 5.6以上 |
| 数据库管理工具 | Navicat |
| JDK版本 | Java 1.8 |
| Maven | apache-maven 3.6.1-bin |
| Tomcat | apache-tomcat-7.0.88 |
5.2系统前台模块
普通用户和房东用户登录系统前台后,首先进入前台首页界面,该界面主要提供系统搜索功能和系统功能导航栏,展示平台的轮播图、最新动态、热门信息、推荐信息(首页喜好推荐根据用户点击的类型优先推荐同类型内容)等内容。界面设计如下图所示。

图5.1首页界面设计
首页代码如下:

5.2.2用户登录界面
用户输入用户名和密码后,系统首先对这些输入进行基本的格式验证,确保用户名和密码符合系统设定的格式要求(如长度、特殊字符要求等)。系统接收到用户输入后,会根据用户名查找系统中存储的用户信息数据库或者其他持久化存储方式。系统需要验证密码的正确性,验证成功即可成功登录。界面设计如下图所示。

图5.2用户登录界面设计
登录关键代码如下:

5.2.3用户注册界面
用户注册时,系统要求用户提供必要的信息,例如用户名、密码、电子邮件地址等。这些信息通常由用户在注册表单中输入,并通过前端验证确保格式的正确性。注册过程完成后,系统会为新用户创建一个账户。这包括分配一个唯一的用户ID和设置初始的权限或者角色。界面设计如下图所示。

图5.3用户注册界面设计
注册关键代码如下:

5.2.4房源信息界面
房源信息模块是系统的主要功能之一,只要提供房源信息展示,支持关键字、排序搜索,普通用户和房东用户可以浏览房源信息,并点赞、收藏和评论房源信息。此外,普通用户的详情页还提供咨询、预约功能。界面设计如下图所示。

图5.4房源信息详情页界面设计
当普通用户进入房源信息的详情页,可点击“咨询”按钮,输入并提交咨询信息,提交的咨询信息可在用户个人中心进行管控,普通用户提交的咨询信息由房东用户负责处理回复。普通用户提交咨询信息界面设计如下图所示。

图5.5房源信息咨询界面设计
提交咨询信息关键代码:

当普通用户进入房源信息的详情页,可点击“预约”按钮,输入并提交预约信息,提交的预约信息可在用户个人中心进行管控,普通用户提交的预约信息由房东用户负责处理审核。普通用户提交预约信息界面设计如下图所示。

图5.6房源信息预约界面设计
提交预约信息关键代码:

5.2.5在线反馈界面
在线反馈模块主要为普通用户提供在线反馈功能,普通用户可以提交反馈内容,提交的在线反馈内容可在自己的个人中心进行管理,并由管理员在后台进行处理。界面设计如下图所示。

图5.7在线反馈界面设计
5.2.6普通用户个人中心界面
普通用户个人中心模块主要为普通用户提供个人首页、咨询信息、预约信息、合同信息、在线反馈、收藏、评论管理等子菜单功能链接,普通用户可根据需求对其进行管理。
具体如下:个人首页,普通用户的个人信息展示页面;咨询信息,显示已提交的咨询信息,提供查询功能,可查看回复内容;预约信息,显示已提交的预约信息,提供查询功能,可确认审核情况;合同信息,显示发送给自己的合同信息,提供查询、支付功能,可下载合同附件,支付出租押金;在线反馈,显示发送给自己的在线反馈信息,提供查询功能,可确认审核情况(由管理员在后台处理回复);收藏,展示已收藏各类系统信息,可浏览和删除收藏信息;评论管理,可管控已发布的评论内容和查看其回复内容。界面设计如下图所示。

图5.8普通用户个人中心界面设计
5.2.7房东用户个人中心界面
房东用户个人中心模块主要为房东用户提供个人首页、房源信息、咨询信息、预约信息、合同信息、收藏、评论管理等子菜单功能链接,房东用户可根据需求对其进行管理。
具体如下:个人首页,房东用户的个人信息展示页面。房源信息,可增改删查房源信息(添加的房源信息需经过管理员在后台审核通过才会在系统前台展示),确认审核情况;咨询信息,显示提交给自己的咨询信息,提供查询功能,可回复普通用户的咨询;预约信息,显示提交给自己的预约信息,提供查询、审核功能,审核通过后,可发送合同,上传合同附件;合同信息,显示自己的合同信息,提供查询功能,确认合同内容;收藏,展示已收藏各类系统信息,可浏览和删除收藏信息;评论管理,可管控已发布的评论内容和查看其回复内容。界面设计如下图所示。

图5.9房东用户个人中心界面设计
5.3后台管理模块
5.3.1系统用户界面
管理员可管理系统的所有系统用户信息,包括普通用户、房东用户、管理员账号等,支持用户权限管理和角色设置,可增改删查和封禁系统用户信息。界面设计如下图所示。

