摘 要
信息化社会内需要与之针对性的信息获取途径,但是途径的扩展基本上为人们所努力的方向,由于站在的角度存在偏差,人们经常能够获得不同类型信息,这也是技术最为难以攻克的课题。针对旅游大数据可视化分析推荐系统等问题,对旅游大数据可视化分析推荐系统进行研究分析,然后开发设计出旅游大数据可视化分析推荐系统以解决问题。
旅游大数据可视化分析推荐系统主要功能模块包括系统首页、轮播图、公告信息、资讯管理、系统用户(管理员、普通用户)模块管理(景点类型、景点信息、在线咨询、反馈留言、城市景点数、各景点热度、各景点评分、景点级别数据),采取面对对象的开发模式进行软件的开发和硬体的架设,能很好的满足实际使用的需求,完善了对应的软体架设以及程序编码的工作,采取Mysql作为后台数据的主要存储单元,采用Python技术、Ajax技术进行业务系统的编码及其开发,实现了本系统的全部功能。本次报告,首先分析了研究的背景、作用、意义,为研究工作的合理性打下了基础。针对旅游大数据可视化分析推荐系统的各项需求以及技术问题进行分析,证明了系统的必要性和技术可行性,然后对设计系统需要使用的技术软件以及设计思想做了基本的介绍,最后来实现旅游大数据可视化分析推荐系统和部署运行使用它。
关键词:旅游大数据可视化分析推荐;Python技术;Mysql数据库
Flask tourism big data visualization analysis and recommendation system
Abstract
In the information society, there is a need for targeted information acquisition channels, but the expansion of channels is basically the direction of people's efforts. Due to the deviation in perspective, people often can obtain different types of information, which is also the most difficult topic for technology to overcome. Aiming at the problems of tourism big data visualization analysis and recommendation system, this paper studies and analyzes the tourism big data visualization visualization analysis and recommendation system, and then develops and designs the tourism big data visualization visualization analysis and recommendation system to solve the problems.
The main functional modules of the tourism big data visualization visualization analysis and recommendation system include the system homepage, broadcast map, announcement information, information management, system user (administrator, ordinary user) module management (scenic spot type, scenic spot information, online consultation, feedback messages, number of urban scenic spots, popularity of each scenic spot, rating of each scenic spot, and scenic spot level data), and the object-oriented development mode is adopted for software development and hardware erection, It can well meet the actual usage needs, improve the corresponding software installation and program coding work, adopt MySQL as the main storage unit for backend data, and use Python and Ajax technologies for business system coding and development, achieving all the functions of this system. This report first analyzes the background, role, and significance of the research, laying the foundation for the rationality of the research work. This paper analyzes the requirements and technical problems of the tourism big data visualization visualization analysis and recommendation system, proves the necessity and technical feasibility of the system, and then introduces the technical software and design ideas needed to design the system. Finally, it realizes the tourism big data visualization visualization analysis and recommendation system and deploys and runs it.
Key words: tourism big data visualization analysis and recommendation; Python technology; MySQL database
目 录
随着经济水平的提高,国内的旅游业发展快速,但是相对来说,国内旅游业发展的程度并不能完全适应经济的发展和人民生活水平提高的需要。因此国内旅游业在国民经济中的地位和作用凸显重要。
但国内旅游产业管理滞后,基础弱,企业效益差,信息化较低。旅游行政管理部门的管理方式些许落后,缺少信息化管理,信息沟通渠道不顺畅等一系列问题。面对挑战和挫折,国内旅游产业必须转变旧观念,勇于创新,打破传统理念,提供各种资源,这样一来使整个行业有了崭新的一幕。同时要加强旅游信息化的建设,不断提高各级管理部门的管理能力和工作效率,简化办事的程序,减少工作的成本,加快信息的传播速度,多做宣传,提高信息的真实性;另一方面通过开展旅游产业来满足游客的需求,提升旅游的服务质量,缩减成本,转变旅游企业传统经营模式,这样做的话不仅提高整个旅游产业的素质,而且提升旅游产业的信息化,优化产业的结构和资源。进而带动许多产业的发展,提高就业机率,对经济的发展有着积极的推动作用。
数据可视化 (Data Visualization)技术指的是运用计算机图形学和图像处理技术﹐将数据换为图形或图像在屏幕上显示出来,并进行交互处理的理论、方法和技术'。它涉及到计算机图形学、图像处理、计算机辅助设计、计算机视觉及人机交互技术等多个领域。在数据的处理过程中,科学家们不仅需要通过图形图像来分析由计算机算出的数据﹐而且需要了解在计算过程中数据的变化。随着计算机技术的发展,数据可视化概念已大大扩展﹐它不仅包括科学计算数据的可视化,而且包括工程数据和测量数据的可视化。我们可以通过数据可视化技术,发现大量数据中隐含的规律﹐从而为决策提供依据。这是数据可视化技术的根本。
管理信息系统是一个集信息技术、经济管理理论、统计学与运筹学、数据库技术为一体的综合性系统,是一个资金技术密集型、劳动密集型、智力密集型的项目。我国拥有广阔的市场和丰富的人才资源,有几十年的技术积累和经验积累,有一定的后发优势。管理信息系统的创新工作既不能妄自菲薄,更不能夜郎自大。要抓住当前网络经济兴起的有利时机,以实现我国信息技术和信息产业的跨越式发展,更好地发挥信息产业对国民经济增长的拉动作用。
开发旅游大数据可视化分析推荐系统的过程就是要实现数据处理方式由人工管理向计算机管理的转变,它在计算机技术和房屋管理实践活动两者之间架设桥梁。而用flask所开发的旅游大数据可视化分析推荐系统却能在这些功能方面运作自如,为用户赢得无限的商机。
