摘 要
随着信息技术的快速发展,医疗行业的信息化建设逐渐成为提升医疗服务质量与效率的重要手段。传统的医疗预约和资源管理方式往往依赖人工操作,存在效率低、信息不对称等问题。因此,构建一个集医疗预约、信息管理、患者互动等功能于一体的智能系统,成为优化医疗服务和提高患者就医体验的必要途径。
本系统采用Spring Boot框架开发,提供一个高效、便捷的医疗预约平台,支持管理员和患者两大角色的功能需求。管理员可以通过系统进行用户管理(包括管理员和患者用户的管理)、医院信息与科室信息的维护、挂号记录与取消记录的管理、通知提醒、系统配置(如轮播图管理)、通知公告发布以及资源管理(如医疗资讯、资讯分类等)。此外,管理员还可以管理患者交流平台,促进患者与医生的互动。患者用户则可以通过系统首页浏览医院信息、科室信息、医疗资讯,参与交流论坛,查看通知公告,并在个人中心管理挂号记录、取消记录及收藏的医疗资讯,同时接收系统通知提醒。该系统通过功能模块的整合,提升了医疗服务的便捷性和患者的就医体验,提供了完整的医疗预约及信息管理解决方案。
关键词:医疗预约系统;Spring Boot框架;MySQL数据库;
Abstract
With the rapid development of information technology, the informatization construction of the medical industry has gradually become an important means to improve the quality and efficiency of medical services. Traditional medical appointment and resource management methods often rely on manual operations, which have problems such as low efficiency and information asymmetry. Therefore, building an intelligent system that integrates medical appointments, information management, patient interaction, and other functions has become a necessary way to optimize medical services and improve patients' medical experience.
This system is developed using the Spring Boot framework, providing an efficient and convenient medical appointment platform that supports the functional requirements of both administrators and patients. Administrators can manage users (including administrators and patient users), maintain hospital and department information, manage registration and cancellation records, provide notifications and reminders, configure the system (such as carousel management), publish notifications and announcements, and manage resources (such as medical information, information classification, etc.) through the system. In addition, administrators can also manage patient communication