图5.10系统用户界面设计
系统用户信息管理关键代码:

5.3.2房源信息管理界面
管理员可管理所有房源信息的发布、下架、更新等操作,提供搜索功能,支持房源信息的审核及评论管控。界面设计如下图所示。

图5.11房源信息管理界面设计
当管理员在房源信息管理界面,点击“审核”操作,可更新审核状态,审核通过的房源信息,才可显示在系统前台页面中。界面设计如下图所示。

图5.12房源信息审核界面设计
审核房源信息关键代码如下:

5.3.3预约信息管理界面
管理员可管理所有预约信息,包括查询、审核、删除预约信息,提供审核、合同发送功能。界面设计如下图所示。

图5.13预约信息管理界面设计
预约关键代码如下:

5.3.4在线反馈管理界面
管理员可管理所有在线反馈信息,包括查询、审核、删除在线反馈,提供审核功能,支持更新审核状态、编辑审核回复内容。界面设计如下图所示。

图5.14在线反馈管理界面设计
处理在线反馈信息关键代码如下:

5.3.5资源管理界面
管理员可管理新闻资讯和资讯分类的新增、编辑、删除等操作,提供搜索功能,支持对新闻资讯的评论管控和查看。界面设计如下图所示。

图5.15资源管理界面设计
6 系统测试
6.1测试意义
在软件开发生命周期中,系统测试占据着举足轻重的地位。通过进行全面而系统的测试,能够确保软件在实际使用环境中具备稳定运行的能力,从而满足用户的多样化需求,并显著提升软件的整体质量与可靠性。这一过程不仅有助于识别并修复潜在问题,还能为软件的持续优化提供有力支撑。
随着现代信息的快速发展,在社会各大领域中已经都开始应用网络信息技术,在应用网络技术的同时人们也开始把软件的质量问题作为了一个重要焦点来关注,因为一个软件的好与坏它决定着这个系统在市场上的生存,所以必须要把软件质量来做好,这样才有一定的生存能力。对于用户来说它们首先选用的都是保证这个系统软件的质量问题,因为一个系统的软件质量决定着用户在后期上成本经济的问题。图6.1就是纠错测试流程。