此旅游大数据可视化分析推荐系统”的开发定位于一个能够满足数据库管理软件,即具备一个数据库管理软件的基本功能,包括数据的增加,删除,修改,查询,统计等,便于用户查看,操作,和查询房屋登记信息。同时能够提供高质量的套打及快速生成统计分析报表。此外,系统具有用户登录功能,不同用户有不同的权限,这样可以提高数据的安全性和可靠性。系统采用盟友系统开发平台和数据库相结合的手段进行开发,结构紧凑、运行速度快、操作简单,更因为拥有自己的源代码,所以保证了软件具有高度的保密、安全性。
首先,通过引擎搜索或者查阅相关文献资料,了解了本系统开发的背景以及设计系统的意义所在,收集用户需求信息。其次,在开发工具上,最终确定选用Python平台来设计开发本系统,Mysql作为设计数据库的工具。即利用Python语言实现用户界面,并同数据库连接起来实现完整的通信功能。之后,设计出系统大致的功能模块。主要从方便系统用户和系统管理员的角度进行分析,明确该系统应该具有的功能。最终是测试系统,通过用例测试发现存在的问题并找到解决的方案。利用现有的开发平台,结合自己所学的知识,在老师的指导帮助下来完成该设计,确保系统的可用性、实用性。
本系统前端部分基于MVVM模式进行开发,采用B/S模式,后端部分基于python的flask框架进行开发。
前端部分:前端框架采用了比较流行的渐进式JavaScript框架Vue.js。使用Vue-Router和Vuex实现动态路由和全局状态管理,Ajax实现前后端通信,Element UI组件库使页面快速成型,项目前端通过栅格布局实现响应式,可适应PC端、平板端、手机端等不同屏幕大小尺寸的完美布局展示。
后端部分:采用flask作为开发框架,同时集成Redis等相关技术。
Python 是一个高层次的脚本语言结合了解释性、编译性、互动性和面向对象的。Python 的设计,相比其他语言经常使用英文关键字和其他语言的一些标点符号,它具有比其他语言更有特色语法结构,具有很强的可读性。
解释型语言:类似于Python和Perl语言,这意味着开发过程中没有了编译这个环节。
交互式语言:可以在一个 Python 提示符 >>> 后直接执行代码。
面向对象语言:Python支持面向对象的风格或代码封装在对象的编程技术。
-
- flask框架
Flask是一个轻量级的可定制框架,使用Python语言编写,较其他同类型框架更为灵活、轻便、安全且容易上手。它可以很好地结合MVC模式进行开发,开发人员分工合作,小型团队在短时间内就可以完成功能丰富的中小型网站或Web服务的实现。另外,Flask还有很强的定制性,用户可以根据自己的需求来添加相应的功能,在保持核心功能简单的同时实现功能的丰富与扩展,其强大的插件库可以让用户实现个性化的网站定制,开发出功能强大的网站。
Flask是目前十分流行的web框架,采用Python编程语言来实现相关功能。它被称为微框架(microframework),“微”并不是意味着把整个Web应用放入到一个Python文件,微框架中的“微”是指Flask旨在保持代码简洁且易于扩展,Flask框架的主要特征是核心构成比较简单,但具有很强的扩展性和兼容性,程序员可以使用Python语言快速实现一个网站或Web服务。一般情况下,它不会指定数据库和模板引擎等对象,用户可以根据需要自己选择各种数据库。Flask自身不会提供表单验证功能,在项目实施过程中可以自由配置,从而为应用程序开发提供数据库抽象层基础组件,支持进行表单数据合法性验证、文件上传处理、用户身份认证和数据库集成等功能。Flask主要包括Werkzeug和Jinja2两个核心函数库,它们分别负责业务处理和安全方面的功能,这些基础函数为web项目开发过程提供了丰富的基础组件。Werkzeug库十分强大,功能比较完善,支持URL路由请求集成,一次可以响应多个用户的访问请求;支持Cookie和会话管理,通过身份缓存数据建立长久连接关系,并提高用户访问速度;支持交互式Javascript调试,提高用户体验;可以处理HTTP基本事务,快速响应客户端推送过来的访问请求。Jinja2库支持自动HTML转移功能,能够很好控制外部黑客的脚本攻击。系统运行速度很快,页面加载过程会将源码进行编译形成Python字节码,从而实现模板的高效运行;模板继承机制可以对模板内容进行修改和维护,为不同需求的用户提供相应的模板。目前Python的web框架有很多。除了Flask,还有django、Web2py等等。其中Django是目前Python的框架中使用度最高的。但是Django如同java的EJB(EnterpriseJavaBeansJavaEE服务器端组件模型)多被用于大型网站的开发,但对于大多数的小型网站的开发,使用SSH(Struts+Spring+Hibernat的一个JavaEE集成框架)就可以满足,和其他的轻量级框架相比较,Flask框架有很好的扩展性,这是其他Web框架不可替代的。
Mysql 经过多次的更新,功能层面已经非常的丰富和完善了,从Mysql4版本到5版本进行了比较大的更新,在商业的实际使用中取得了很好的实际应用效果。最新版本的Mysql支持对信息的压缩,同时还能进行加密能更好的满足对信息安全性的需求。同时经过系统的多次更新,数据库自身的镜像功能也得到了很大的增强,运行的流畅度和易用性方面有了不小的进步,驱动的使用和创建也更加的高效快捷。最大的变动还是进行了空间信息的显示优化,能更加方便的在应用地图上进行坐标的标注和运算。强大的备份功能也保证了用户使用的过程会更加安心,同时支持的Office特性还支持用户的自行安装和使用。在信息的显示形式上也进行了不小的更新,增加了两个非常使用的显示区,一个是信息区,对表格和文字进行了分类处理,界面的显示更加清爽和具体。第二是仪表的信息控件,能在仪表信息区进行信息的显示,同时还能进行多个信息的比对,为用户的实际使用带来了很大的便捷[8][9]。
针对本文中设计的旅游大数据可视化分析推荐系统在实际的实现过程中,最终选择Mysql数据库的主要原因在于在企业的应用系统应用及开发的过程中会存在大量的数据库比较频繁的操作,而且数据的安全性要求也是非常的高。综合这些因素,最终选择安全性系数比较高的Mysql来对旅游大数据可视化分析推荐系统后台数据进行存储操作。
数据库管理系统的总体结构图如下图所示。
图2-1 数据库组成结构
-
- 爬虫技术
网络为搜索引擎从万维网下载网页。一般分为传统爬虫和聚焦爬虫。
传统爬虫从一个或若干初始网页的URL开始,获得初始网页上的URL,在抓取网页的过程中,不断从当前页面上抽取新的URL放入队列,直到满足系统的一定停止条件。通俗的讲,也就是通过源码解析来获得想要的内容。
聚焦爬虫的工作流程较为复杂,需要根据一定的网页分析算法过滤与主题无关的链接,保留有用的链接并将其放入等待抓取的URL队列。然后,它将根据一定的搜索策略从队列中选择下一步要抓取的网页URL,并重复上述过程,直到达到系统的某一条件时停止。另外,所有被爬虫抓取的网页将会被系统存贮,进行一定的分析、过滤,并建立索引,以便之后的查询和检索;对于聚焦爬虫来说,这一过程所得到的分析结果还可能对以后的抓取过程给出反馈和指导。
技术性方面,采用当前主流的Python技术进行系统主体框架的搭建,前台使用jquery,ajax,实现前台页面的设计与美观调整,以上技术,均由本人经过系统学习,并且都是在课程设计中实践过的,可以使得开发更加便捷和系统。从技术角度看,这个系统是完全可以实现的。
实用性方面,本次设计的主要任务是在旅游大数据可视化分析推荐系统内首页、轮播图、公告信息、资讯管理、系统用户(管理员、普通用户)模块管理(景点类型、景点信息、在线咨询、反馈留言、城市景点数、各景点热度、各景点评分、景点级别数据)等,符合当前潮流的发展。从用户角度出发,同时也考虑系统运营成本和人力资源,采用网络上的便捷方式,实现线上业务,使得业务流程更系统,也更方便用户的体验,比较实用。
经济性方面,由于本课题中设计的旅游大数据可视化分析推荐系统的主要目的是为了能够更加方便及快捷的进行信息的查询管理及检索服务,也就是能够可以直接投入使用的信息化软件。系统的主要成本主要是集中在对使用数据后期继续维护及其管理更新这个操作上。但是一旦系统投入到实际的运行及使用之后就能够很好的提高信息查询检索的效率,同时也需要有效的保证查询者的信息方面的安全性,同时这个旅游大数据可视化分析推荐系统所带来的实际应用方面的价值是远远的超过了实际系统进行开发与维护方面的成本,因此,从经济上来说开发这个软件是可行的。
旅游大数据可视化分析推荐系统的功能主要分为前台用户根据自己的需求进行注册登录,浏览景点信息并对选中的景点信息进行搜索操作。管理员主要对首页、轮播图、公告信息、资讯管理、系统用户(管理员、普通用户)模块管理(景点类型、景点信息、在线咨询、反馈留言、城市景点数、各景点热度、各景点评分、景点级别数据)进行处理。
系统用例图如下所示。
图3-1 系统用例图
首先主要考虑的是系统功能软件,在具体设计的环节上,是不是能够较好的满足各类用户的基本功能需求,如果不能较好的满足用户需求,那么这个系统的存在是没有价值的。软件系统的非功能性求分析,从7个方面展开,一个是性能分析,针对系统;一个是安全分析,针对系统,一个是完整度分析,针对系统,一个是可维护分析,针对系统,一个是可扩展性分析,针对系统,一个是适应业务的性能分析。面对旅游大数据可视化分析推荐系统存在的性能、安全、扩展、完整度等7个方面性能综合比对分析后发现,需要相应的非功能性需求分析。