platforms to promote interaction between patients and doctors. Patient users can browse hospital information, department information, and medical information through the system homepage, participate in communication forums, view notification announcements, and manage registration records, cancellation records, and collected medical information in the personal center, while receiving system notification reminders. The system enhances the convenience of medical services and patients' medical experience through the integration of functional modules, providing a complete solution for medical appointments and information management.
Keywords: medical appointment system; Spring Boot framework; MySQL database;
目 录
1 前 言
1.1研究背景
随着社会的不断发展与人口老龄化问题的日益严峻,医疗资源的有效配置与优化已经成为各国亟待解决的重大问题。在中国,医疗系统长期存在资源分配不均、看病难、看病贵等问题,尤其是在大城市中,医院的就诊压力巨大,患者常常面临排长队、预约困难等困扰。尤其是在急诊、热门科室及专家门诊等领域,传统的人工挂号方式已无法满足现代社会快速发展的需求。
在这一背景下,医疗预约系统作为一种创新的服务模式,逐渐被应用于各类医院和医疗机构,成为提高医疗服务效率和患者就医体验的重要工具。医疗预约系统不仅为患者提供了更加便捷的挂号途径,减少了医院的排队压力,还通过合理安排就诊时间和资源,提升了医疗资源的利用率。然而,尽管一些医院已经实施了预约挂号的模式,但在实际操作中,仍然存在一些问题,例如系统功能不完善、用户体验差、信息流通不畅等。这些问题限制了医疗预约系统的普及与推广,影响了其在更广泛范围内的应用。
为了解决上述问题,医疗预约系统需要进一步优化其功能,增强其管理效率和服务水平。除了基本的挂号、排队等功能,系统还需要包括患者的个人信息管理、就诊记录查询、通知提醒、科室信息更新等多元化的功能。同时,管理员还需掌握医院信息、科室资源、挂号记录、患者反馈等重要数据,进而优化医院的服务流程和管理策略。
因此,设计一个更加全面和智能的医疗预约系统,通过细化患者和管理员的需求,探讨如何通过信息化手段提升医疗服务的效率与质量,从而推动医疗行业的现代化进程,并为医院和患者之间的沟通搭建一个更加高效和便捷的桥梁。
1.2研究意义
随着医疗需求的增加,传统的人工挂号模式已无法满足现代社会对医疗服务的需求,导致医院门诊拥挤、就诊等待时间长等问题。医疗预约系统的实施能够提高医疗资源的利用效率,减少患者等待时间,优化医院的运营管理,尤其在大城市和大型医院中,能够有效缓解就诊压力。
此外,医疗预约系统能够显著改善患者的就医体验。患者通过在线预约和查询功能,可以方便地选择医生、预约时间,避免了繁琐的排队过程,同时增强了个人健康管理的便捷性。对于医院管理者而言,系统提供的数据信息能够帮助合理安排资源,优化工作流程,提高管理效率。
1.3国内外研究现状
在国内,医疗预约系统的研究与应用近年来得到了广泛关注,尤其是在智能化和信息化的背景下,许多医院和研究机构积极探索不同类型的预约系统,以提升医疗资源的配置效率和患者就医体验。随着“互联网+医疗健康”理念的提出,越来越多的医院开始通过线上平台、移动端应用以及智能化手段来优化预约流程。