图6.1测试与纠错信息流程
6.2测试用例
在系统的功能验证阶段,将对全部的功能界面进行全面测试。具体而言,将模拟用户行为,输入各类数据并进行提交操作,随后仔细观察和分析每个页面的响应反馈。这一过程旨在验证系统的功能完整性,确保页面所呈现的功能与预期相符,并能够完全实现预设的交互逻辑。通过这种全面细致的测试方法,将确保系统在实际应用中能够稳定、准确地响应用户需求。
下表是系统登录功能测试用例,检测了用户名和密码的不同的输入情况,观察系统的响应情况。得出该功能达到了设计目标。
表6.1系统登录功能测试用例
| 测试用例编号 | 测试用例名称 | 测试步骤 | 预期结果 | 实际结果 | 测试状态 |
| TC001 | 用户登录测试 | 1. 输入有效的用户名和密码<br>2. 点击登录按钮 | 成功登录,跳转至用户首页 | 成功登录,跳转至用户首页 | 通过 |
| TC002 | 用户名为空测试 | 1. 留空用户名框,输入密码<br>2. 点击登录按钮 | 提示“用户名不能为空” | 弹出提示:“用户名不能为空” | 通过 |
| TC003 | 密码为空测试 | 1. 输入用户名,留空密码框<br>2. 点击登录按钮 | 提示“密码不能为空” | 弹出提示:“密码不能为空” | 通过 |
| TC004 | 用户名密码错误测试 | 1. 输入错误的用户名和密码<br>2. 点击登录按钮 | 提示“用户名或密码错误” | 弹出提示:“用户名或密码错误” | 通过 |
下表是注册功能测试用例,检测了各种数据的输入情况,观察系统的响应情况。得出该功能达到了设计目标。
表6.2系统注册功能测试用例
| 测试用例编号 | 测试用例名称 | 测试步骤 | 预期结果 | 实际结果 | 测试状态 |
| TC001 | 注册成功测试 | 1. 输入有效的用户名、密码、邮箱、手机号码<br>2. 点击注册按钮 | 注册成功,跳转至登录页面 | 注册成功,跳转至登录页面 | 通过 |
| TC002 | 用户名为空测试 | 1. 留空用户名框,输入有效的密码和其他信息<br>2. 点击注册按钮 | 提示“用户名不能为空” | 弹出提示:“用户名不能为空” | 通过 |
| TC003 | 密码为空测试 | 1. 输入有效的用户名,留空密码框,填写其他信息<br>2. 点击注册按钮 | 提示“密码不能为空” | 弹出提示:“密码不能为空” | 通过 |
| TC004 | 用户名已存在测试 | 1. 输入已存在的用户名,填写有效的密码和其他信息<br>2. 点击注册按钮 | 提示“用户名已存在” | 弹出提示:“用户名已存在” | 通过 |
下表是房源信息管理功能的测试用例,检测了房源信息中对房源信息的增加,删除,修改,查询、审核操作是否成功运行。观察系统的响应情况,得出该功能也达到了设计目标,系统运行正确。
前置条件;管理员登录系统。
表6.3房源信息管理的测试用例
| 测试用例编号 | 测试用例名称 | 测试步骤 | 预期结果 | 实际结果 | 测试状态 |
| TC001 | 添加房源信息测试 | 1. 输入房源信息<br>2. 点击“添加”按钮 | 房源添加成功,显示在列表中 | 房源添加成功,显示在列表中 | 通过 |
| TC002 | 编辑房源信息测试 | 1. 修改房源信息<br>2. 点击“保存”按钮 | 房源信息更新成功 | 房源信息更新成功 | 通过 |
| TC003 | 删除房源信息测试 | 1. 选择房源<br>2. 点击“删除”按钮 | 房源删除成功,列表中不再显示该房源 | 房源删除成功,列表中不再显示该房源 | 通过 |
| TC004 | 房源信息验证测试 | 1. 输入无效房源数据<br>2. 点击“添加”按钮 | 提示错误信息 | 弹出错误提示 | 通过 |
下表是合同信息管理功能的测试用例,检测了合同信息中对合同信息的增加,删除,修改,查询操作是否成功运行。观察系统的响应情况,得出该功能也达到了设计目标,系统运行正确。
前置条件;管理员登录系统。
表6.4合同信息管理的测试用例
| 测试用例编号 | 测试用例名称 | 测试步骤 | 预期结果 | 实际结果 | 测试状态 |
| TC001 | 添加合同信息测试 | 输入有效合同信息,点击“添加”按钮 | 合同添加成功,显示在列表中 | 合同添加成功,显示在列表中 | 通过 |
| TC002 | 编辑合同信息测试 | 修改合同信息,点击“保存”按钮 | 合同信息更新成功 | 合同信息更新成功 | 通过 |
| TC003 | 删除合同信息测试 | 选择合同,点击“删除”按钮 | 合同删除成功,列表中不显示该合同 | 合同删除成功,列表中不显示该合同 | 通过 |
| TC004 | 合同信息验证测试 | 输入无效合同数据,点击“添加”按钮 | 提示错误信息 | 弹出错误提示 | 通过 |
下表是在线反馈管理功能的测试用例,检测了在线反馈中对在线反馈的增加,删除,修改,查询、审核操作是否成功运行。观察系统的响应情况,得出该功能也达到了设计目标,系统运行正确。
前置条件;管理员登录系统。
表6.5在线反馈管理的测试用例
| 测试用例编号 | 测试用例名称 | 测试步骤 | 预期结果 | 实际结果 | 测试状态 |
| TC001 | 提交新反馈 | 1. 进入反馈页面。<br>2. 填写所有必填字段(如:标题、内容等)。<br>3. 点击“提交”按钮。 | 系统成功保存反馈并显示确认消息 | 系统成功保存反馈并显示确认消息 | 通过 |
| TC002 | 漏填必填字段 | 1. 进入反馈页面。<br>2. 漏填某些必填字段。<br>3. 点击“提交”按钮。 | 系统提示错误信息,要求补充完整信息 | 系统提示错误信息,要求补充完整信息 | 通过 |
| TC003 | 查看反馈列表 | 1. 进入反馈管理页面。<br>2. 查看反馈列表。 | 系统显示所有已提交的反馈列表 | 系统显示所有已提交的反馈列表 | 通过 |
| TC004 | 删除反馈 | 1. 进入反馈管理页面。<br>2. 选择一个反馈。<br>3. 点击“删除”按钮。<br>4. 确认删除操作。 | 系统成功删除反馈并更新列表 | 系统成功删除反馈并更新列表 | 通过 |