安全性对每一个系统来说都是非常重要的。安全性很好的系统可以保护企业的信息和用户的信息不被窃取。提高系统的安全性不仅是对用户的负责,更是对企业的负责。尤其针对于旅游大数据可视化分析推荐系统来说,必须要有很好的安全性来保障整个系统。
系统具有对使用者有权限控制,针对角色的不通限制使用者的权限,以此来确保系统的安全性。
数据库中的数据是从外界输入的,当数据的输入时,由于种种原因,输入的数据会无效,或者是脏数据。因此,怎样保证输入的数据符合规定,成为了数据库系统,尤其是多用户的关系数据库系统首要关注的问题。
因此,在写入数据库时,要保证数据完整性、正确性和一致性。
对系统的数据流进行分析,系统的使用者分为二类,一般用户,管理员。系统主要对界面信息传送,登录信息的验证,注册信息的接收,用户各种操作的响应做处理。
系统顶层数据流图如下图所示。
图3-2 顶层数据流图
要判断用户是是什么身份,是根据登录的数据来判断后,跳转到对应的功能界面。在系统的内部用户就可以对数据进行操作,数据库中心就可以接收到系统传输的有效数据流来对数据sql语句进行对应操作。
系统底层数据流图如下图所示。
图3-3 底层数据流图
本旅游大数据可视化分析推荐系统的架构设计主要分为可以3层,主要有Web层,业务层,Model层。其中web层还包括View层和Controller层,Model层包括元数据扩展层和数据访问层。
系统架构如下图所示。
图4-1 系统架构
旅游大数据可视化分析推荐系统总体后台管理员模块。
模块表现上是分别独立存在,但是访问的数据库是一样的。每一个模块的功能都是根据先前完成的需求分析,并查阅相关资料后整理制作的。
综上所述,系统功能结构图如下图所示。
图4-2 系统功能结构图
登录模块:登录模块是进入系统的入口,所有用户必须登录后才能访问系统。登录需要输入用户名和密码,如果多次尝试登录需要输入验证码。登录时需要选择用户的角色,是一般用户还是管理员登录等。登录成功后,会通过数据库获取用户的权限,并跳转至用户的主页面。
管理员用户管理模块:管理员管理包括:管理员的添加,修改和删除操作。添加管理员时,先判断用户添加的管理员是否是admin(超级管理员),如果不是则添加成功。修改时候,如果是超级管理员,可以修改所有管理员的信息,如果是普通管理员,那么只能修改自己的信息。超级管理员可以删除自己以外的所有其他管理员,普通管理员不能执行删除管理员的操作。
从前面可以分析到数据库中最重要的是首页、轮播图、公告信息、资讯管理、系统用户(管理员、普通用户)模块管理(景点类型、景点信息、在线咨询、反馈留言、城市景点数、各景点热度、各景点评分、景点级别数据)。分析可以得到如下数据描述:
管理员:记录管理员的登录信息。包括用户名,密码,权限等数据项。
根据前面的数据流程图,结合系统的功能模块设计,设计出符合系统的各信息实体。
系统ER图如下图所示。
图4-5系统实体ER属性图
旅游大数据可视化分析推荐系统所拥有的数据表有以下:由于数据表较多,只展示系统主要数据表,如下表所示。
表access_token (登陆访问时长)
| 编号 | 名称 | 数据类型 | 长度 | 小数位 | 允许空值 | 主键 | 默认值 | 说明 |
| 1 | token_id | int | 10 | 0 | N | Y | 临时访问牌ID | |
| 2 | token | varchar | 64 | 0 | Y | N | 临时访问牌 | |
| 3 | info | text | 65535 | 0 | Y | N | ||
| 4 | maxage | int | 10 | 0 | N | N | 2 | 最大寿命:默认2小时 |
| 5 | create_time | timestamp | 19 | 0 | N | N | CURRENT_TIMESTAMP | 创建时间: |
| 6 | update_time | timestamp | 19 | 0 | N | N | CURRENT_TIMESTAMP | 更新时间: |
| 7 | user_id | int | 10 | 0 | N | N | 0 | 用户编号: |
| 编号 | 名称 | 数据类型 | 长度 | 小数位 | 允许空值 | 主键 | 默认值 | 说明 |
| 1 | article_id | mediumint | 8 | 0 | N | Y | 文章id:[0,8388607] | |
| 2 | title | varchar | 125 | 0 | N | Y | 标题:[0,125]用于文章和html的title标签中 | |
| 3 | type | varchar | 64 | 0 | N | N | 0 | 文章分类:[0,1000]用来搜索指定类型的文章 |
| 4 | hits | int | 10 | 0 | N | N | 0 | 点击数:[0,1000000000]访问这篇文章的人次 |
| 5 | praise_len | int | 10 | 0 | N | N | 0 | 点赞数 |
| 6 | create_time | timestamp | 19 | 0 | N | N | CURRENT_TIMESTAMP | 创建时间: |
| 7 | update_time | timestamp | 19 | 0 | N | N | CURRENT_TIMESTAMP | 更新时间: |
| 8 | source | varchar | 255 | 0 | Y | N | 来源:[0,255]文章的出处 | |
| 9 | url | varchar | 255 | 0 | Y | N | 来源地址:[0,255]用于跳转到发布该文章的网站 | |
| 10 | tag | varchar | 255 | 0 | Y | N | 标签:[0,255]用于标注文章所属相关内容,多个标签用空格隔开 | |
| 11 | content | longtext | 2147483647 | 0 | Y | N | 正文:文章的主体内容 | |
| 12 | img | varchar | 255 | 0 | Y | N | 封面图 | |
| 13 | description | text | 65535 | 0 | Y | N | 文章描述 |
| 编号 | 名称 | 数据类型 | 长度 | 小数位 | 允许空值 | 主键 | 默认值 | 说明 |
| 1 | type_id | smallint | 5 | 0 | N | Y | 分类ID:[0,10000] | |
| 2 | display | smallint | 5 | 0 | N | N | 100 | 显示顺序:[0,1000]决定分类显示的先后顺序 |
| 3 | name | varchar | 16 | 0 | N | N | 分类名称:[2,16] | |
| 4 | father_id | smallint | 5 | 0 | N | N | 0 | 上级分类ID:[0,32767] |
| 5 | description | varchar | 255 | 0 | Y | N | 描述:[0,255]描述该分类的作用 | |
| 6 | icon | text | 65535 | 0 | Y | N | 分类图标: | |
| 7 | url | varchar | 255 | 0 | Y | N | 外链地址:[0,255]如果该分类是跳转到其他网站的情况下,就在该URL上设置 | |
| 8 | create_time | timestamp | 19 | 0 | N | N | CURRENT_TIMESTAMP | 创建时间: |
| 9 | update_time | timestamp | 19 | 0 | N | N | CURRENT_TIMESTAMP | 更新时间: |
表attraction_information (景点信息)
| 编号 | 名称 | 数据类型 | 长度 | 小数位 | 允许空值 | 主键 | 默认值 | 说明 |
| 1 | attraction_information_id | int | 10 | 0 | N | Y | 景点信息ID | |
| 2 | attraction_name | varchar | 64 | 0 | Y | N | 景点名称 | |
| 3 | scenic_area_level | varchar | 64 | 0 | Y | N | 景区级别 | |
| 4 | scenic_area_rating | varchar | 64 | 0 | Y | N | 景区评分 | |
| 5 | types_of_attractions | varchar | 64 | 0 | Y | N | 景点类型 | |
| 6 | attraction_features | varchar | 64 | 0 | Y | N | 景点特色 | |