国内研究主要集中在不同医疗服务场景下的预约系统设计与优化。例如,洪益荣和陈乃共(2024)提出了基于预住院模式的“一体化床位预约系统”,通过对床位预约流程的优化,提高了床位使用率并改善了患者的就医体验[1]。另外,李娇雅等(2024)设计了基于微信小程序的远程医疗预约系统,使患者能够在家中进行在线医疗与预约,从而提高了就诊效率[2]。在检查预约方面,杨洋等(2023)提出了基于知识库引擎的自助检查预约系统,通过算法的优化,减少了患者排队时间,提升了医院运作效率[3]。此外,姚远和费晓璐(2022)则针对医疗检查的高效管理,设计了一站式精准预约系统,整合了多种检查模式和冲突检测机制,从而有效缩短了患者等待时间,提升了患者满意度[4]。
随着技术的发展,更多的医院开始关注患者的个性化需求以及预约系统的智能化设计。例如,张娇(2020)结合Android平台开发了一个便捷的医院预约系统,用户可以通过该系统查看号源、进行挂号和预约,有效减少了排队时间并优化了医院的资源分配[5]。国内的研究普遍强调系统集成和用户体验的提升,旨在解决传统就医模式中的时间和空间问题,提高医疗资源的利用率。
国外在医疗预约系统方面的研究与应用起步较早,尤其是在信息化和智能化医疗的推动下,许多先进国家的医院已实现了基于电子健康记录(EHR)和移动应用的全方位预约管理系统。这些系统不仅提升了医疗服务的效率,也为患者提供了更为便捷的就诊选择。
在欧美等发达国家,医疗预约系统的研究主要集中在多维度的信息整合与系统调度优化上。例如,美国的多个医院已开发出集成化的医疗预约系统,结合人工智能和大数据分析技术,能够根据患者的历史记录、健康状况和个人偏好,推荐最合适的预约时间和科室安排。此外,许多研究还关注如何通过优化预约流程来缓解医院资源的过度集中和患者的就医等待时间。如在英国,国家健康服务(NHS)已广泛应用数字化预约系统,通过互联网平台进行预约,不仅简化了预约流程,还提高了医疗资源的配置效率。
此外,欧洲一些国家也探索了远程医疗预约系统。例如,芬兰和瑞典等国通过在线平台和移动应用,使患者能够便捷地预约各类医疗服务,并通过视频咨询等远程医疗手段,减少了患者的就诊等待时间,提高了就医的可达性。在系统优化方面,国外研究者也注重系统的智能调度与动态调整。例如,在门诊预约中,针对突发情况如临时患者的增加,采用基于预测模型的动态调整策略,以更高效地调配医疗资源,减少患者的等待时间。
总的来说,国外的医疗预约系统研究较为成熟,系统功能不仅限于预约挂号,还包括健康数据的整合、智能推荐和动态调度等方面。而国内的研究更多集中在系统的初步设计和局部优化,尚有待进一步的技术突破和系统集成,尤其是在远程医疗和智能化方面,仍有很大的发展空间。
1.4论文结构与章节安排
本文共分为七章,章节内容安排如下:
第一章:前言,主要介绍医疗预约系统领域研究的背景和意义,概述研究的现状和系统特点。
第二章:关键技术,主要探讨和说明实现医疗预约系统的关键技术。
第三章:系统分析,主要从医疗预约系统的可行性、功能、性能等方面进行分析,为后续系统设计提供理论支持。
第四章:系统设计,主要对医疗预约系统功能模块、数据库进行功能设计。
第五章:系统实现,主要介绍了医疗预约系统各个顾客用户的功能、系统界面的实现。
第六章:系统测试,主要对医疗预约系统进行测试,验证功能完整性、稳定性和安全性,评估系统在实际运行中的性能表现。
第七章:结束语。总结全文研究内容,提出对医疗预约系统领域未来发展的展望和建议,指出研究的不足和可优化之处,为相关领域的进一步探索提供参考。
2 关键技术
2.1Java
Java是一种跨平台的编程语言,广泛用于开发各种类型的应用程序,包括Web应用、移动应用和大型软件系统。医疗预约系统中,Java通常用于后端开发,提供强大的处理能力和稳定性。同时Java是一种面向对象的编程语言,支持封装、继承和多态等特性,使代码更易于维护和重用。还拥有丰富的标准库和第三方框架,如Spring、Hibernate等,可以大大提高开发效率。
2.2B/S模式