6.3测试结果
本次测试涵盖了登录、注册、房源信息管理、合同信息管理、在线反馈管理等关键功能模块,所有测试用例均按预期通过。用户能够成功完成注册和登录,系统对输入数据进行了有效验证;房源信息的添加、修改、删除及图片上传功能正常,确保了数据的准确性和一致性;合同管理功能包括创建、编辑、删除和文件上传,操作简便且提示清晰;在线反馈提交和管理顺畅,提升了用户体验,保证了信息的时效性和准确性。系统表现稳定,满足设计要求,提供了一个可靠高效的平台。
通过开发租房网站,我深刻体会到软件开发的完整流程。首先,在确定开发目标后,进行了详细的需求分析,明确了系统所需的各项功能。接下来,设计了系统的功能框架和数据库结构,包括实体和数据表的设计。随后,实现了各个功能模块的详细界面,并进行了全面的功能测试。尽管在这个过程中遇到了各种挑战,但通过反复分析和深入思考,借助相关文献和解决方案,成功地解决了这些问题,最终使租房网站顺利运行。
虽然该系统在功能上基本满足了用户的需求,但仍有许多需要改进的地方。在接下来的开发阶段,计划进行以下改进:
用户界面设计:目前的操作页面虽然满足了简易操作的要求,但在多样化设计方面还有提升空间。将考虑引入更多丰富的设计元素,使界面更加美观和用户友好。
安全性能优化:针对系统安全性能的增强,需要进一步优化系统的整体防护能力。具体而言,将要对程序退出的安全性进行加强,确保在退出过程中不存在数据泄露或系统不稳定的风险。
性能优化:在性能优化方面,将着重于对程序的数据结构和代码逻辑进行精细化调整。优化后的系统应具备快速处理大量事务的能力,显著缩短事务处理时间,从而提高整体工作效率。同时,致力于降低服务器资源的占用率,以实现资源的高效利用和成本的有效控制。
通过这些改进,希望能够进一步提升租房网站的用户体验和性能,使其更加贴合实际需求。
这次毕业设计能够完成,最重要的就是来自指导老师的帮助,是导师不厌其烦的对我的论文及毕业设计提出非常有建设性的建议,我的毕设施能够完成离不开导师的帮助。在此,我对导师由衷的表示感谢,
其次要感谢大学四年里学院里所有的任课老师的教导,老师们在我整个大学四年里给予了我丰富的知识,让我能够在大学中不虚度光阴,踏踏实实的学习,没有这些老师不辞辛劳的教诲,我无法完成这四年的学业。
最后,我要感谢我的家人和同学们。感谢父母在物质与精神上给予我无限的支持和鼓励。感谢我的同学们,在论文写作期间,你们给予了我许多宝贵的建议和帮助,让我在学术研究的道路上不再孤单。
再次感谢所有在我大学生活中给予我帮助和支持的人们。您们的关怀和鼓励将永远铭刻在我的心中,成为我未来前行的动力。
由于自己的水平有限,毕设仍然存在着很大的缺陷,各位老师若提出意见,我会努力改正。
- 闫银娟.基于SSM的房屋租赁系统的设计与实现[J].电脑知识与技术,2022,18(33):38-41.
- 邵子尧,姜怡,南林娜,范宇晗,彭力.基于区块链的长租房可靠交易系统设计与实现[J].智能计算机与应用,2023,13(04):84-90.
- 唐苏旭.基于SpringBoot的房屋租赁系统的设计与实现[D].首都经济贸易大学,2021.
- 周海锐.基于区块链的租房系统设计与实现[D].北京邮电大学,2020.
- 黄达锋.基于Dubbo的房屋出租系统的设计与实现[D].长江大学,2020.
- Yu Yang.Design and Implementation of Student Information Management System Based on Springboot[J].Advances in Computer, Signals and Systems,2022,6(6):
- 王玉魁,李峰,乔彦超,杨森,张译文.基于Springboot与Vue框架的仓储管理系统设计与实现[J].河南科技,2024,51(18):29-33.
- Yuanrun Zhu.Contract Management System Based on SpringBoot and Vue[J].Advances in Computer, Signals and Systems,2024,8(5):
- 李金忠,胡志明,陈建钢,陈涵轩,左左.基于SpringBoot和Uni-App框架的自习室平台的设计与实现[J].河北水利电力学院学报,2024,34(02):77-82.
- 周玉光,赵海涛,樊继慧,麦泳楠.基于SpringBoot的消防站健身房系统建设[J].电脑知识与技术,2024,20(17):75-77.
- 张新海,朱祎.基于MVVM模式SpringBoot框架的高校信息化项目管理系统[J].信息技术与信息化,2024,(05):54-58.
- 王培培.基于SpringBoot的网上商城管理系统设计与实现[J].现代计算机,2024,30(07):117-120.
- Wu Hejing.Commerce Middle Office Management System Based on Springboot[J].International Journal of Advanced Network, Monitoring and Controls,2022,7(2):32-45.
- Fuyuan Cheng.Talent Recruitment Management System for Small and Micro Enterprises Based on Springboot Framework[J].Advances in Educational Technology and Psychology,2021,5(2):
- Guanhong Chen,Jiangming Xu.Design and implementation of efficient Learning platform based on SpringBoot Framework[J].Journal of Electronics and Information Science,2020,6(1):

被折叠的 条评论
为什么被折叠?