| 7 | city | varchar | 64 | 0 | Y | N | 所在城市 | |
| 8 | attraction_address | varchar | 64 | 0 | Y | N | 景点地址 | |
| 9 | opening_hours | varchar | 64 | 0 | Y | N | 开放时间 | |
| 10 | introduction_to_scenic_spots | text | 65535 | 0 | Y | N | 景点介绍 | |
| 11 | scenic_spot_pictures | varchar | 255 | 0 | Y | N | 景点图片 | |
| 12 | hits | int | 10 | 0 | N | N | 0 | 点击数 |
| 13 | praise_len | int | 10 | 0 | N | N | 0 | 点赞数 |
| 14 | recommend | int | 10 | 0 | N | N | 0 | 智能推荐 |
| 15 | create_time | datetime | 19 | 0 | N | N | CURRENT_TIMESTAMP | 创建时间 |
| 16 | update_time | timestamp | 19 | 0 | N | N | CURRENT_TIMESTAMP | 更新时间 |
表attraction_level_data (景点级别数据)
| 编号 | 名称 | 数据类型 | 长度 | 小数位 | 允许空值 | 主键 | 默认值 | 说明 |
| 1 | attraction_level_data_id | int | 10 | 0 | N | Y | 景点级别数据ID | |
| 2 | scenic_area_name | varchar | 64 | 0 | Y | N | 景区名称 | |
| 3 | city | varchar | 64 | 0 | Y | N | 城市 | |
| 4 | grade | varchar | 64 | 0 | Y | N | 评级 | |
| 5 | address | varchar | 64 | 0 | Y | N | 地址 | |
| 6 | score | varchar | 64 | 0 | Y | N | 评分 | |
| 7 | degree_of_heat | varchar | 64 | 0 | Y | N | 热度 | |
| 8 | opening_hours | varchar | 64 | 0 | Y | N | 开放时间 | |
| 9 | service_facilities | text | 65535 | 0 | Y | N | 服务设施 | |
| 10 | number_of_evaluations | varchar | 64 | 0 | Y | N | 评价数量 | |
| 11 | user_reviews | text | 65535 | 0 | Y | N | 用户评价 | |
| 12 | recommend | int | 10 | 0 | N | N | 0 | 智能推荐 |
| 13 | create_time | datetime | 19 | 0 | N | N | CURRENT_TIMESTAMP | 创建时间 |
| 14 | update_time | timestamp | 19 | 0 | N | N | CURRENT_TIMESTAMP | 更新时间 |
| 编号 | 名称 | 数据类型 | 长度 | 小数位 | 允许空值 | 主键 | 默认值 | 说明 |
| 1 | auth_id | int | 10 | 0 | N | Y | 授权ID: | |
| 2 | user_group | varchar | 64 | 0 | Y | N | 用户组: | |
| 3 | mod_name | varchar | 64 | 0 | Y | N | 模块名: | |
| 4 | table_name | varchar | 64 | 0 | Y | N | 表名: | |
| 5 | page_title | varchar | 255 | 0 | Y | N | 页面标题: | |
| 6 | path | varchar | 255 | 0 | Y | N | 路由路径: | |
| 7 | position | varchar | 32 | 0 | Y | N | 位置: | |
| 8 | mode | varchar | 32 | 0 | N | N | _blank | 跳转方式: |
| 9 | add | tinyint | 3 | 0 | N | N | 1 | 是否可增加: |
| 10 | del | tinyint | 3 | 0 | N | N | 1 | 是否可删除: |
| 11 | set | tinyint | 3 | 0 | N | N | 1 | 是否可修改: |
| 12 | get | tinyint | 3 | 0 | N | N | 1 | 是否可查看: |
| 13 | field_add | text | 65535 | 0 | Y | N | 添加字段: | |
| 14 | field_set | text | 65535 | 0 | Y | N | 修改字段: | |
| 15 | field_get | text | 65535 | 0 | Y | N | 查询字段: | |
| 16 | table_nav_name | varchar | 500 | 0 | Y | N | 跨表导航名称: | |
| 17 | table_nav | varchar | 500 | 0 | Y | N | 跨表导航: | |
| 18 | option | text | 65535 | 0 | Y | N | 配置: | |
| 19 | create_time | timestamp | 19 | 0 | N | N | CURRENT_TIMESTAMP | 创建时间: |
| 20 | update_time | timestamp | 19 | 0 | N | N | CURRENT_TIMESTAMP | 更新时间: |
| 编号 | 名称 | 数据类型 | 长度 | 小数位 | 允许空值 | 主键 | 默认值 | 说明 |
| 1 | collect_id | int | 10 | 0 | N | Y | 收藏ID: | |
| 2 | user_id | int | 10 | 0 | N | N | 0 | 收藏人ID: |
| 3 | source_table | varchar | 255 | 0 | Y | N | 来源表: | |
| 4 | source_field | varchar | 255 | 0 | Y | N | 来源字段: | |
| 5 | source_id | int | 10 | 0 | N | N | 0 | 来源ID: |
| 6 | title | varchar | 255 | 0 | Y | N | 标题: | |
| 7 | img | varchar | 255 | 0 | Y | N | 封面: | |
| 8 | create_time | timestamp | 19 | 0 | N | N | CURRENT_TIMESTAMP | 创建时间: |
| 9 | update_time | timestamp | 19 | 0 | N | N | CURRENT_TIMESTAMP | 更新时间: |
| 编号 | 名称 | 数据类型 | 长度 | 小数位 | 允许空值 | 主键 | 默认值 | 说明 |
| 1 | comment_id | int | 10 | 0 | N | Y | 评论ID: | |
| 2 | user_id | int | 10 | 0 | N | N | 0 | 评论人ID: |
| 3 | reply_to_id | int | 10 | 0 | N | N | 0 | 回复评论ID:空为0 |
| 4 | content | longtext | 2147483647 | 0 | Y | N | 内容: | |
| 5 | nickname | varchar | 255 | 0 | Y | N | 昵称: | |
| 6 | avatar | varchar | 255 | 0 | Y | N | 头像地址:[0,255] | |
| 7 | create_time | timestamp | 19 | 0 | N | N | CURRENT_TIMESTAMP | 创建时间: |
| 8 | update_time | timestamp | 19 | 0 | N | N | CURRENT_TIMESTAMP | 更新时间: |
| 9 | source_table | varchar | 255 | 0 | Y | N | 来源表: | |
| 10 | source_field | varchar | 255 | 0 | Y | N | 来源字段: | |
| 11 | source_id | int | 10 | 0 | N | N | 0 | 来源ID: |
| 编号 | 名称 | 数据类型 | 长度 | 小数位 | 允许空值 | 主键 | 默认值 | 说明 |
| 1 | feedback_message_id | int | 10 | 0 | N | Y | 反馈留言ID | |
| 2 | user_information | int | 10 | 0 | Y | N | 0 | 用户信息 |
| 3 | user_name | varchar | 64 | 0 | Y | N | 用户姓名 | |
| 4 | message_title | varchar | 64 | 0 | Y | N | 留言标题 | |
| 5 | message_type | varchar | 64 | 0 | Y | N | 留言类型 | |
| 6 | message_content | text | 65535 | 0 | Y | N | 留言内容 | |
| 7 | content_response | text | 65535 | 0 | Y | N | 内容回复 | |
| 8 | recommend | int | 10 | 0 | N | N | 0 | 智能推荐 |
| 9 | create_time | datetime | 19 | 0 | N | N | CURRENT_TIMESTAMP | 创建时间 |
| 10 | update_time | timestamp | 19 | 0 | N | N | CURRENT_TIMESTAMP | 更新时间 |
| 编号 | 名称 | 数据类型 | 长度 | 小数位 | 允许空值 | 主键 | 默认值 | 说明 |
| 1 | hits_id | int | 10 | 0 | N | Y | 点赞ID: | |
| 2 | user_id | int | 10 | 0 | N | N | 0 | 点赞人: |
| 3 | create_time | timestamp | 19 | 0 | N | N | CURRENT_TIMESTAMP | 创建时间: |
| 4 | update_time | timestamp | 19 | 0 | N | N | CURRENT_TIMESTAMP | 更新时间: |
| 5 | source_table | varchar | 255 | 0 | Y | N | 来源表: | |
| 6 | source_field | varchar | 255 | 0 | Y | N | 来源字段: | |
| 7 | source_id | int | 10 | 0 | N | N | 0 | 来源ID: |
| 编号 | 名称 | 数据类型 | 长度 | 小数位 | 允许空值 | 主键 | 默认值 | 说明 |
| 1 | notice_id | mediumint | 8 | 0 | N | Y | 公告id: | |
| 2 | title | varchar | 125 | 0 | N | N | 标题: | |
| 3 | content | longtext | 2147483647 | 0 | Y | N | 正文: | |
| 4 | create_time | timestamp | 19 | 0 | N | N | CURRENT_TIMESTAMP | 创建时间: |
| 5 | update_time | timestamp | 19 | 0 | N | N | CURRENT_TIMESTAMP | 更新时间: |
表number_of_urban_attractions (城市景点数)
| 编号 | 名称 | 数据类型 | 长度 | 小数位 | 允许空值 | 主键 | 默认值 | 说明 |
| 1 | number_of_urban_attractions_id | int | 10 | 0 | N | Y | 城市景点数ID | |
| 2 | scenic_area_name | varchar | 64 | 0 | Y | N | 景区名称 | |
| 3 | city | varchar | 64 | 0 | Y | N | 城市 | |
| 4 | grade | varchar | 64 | 0 | Y | N | 评级 | |
| 5 | address | varchar | 64 | 0 | Y | N | 地址 | |
| 6 | score | varchar | 64 | 0 | Y | N | 评分 | |
| 7 | degree_of_heat | varchar | 64 | 0 | Y | N | 热度 | |
| 8 | opening_hours | varchar | 64 | 0 | Y | N | 开放时间 | |
| 9 | service_facilities | text | 65535 | 0 | Y | N | 服务设施 | |
| 10 | number_of_evaluations | varchar | 64 | 0 | Y | N | 评价数量 | |
| 11 | user_reviews | text | 65535 | 0 | Y | N | 用户评价 | |
| 12 | recommend | int | 10 | 0 | N | N | 0 | 智能推荐 |
| 13 | create_time | datetime | 19 | 0 | N | N | CURRENT_TIMESTAMP | 创建时间 |
| 14 | update_time | timestamp | 19 | 0 | N | N | CURRENT_TIMESTAMP | 更新时间 |
| 编号 | 名称 | 数据类型 | 长度 | 小数位 | 允许空值 | 主键 | 默认值 | 说明 |
| 1 | online_consultation_id | int | 10 | 0 | N | Y | 在线咨询ID | |
| 2 | user_information | int | 10 | 0 | Y | N | 0 | 用户信息 |
| 3 | user_name | varchar | 64 | 0 | Y | N | 用户姓名 | |
| 4 | attraction_name | varchar | 64 | 0 | Y | N | 景点名称 | |
| 5 | consultation_content | text | 65535 | 0 | Y | N | 咨询内容 | |
| 6 | content_response | text | 65535 | 0 | Y | N | 内容回复 | |
| 7 | recommend | int | 10 | 0 | N | N | 0 | 智能推荐 |
| 8 | create_time | datetime | 19 | 0 | N | N | CURRENT_TIMESTAMP | 创建时间 |
| 9 | update_time | timestamp | 19 | 0 | N | N | CURRENT_TIMESTAMP | 更新时间 |
| 编号 | 名称 | 数据类型 | 长度 | 小数位 | 允许空值 | 主键 | 默认值 | 说明 |
| 1 | ordinary_users_id | int | 10 | 0 | N | Y | 普通用户ID | |
| 2 | user_name | varchar | 64 | 0 | Y | N | 用户姓名 | |
| 3 | user_gender | varchar | 64 | 0 | Y | N | 用户性别 | |
| 4 | examine_state | varchar | 16 | 0 | N | N | 已通过 | 审核状态 |
| 5 | recommend | int | 10 | 0 | N | N | 0 | 智能推荐 |
| 6 | user_id | int | 10 | 0 | N | N | 0 | 用户ID |
| 7 | create_time | datetime | 19 | 0 | N | N | CURRENT_TIMESTAMP | 创建时间 |
| 8 | update_time | timestamp | 19 | 0 | N | N | CURRENT_TIMESTAMP | 更新时间 |
| 编号 | 名称 | 数据类型 | 长度 | 小数位 | 允许空值 | 主键 | 默认值 | 说明 |
| 1 | praise_id | int | 10 | 0 | N | Y | 点赞ID: | |
| 2 | user_id | int | 10 | 0 | N | N | 0 | 点赞人: |
| 3 | create_time | timestamp | 19 | 0 | N | N | CURRENT_TIMESTAMP | 创建时间: |
| 4 | update_time | timestamp | 19 | 0 | N | N | CURRENT_TIMESTAMP | 更新时间: |
| 5 | source_table | varchar | 255 | 0 | Y | N | 来源表: | |
| 6 | source_field | varchar | 255 | 0 | Y | N | 来源字段: | |
| 7 | source_id | int | 10 | 0 | N | N | 0 | 来源ID: |
| 8 | status | bit | 1 | 0 | N | N | 1 | 点赞状态:1为点赞,0已取消 |
表rating_for_each_attraction (各景点评分)
| 编号 | 名称 | 数据类型 | 长度 | 小数位 | 允许空值 | 主键 | 默认值 | 说明 |
| 1 | rating_for_each_attraction_id | int | 10 | 0 | N | Y | 各景点评分ID | |
| 2 | scenic_area_name | varchar | 64 | 0 | Y | N | 景区名称 | |
| 3 | city | varchar | 64 | 0 | Y | N | 城市 | |
| 4 | grade | varchar | 64 | 0 | Y | N | 评级 | |
| 5 | address | varchar | 64 | 0 | Y | N | 地址 | |
| 6 | score | varchar | 64 | 0 | Y | N | 评分 | |
| 7 | degree_of_heat | varchar | 64 | 0 | Y | N | 热度 | |
| 8 | opening_hours | varchar | 64 | 0 | Y | N | 开放时间 | |
| 9 | service_facilities | text | 65535 | 0 | Y | N | 服务设施 | |
| 10 | number_of_evaluations | varchar | 64 | 0 | Y | N | 评价数量 | |
| 11 | user_reviews | text | 65535 | 0 | Y | N | 用户评价 | |
| 12 | recommend | int | 10 | 0 | N | N | 0 | 智能推荐 |
| 13 | create_time | datetime | 19 | 0 | N | N | CURRENT_TIMESTAMP | 创建时间 |
| 14 | update_time | timestamp | 19 | 0 | N | N | CURRENT_TIMESTAMP | 更新时间 |
| 编号 | 名称 | 数据类型 | 长度 | 小数位 | 允许空值 | 主键 | 默认值 | 说明 |
| 1 | slides_id | int | 10 | 0 | N | Y | 轮播图ID: | |
| 2 | title | varchar | 64 | 0 | Y | N | 标题: | |
| 3 | content | varchar | 255 | 0 | Y | N | 内容: | |
| 4 | url | varchar | 255 | 0 | Y | N | 链接: | |
| 5 | img | varchar | 255 | 0 | Y | N | 轮播图: | |
| 6 | hits | int | 10 | 0 | N | N | 0 | 点击量: |
| 7 | create_time | timestamp | 19 | 0 | N | N | CURRENT_TIMESTAMP | 创建时间: |
| 8 | update_time | timestamp | 19 | 0 | N | N | CURRENT_TIMESTAMP | 更新时间: |
表the_popularity_of_various_scenic_spots (各景点热度)
| 编号 | 名称 | 数据类型 | 长度 | 小数位 | 允许空值 | 主键 | 默认值 | 说明 |
| 1 | the_popularity_of_various_scenic_spots_id | int | 10 | 0 | N | Y | 各景点热度ID | |
| 2 | scenic_area_name | varchar | 64 | 0 | Y | N | 景区名称 | |
| 3 | city | varchar | 64 | 0 | Y | N | 城市 | |
| 4 | grade | varchar | 64 | 0 | Y | N | 评级 | |
| 5 | address | varchar | 64 | 0 | Y | N | 地址 | |
| 6 | score | varchar | 64 | 0 | Y | N | 评分 | |
| 7 | degree_of_heat | varchar | 64 | 0 | Y | N | 热度 | |
| 8 | opening_hours | varchar | 64 | 0 | Y | N | 开放时间 | |
| 9 | service_facilities | text | 65535 | 0 | Y | N | 服务设施 | |
| 10 | number_of_evaluations | varchar | 64 | 0 | Y | N | 评价数量 | |
| 11 | user_reviews | text | 65535 | 0 | Y | N | 用户评价 | |
| 12 | recommend | int | 10 | 0 | N | N | 0 | 智能推荐 |
| 13 | create_time | datetime | 19 | 0 | N | N | CURRENT_TIMESTAMP | 创建时间 |
| 14 | update_time | timestamp | 19 | 0 | N | N | CURRENT_TIMESTAMP | 更新时间 |
| 编号 | 名称 | 数据类型 | 长度 | 小数位 | 允许空值 | 主键 | 默认值 | 说明 |
| 1 | types_of_attractions_id | int | 10 | 0 | N | Y | 景点类型ID | |
| 2 | types_of_attractions | varchar | 64 | 0 | Y | N | 景点类型 | |
| 3 | recommend | int | 10 | 0 | N | N | 0 | 智能推荐 |
| 4 | create_time | datetime | 19 | 0 | N | N | CURRENT_TIMESTAMP | 创建时间 |
| 5 | update_time | timestamp | 19 | 0 | N | N | CURRENT_TIMESTAMP | 更新时间 |
| 编号 | 名称 | 数据类型 | 长度 | 小数位 | 允许空值 | 主键 | 默认值 | 说明 |
| 1 | upload_id | int | 10 | 0 | N | Y | 上传ID | |
| 2 | name | varchar | 64 | 0 | Y | N | 文件名 | |
| 3 | path | varchar | 255 | 0 | Y | N | 访问路径 | |
| 4 | file | varchar | 255 | 0 | Y | N | 文件路径 | |
| 5 | display | varchar | 255 | 0 | Y | N | 显示顺序 | |
| 6 | father_id | int | 10 | 0 | Y | N | 0 | 父级ID |
| 7 | dir | varchar | 255 | 0 | Y | N | 文件夹 | |
| 8 | type | varchar | 32 | 0 | Y | N | 文件类型 |
| 编号 | 名称 | 数据类型 | 长度 | 小数位 | 允许空值 | 主键 | 默认值 | 说明 |
| 1 | user_id | mediumint | 8 | 0 | N | Y | 用户ID:[0,8388607]用户获取其他与用户相关的数据 | |
| 2 | state | smallint | 5 | 0 | N | N | 1 | 账户状态:[0,10](1可用|2异常|3已冻结|4已注销) |
| 3 | user_group | varchar | 32 | 0 | Y | N | 所在用户组:[0,32767]决定用户身份和权限 | |
| 4 | login_time | timestamp | 19 | 0 | N | N | CURRENT_TIMESTAMP | 上次登录时间: |
| 5 | phone | varchar | 11 | 0 | Y | N | 手机号码:[0,11]用户的手机号码,用于找回密码时或登录时 | |
| 6 | phone_state | smallint | 5 | 0 | N | N | 0 | 手机认证:[0,1](0未认证|1审核中|2已认证) |
| 7 | username | varchar | 16 | 0 | N | N | 用户名:[0,16]用户登录时所用的账户名称 | |
| 8 | nickname | varchar | 16 | 0 | Y | N | 昵称:[0,16] | |
| 9 | password | varchar | 64 | 0 | N | N | 密码:[0,32]用户登录所需的密码,由6-16位数字或英文组成 | |
| 10 | | varchar | 64 | 0 | Y | N | 邮箱:[0,64]用户的邮箱,用于找回密码时或登录时 | |
| 11 | email_state | smallint | 5 | 0 | N | N | 0 | 邮箱认证:[0,1](0未认证|1审核中|2已认证) |
| 12 | avatar | varchar | 255 | 0 | Y | N | 头像地址:[0,255] | |
| 13 | create_time | timestamp | 19 | 0 | N | N | CURRENT_TIMESTAMP | 创建时间: |
| 编号 | 名称 | 数据类型 | 长度 | 小数位 | 允许空值 | 主键 | 默认值 | 说明 |
| 1 | group_id | mediumint | 8 | 0 | N | Y | 用户组ID:[0,8388607] | |
| 2 | display | smallint | 5 | 0 | N | N | 100 | 显示顺序:[0,1000] |
| 3 | name | varchar | 16 | 0 | N | N | 名称:[0,16] | |
| 4 | description | varchar | 255 | 0 | Y | N | 描述:[0,255]描述该用户组的特点或权限范围 | |
| 5 | source_table | varchar | 255 | 0 | Y | N | 来源表: | |
| 6 | source_field | varchar | 255 | 0 | Y | N | 来源字段: | |
| 7 | source_id | int | 10 | 0 | N | N | 0 | 来源ID: |
| 8 | register | smallint | 5 | 0 | Y | N | 0 | 注册位置: |
| 9 | create_time | timestamp | 19 | 0 | N | N | CURRENT_TIMESTAMP | 创建时间: |
| 10 | update_time | timestamp | 19 | 0 | N | N | CURRENT_TIMESTAMP | 更新时间: |
从B/S架构的原理可知,旅游大数据可视化分析推荐系统的各大模块的实现均需要对数据库的数据进行操作,具体包括查询数据、写入数据、更新数据和删除数据,因此,在开发各功能模块前,首先创建一个名称"conn.Python"的文件,该文件主要用于连接数据,以后对程序需要操作数据时,可能使用语句"<?Python reqiure_once('conn.Python');?>"调用就可以了。
该文件的代码如下:
<?Python
error_reporting(0);
//数据库链接文件
$host='127.0.0.1';//数据库服务器
$user='root';//数据库用户名
$password='';//数据库密码
$database='Pythonxsschsg7555AE10';//数据库名
$conn=@mysql_connect($host,$user,$password) or die('数据库连接失败!');
@mysql_select_db($database) or die('没有找到数据库!');
主要由两部分组成,登录前的登录界面以及登录后的用户功能界面。登录界面,要求用户输入用户名和密码,当用户名和密码其中一个输入为空时,给出提示“用户名,密码不能为空”。获取用户名和密码后到数据库中查找,如果用户名存在,以及对应的密码正确,则登录成功,否则登录失败。登录失败后给出提示,并把焦点停在文本框中。登录成功后将该次会话的全局变量username设置为用户名。登录成功后进入会员的功能模块,主要有会员基本信息修改,已经发布景点信息查询,和退出功能。退出功能是清除全局变量username的值,并跳回到首页。
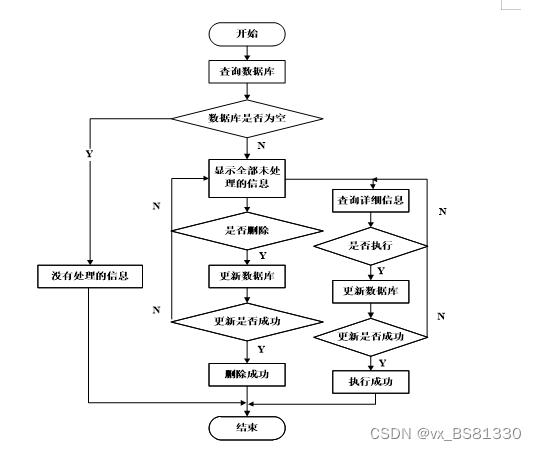
登录流程图如下图所示。
图5-1登录流程图
用户登录界面如下图所示。
图5-2用户登录界面
用户登录/注册成功之后可以修改自己的基本信息。修改页面的表单中每一个input的name值都要与实体类中的参数相匹配,在用户点击修改页面的时候,如果改后用户名与数据库里面重复了,页面会提示该用户名已经存在了,否则通过Id来查询用户,并将用户的信息修改为表单提交的数据。
-
- 旅游资讯模块的实现
如果旅游网站数据的信息需要修改,管理员可以通过查询旅游网站数据的基本信息来查询旅游网站数据,查询旅游网站数据是通过ajax技术来进行查询的,需要传递旅游网站数据的标题、编号等参数然后在返回到该页面中,可以选中要修改或删除的那条信息,如果选中了超过一条数据,页面会挑一个窗口提醒只能选择一条数,如果没有选中数据会挑一个窗口题型必须选择一条数据。当选择确认修改的时候,后台会根据传过来的id到数据库查询,并将结果返回到修改页面中,可以在修改页面中修改刚刚选中的信息当点击确认的时候from表单会将修改的数据提交到后台并保存到数据库中,就是说如果提交的数据数据库中存在就修改,否则就保存。
旅游资讯界面如下图所示。
图5-3旅游资讯界面
-
- 景点信息管理模块的实现
如果旅游网站数据的景点信息需要修改,管理员可以通过查询旅游网站数据的基本信息来查询旅游网站数据,查询旅游网站数据是通过ajax技术来进行查询的,需要传递旅游网站数据的标题、编号等参数然后在返回到该页面中,可以选中要修改或删除的那条信息,如果选中了超过一条数据,页面会挑一个窗口提醒只能选择一条数,如果没有选中数据会挑一个窗口题型必须选择一条数据。当选择确认修改的时候,后台会根据传过来的id到数据库查询,并将结果返回到修改页面中,可以在修改页面中修改刚刚选中的信息当点击确认的时候from表单会将修改的数据提交到后台并保存到数据库中,就是说如果提交的数据数据库中存在就修改,否则就保存。
景点信息管理界面如下图所示。
图5-4景点信息管理界面
-
- 图表分析模块的实现
此页面的关键是编写图表分析,包括分布详情等。单击提交按钮以完成信息的添加。如果未写入完整的图表分析,例如,如果未写入景点名称,系统将给出相应的错误提示,并且无法成功输入。数据以概念的形式以onsubmit =“return checkForm()”的形式写入以进行检查,checkForm()函数是一种用于写入数据的不同类型的校对方法,是不是为空也是经过form表单中的onsubmit=”return checkForm()来检查。
管理员点击左侧菜单“图表分析管理”,页面跳转到图表分析管理外观,调用后台房产查询所有图表分析。并将信息密封到数据集合List,绑定到请求对象,然后页面跳转到相应的Python页面,显示出图表分析,单击删除按钮完成图表分析的删除。
图表分析数据流程图如下图所示。
图5-4旅游网站数据流程图
图表分析数据导入界面如下图所示。
图5-6图表分析数据导入界面
图表可视化界面如下图所示:
图5-8图表可视化界面
数据统计管理页面可查看景点评级统计、景点评分、景点热度词云图、城市景点统计等信息操作。
图5-8数据统计界面
测试存在于软件开发进程中的最后一个阶段,它可以保证一个软件的开发质量是否符合设计者的初衷,也为程序的正式上线做了最后一道质量检测的工序。软件测试主要是控制各种条件、包括软件输出方式,使用模式和运行环境等,来评估一个系统或应用是否符合设计标准。在软件测试过程中,我们一般刻意的去制造错误和极端条件,不能仅依照正常模式允许,而是多去尝试那些意外的情况。
只有在运行和维护阶段之前经历大量的测试的软件,才能说明它的质量是经得起检验的。最近计算机业界也都一致认为,测试应该存在于软件设计的每个阶段,因为越早发现错误,修复起来就越容易。
实际上,对于一个软件应用,错误是必然存在的,无论使用何种技术或手段,都不可能绝对的排除软件漏洞。测试是随着软件开发一同诞生的,两者是共同发展进步的。实际上,测试可以大幅度的降低维护的成本,如果一个漏洞在开发的早期就被发现,那么修复它的成本远比上线后再修复的成本要低得多。
测试有白盒测试和黑盒测试两种方式。
其中,白盒测试是将软件看成一个透明的白盒子,按照程序的内部控制结构和处理技术逻辑来选定测试用例、软件系统测试的逻辑路径及过程需要进行管理测试,又称玻璃盒测试。因此白盒测试需要选择足够多的测试用例,覆盖尽可能多的代码来发现程序中的错误。
黑盒测试,也称为功能测试。它将需软件看作一个黑盒,像一个普通用户一样来模拟软件的使用流程。黑盒测试通过大量的输入边界值或错误数据,来检查是否可产生正确的输出。
本系统测试 主要选择黑盒测试,少量采用白盒测试。通过测试达到以下测试目的:
1.检查各大功能模块的运行,确保其能够正确运行,并检查各页面的完整性,保证页面完整。
2.检查各个接口是否可以正确地输入和输出,保证数据流通稳定可行。
3.检查数据结构,保证其和外部接口没有访问错误,访问顺利。
4.检查原计划的性能需求有没有完成,运行流畅。
本系统的测试用例(部分):
| 登录部分测试用例 | |||||
| 编号 | 对象 | 项目 | 操作 | 预期结果 | 结果 |
| 1 | 登录 | 登录提示 | 使用正确的账号密码登录 | 成功登录 | 预期结果 |
| 2 | 登录提示 | 使用正确的账号但错误的密码登录 | 提示密码错误 | 预期结果 | |
| 3 | 登录提示 | 使用错误的账号登录 | 提示不存在账户 | 预期结果 | |
| 4 | 登录提示 | 不输入账号,点击登录 | 提示输入账号 | 预期结果 | |
| 5 | 登录提示 | 输入账号但不输入密码点击登录 | 提示输入密码 | 预期结果 | |
| 6 | 登录入口 | 已登录账号,查看登录入口 | 不显示登录入口 | 预期结果 | |
处理器:Inter Core I7-4710MQ四核处理器
内存:4GB
硬盘:1T
操作系统:Windows 10
数据库:MySQL
6.4系统运行情况
全部测试用例都已通过(包括但不限于以上测试用例),且不存在漏洞,实现了论文开始时所作要求。本系统运行稳定,使用流畅,可以满足用户 需求。
6.5.1系统功能评价
试运行后进行系统评估,可以认为该系统达到预定的目标要求,可以满足用户的需求,也满足了系统开发前所作目标。
6.5.2系统技术评价
系统在经过大量重复测试后运行十分稳定,安全实用,功能模块已经达到预定目标所需。
6.5.3系统经济评价
在规定的时间内实现系统的大部分功能,且满足要求,节省开发成本,有助于提高科学管理水平,符合本人经济情况。
随着计算机互联网技术的迅猛发展,各行各业都已经实现采用计算机相关技术对日益放大的数据进行管理。该课题是旅游大数据可视化分析推荐系统为核心展开的,主要是为了实现图表分析化管理和用户浏览房产的需求。
旅游大数据可视化分析推荐系统的开发是以Python编程语言作为基础,在PythonStrom平台上完成编码工作,系统整体为B/S架构,数据库系统使用Mysql。文中详细分析了旅游大数据可视化分析推荐系统的研究背景、研究目的和意义、开发工具和相关技术以及系统需求、系统详细设计和系统测试等等一系列内容。系统实现了旅游大数据可视化分析推荐系统所需的一些基本功能,并通过测试对这些实现的功能进行了完善,进而提高了系统整体的实用性。整个系统的开发过程中大量使用了Python相关的知识以及前端开发使用的html和javascript等,同时涉及到了很多开源框架和组件,例如后台系统中运用的MVVM架构、Freemarker模板引擎等,前端运用的UI框架等。
系统投入运行时,各功能均运行正常。系统的每个界面的操作符合常规逻辑,对使用者来说操作简单,界面友好。整个系统的各个功能设计合理,体现了人性化。
但是由于自己在系统开发过程中对一些用到的相关知识和技术掌握不够牢固,再加上自身开发经验欠缺,因此系统在有些方面的功能还不够完善,考虑的不够全面,因此整个系统还有待日后逐步完善。
参考文献
[1]李同金.基于Python的端口扫描技术研究[J].电子世界,2022(02):38-39+42.DOI:10.19353/j.cnki.dzsj.2022.02.015.
[2]孙琳,徐文正.Python编程语言教学中问题分析能力培养的研究[J].产业与科技论坛,2022,21(04):182-183.
[3]高望.新工科背景下“Python语言基础”教学改革实践[J].科技与创新,2022(02):148-150+155.DOI:10.15913/j.cnki.kjycx.2022.02.044.
[4]彭文良,虞燕花.基于Python语言的文本数据流自适应分类方法[J].宁夏师范学院学报,2022,43(01):106-112.
[5]韦依洋,吴一凡,李永远.Python技术在数据可视化中的应用研究[J].福建电脑,2022,38(01):27-31.DOI:10.16707/j.cnki.fjpc.2022.01.007.
[6]戴成秋.Python语言程序设计课程混合式教学方案的设计[J].计算机教育,2022(01):162-166.DOI:10.16512/j.cnki.jsjjy.2022.01.037.
[7]秦维超,戴晓芬.Python编程学习中巧用开源硬件提升问题解决能力[J].中国信息技术教育,2022(01):62-63.
[8]许高建,徐浩宇.基于Python语言的类C编译器的设计与实现[J].洛阳理工学院学报(自然科学版),2021,31(04):78-84.
[9]辛凤阳,王忠鑫,田凤亮,赵明,曾祥玉,王金金.基于BS架构的露天矿连续工艺一体化管控平台设计与实现[J].金属矿山,2021(12):177-182.DOI:10.19614/j.cnki.jsks.202112027.
[10]Li Li. Employment Data Analysis based on Python Crawler Technology[C]//Proceedings of 4th International Workshop on Education Reform and Social Sciences (ERSS 2021).,2021:164-168.DOI:10.26914/c.cnkihy.2021.049800.
[11]方生.基于“MVVM”模式的“Web”前端的设计与实现[J].电脑知识与技术,2021,17(20):147-149.DOI:10.14004/j.cnki.ckt.2021.2004.
[12] Kate Egan and Jeffrey Andrew Weinstock, And Now for Something Completely Different: Critical Approaches to Monty Python[J]. Journal of British Cinema and Television,2021,18(3):
[13]Melchert Oliver,Demircan Ayhan. pyGLLE: A Python toolkit for solving the generalized Lugiato–Lefever equation[J]. SoftwareX,2021,15:
[14]刘紫薇. 基于MVVM设计模式的在线教育系统的设计与实现[D].北京邮电大学,2021.DOI:10.26969/d.cnki.gbydu.2021.002712.
[15]游俊慧.MVC、MVP、MVVM三种架构模式的对比[J].办公自动化,2020,25(22):11-12+27.
[16]李轩冰. 基于文本挖掘技术的网络热点房产系统的研建[D].北京林业大学,2020.DOI:10.26949/d.cnki.gblyu.2020.001181.
[17]温海标.MVVM模式及其应用研究[J].电脑知识与技术,2020,16(24):92-93.DOI:10.14004/j.cnki.ckt.2020.2683.
[18]杨保军.论房产规律的形式构成[J].未来传播,2019,26(01):2-12+120.DOI:10.13628/j.cnki.zjcmxb.2019.01.001.
[19]张红.新时代房产系统政工师工作如何创新[J].青年记者,2018(23):126-127.DOI:10.15997/j.cnki.qnjz.2018.23.081.
[20]李钊. 基于大数据的热点医疗房产系统的研究与实现[D].西北大学,2018.
.
致谢
本次设计历时3个月。在这个毕业设计中,它离不开指导教师的指导,使事情基本顺利。指导老师无论是在毕业设计历经中,还是在论文做完中都给了了我特别大的助益。另1个方面,教师认真负责的工作姿态,谨慎的教学精神厚重的理论水准都使我获益匪浅。他勤恳谨慎的教学育人学习姿态也给我留下了特别特别深的感觉。我从老师那里学到了很多东西。在理论和实践中,我的技能得到了特别大的提高。在此,特向教师表示由衷的感激。
经过对该毕业设计的全部研究和开发,我的系统研发经历了从需求分析到实现详细功能,再到最终测试和维护的特殊进展。让我对系统研发有了更深层次的认识。如今我的动手本领单独处理疑惑的本领也获取到了特别大的演练学习增多,这是这次毕业设计最好的收获。
最后,在整个系统开发过程中,我周围的同学和朋友给了我很多意见,所以我很快就确认了系统的商业思想。在次,我由衷的向他们表示感激。
本文围绕旅游大数据可视化分析推荐系统展开,分析了研究背景、意义,介绍相关技术如Python、flask框架、Mysql数据库等。阐述系统设计、实现过程,采用黑盒和少量白盒测试,系统运行稳定,功能、技术、经济方面均达预期,但仍有待完善。
290

被折叠的 条评论
为什么被折叠?