B/S模式(Browser/Server模式)是一种网络应用架构,其中浏览器(Browser)作为客户端与服务器(Server)进行通信[6] 。这种模式使用户可以通过普通的Web浏览器访问应用程序,而无需安装额外的客户端软件。用户通过浏览器发送请求,服务器接收并处理这些请求,然后将结果返回给浏览器显示给用户。医疗预约系统中,Spring Boot结合B/S模式的优势包括跨平台的兼容性,用户可以在不同操作系统和设备上访问应用程序[7] 。维护和部署也更为简便,并且能够实现较高的安全性,因为服务器端控制了应用程序和数据的访问权限。
2.3Spring Boot框架
Spring Boot是一个用于构建微服务的Java框架,简化了Spring应用程序的开发和部署过程[8] 。Spring Boot通过自动配置和约定优于配置的理念,简化了Spring应用程序的开发过程,使开发者可以更快地构建和部署应用程序。拥有丰富的生态系统,如Spring Cloud、Spring Security等,可以满足各种企业级应用的需求[9] 。医疗预约系统中,Spring Boot可以帮助开发团队快速搭建后端服务,并实现各种功能模块的集成和管理。
2.4MySQL
MySQL是一种流行的开源关系型数据库管理系统,用于存储和管理数据。医疗预约系统中,MySQL可以用于数据存储、数据查询和数据管理等方面,用户可以免费使用和修改源代码,为平台提供可靠和高性能的数据库支持[10]。MySQL支持多种存储引擎,如InnoDB和MyISAM,可以根据不同的应用场景选择合适的存储引擎,提高性能;提供了多种数据安全机制,如用户权限管理、数据加密和备份恢复等,保证数据的安全性[14]。
3 系统分析
3.1可行性分析
3.1.1技术可行性
从技术角度来看,Spring Boot作为一种轻量级、快速构建的Java框架,能够提高开发效率,降低系统的复杂程度,易于维护和升级。MySQL作为关系型数据库,能够支持平台数据的存储与管理,保障系统的稳定性和高效性。因此,本系统具有技术可行性。
3.1.2经济可行性
从经济角度来看,基于Spring Boot搭建医疗预约系统的投入成本相对较低,因为Spring Boot本身是一个免费、开源的框架,可以节省开发成本。使用MySQL作为数据库也具有成本效益高的优势。因此,本系统具有经济可行性。
3.1.3操作可行性
从操作角度来看,Spring Boot的简洁性和高度集成的特点使得系统的部署和运行相对简单,容易维护和管理的同时,能够提供一个界面直观友好和操作简单高效的系统,能满足用户的各项要求,方便用户快速上手使用。因此,本系统具有操作可行性。
3.1.4运行可行性
从运行角度来看,正因为本系统是在服务器的基础上开发的,系统开发成功以后,用户无需导航指导便可自己上手进行操作。系统一经开发测试后,在计算机移动客户端能上网的情况下,只需在浏览器里完成所有可用操作,也无需配置复杂的使用和运行环境,只需一个网址便可进入系统。因此,本系统具有运行可行性。
综合来看,基于Spring Boot的医疗预约系统的设计与实现在经济、技术、操作、运行等方面都具有较高的可行性,能够为用户提供便捷的服务,促进共建共享的理念。
3.2功能需求分析
本医疗预约系统设计分为两个主要用户角色:患者和管理员。以下是对每个角色的功能需求的详细描述。
(1)用户功能模块
- 用户注册与登录:用户可通过填写个人信息注册,并设置密码进行登录。
- 通知公告:用户能够查看系统发布的最新通知和公告。
- 医疗资讯:用户可以查看最新的医疗相关医疗资讯。
- 医院信息:用户能够浏览医院信息,并可以对医院信息进行关键词搜索,点进某一个医院信息可以进行点赞收藏及评论。
- 科室信息:用户能够浏览医科室信息,并可以对科室信息进行关键词搜索,点进某一个科室信息可以进行点赞收藏及评论以及挂号操作。
个人中心:用户点击个人中心可以对挂号记录、取消记录、通知提醒、收藏功能进行详情操作
(3)管理员功能模块
- 系统用户管理:管理员可以查看、编辑和删除系统用户(包括管理员和患者用户)的基本信息、权限等。
- 医院信息管理:管理医院的基本信息,包括医院名称、地址、联系方式等。
- 科室信息管理:管理科室的基本信息,如科室名称、科室医生、科室介绍等。
- 挂号记录管理:查看和管理患者挂号记录,包括挂号状态、就诊时间、挂号科室等信息。
- 取消记录管理:处理和记录患者取消挂号的请求,更新相关信息。
- 通知提醒:管理员可发布系统消息或提醒患者相关事项。
- 系统管理(轮播图、公告等):管理系统首页轮播图、公告发布及管理,确保首页信息及时更新。
- 资源管理:管理医疗资讯内容及其分类,确保资讯信息的准确性与时效性。
- :交流管理:处理用户的留言或投诉。
患者用户角色用例如图3-1所示。

图3-1患者用户用例图
管理员角色用例如3-2所示。

图3-3 管理人员用例图
3.3系统非功能性需求分析
非功能性分析是系统设计的重要组成部分,其目标是保证系统在各种负载条件下的高效、稳定和可靠。对于医疗预约系统的设计与实现,系统非功能性需求分析表如表3-1所示。
表3-1 非功能性需求表
| 项目 | 内容 |
| 性能 | 系统应支持至少500个并发用户访问,响应时间不超过2秒 |
| 安全性 | 用户数据需加密,系统应具备防攻击机制(如SQL注入、XSS防护) |
| 可用性 | 系统年可用性应达到99.5%,保证大部分时间能够正常访问 |
| 可维护性 | 代码易于阅读与修改,文档齐全,便于后期维护和功能扩展 |
| 扩展性 | 系统架构应支持后续功能的扩展,易于添加新模块或功能 |
| 兼容性 | 系统应支持主流浏览器(如Chrome、Firefox、Safari) |
| 用户体验 | 界面友好、简洁,操作应当简便,避免用户困惑 |
3.4系统流程分析
3.4.1程序操作流程
用户访问平台网站,可以选择进行注册或登录操作。注册成功后,用户可以使用注册的账号登录平台。登录后的用户可以进入系统功能界面,使用自己权限内的功能操作。程序操作流程图如图3-4所示。

图3-4 程序操作流程图
3.4.2登录流程
用户访问平台的网站,进入登录页面页面,入其用户名和密码,后端服务接收登录请求,验证用户提供的用户名和密码是否匹配数据库中存储的信息,验证通过即可登录成功。登录流程图如图3-5所示。

图3-5 登录流程图
3.4.3注册流程
未有账号的用户可进入注册界面进行注册操作,填写注册表格,包括用户名、密码、电子邮件等必要信息。后台系统验证并保存用户提交的信息。分配唯一用户标识符。注册成功后,用户可以使用账号密码进行登录。用户注册流程图如图3-6所示。

图3-6 注册流程图
4 系统设计
4.1系统架构设计
本项目采用B/S架构,遵循MVC设计思想,采用前后端分离的方式进行架构搭建。系统主要由表示层、控制层、业务逻辑层和数据层构成,系统架构如图4-1所示。

图4-1 系统整体架构图
系统使用Spring Boot与Vue框架进行搭建,架构分为视图层、控制层、业务逻辑层、数据持久层和数据库服务器。视图层利用Vue框架和Element UI界面渲染工具构建前端页面,前端页面通过HTTP协议发送请求至控制层。控制层与业务逻辑层通过Spring Boot框架搭建,控制层接收前端请求,进行解析和数据校验,将数据传递至Service层进行业务逻辑处理。业务处理完成后,通过数据持久层访问数据库服务器,执行数据库操作,最终将结果返回至控制层,并传递至前端进行页面处理。
4.2系统功能模块设计
根据系统分析,医疗预约系统后台管理端设计为登录、医院信息管理、科室信息管理、挂号记录管理、取消记录管理、通知提醒管理、通知公告管理和资源管理等,其中管理员可以对系统的所有模块进行管理。用户端通过电脑浏览器访问系统,用户端设计的功能模块有登录或注册、交流论坛、通知公告、医疗资讯、医院信息、挂号记录和取消记录信息等。整个系统的功能模块设计如图4-2所示。

图4-2 系统功能模块图
4.3数据库设计
数据库设计是一种用于创建数据库结构的过程,通过需求分析确定数据类型和操作需求,并使用实体-关系图表达数据的实体、属性及其关系,形成概念模型[10] 。在此基础上,将概念模型转化为特定数据库系统可识别的逻辑模型,确定表结构、字段、数据类型及约束关系。数据库设计通常分为概念设计、逻辑设计两个阶段。
4.3.1概念设计
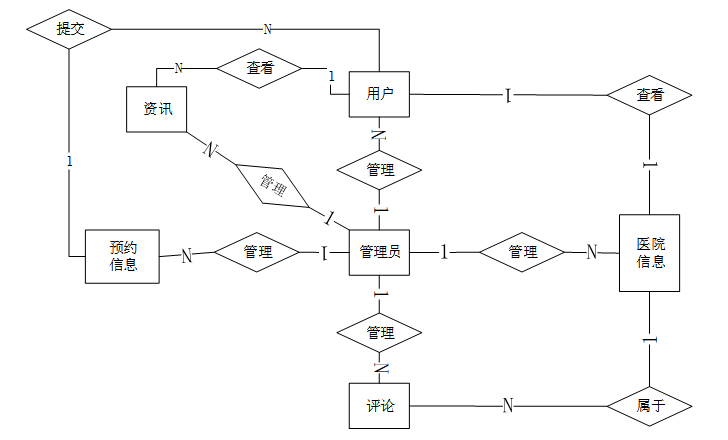
概念设计作为数据库设计的关键环节,通过高层次的抽象描述系统中的数据结构和关系,明确系统的数据需求。通常采用E-R图来展现数据的实体、属性及关系,形成逻辑完整的模型,更加清晰地表达和传达设计意图。在该阶段,需要确定关键数据实体,定义属性并表达关系类型,为数据库的逻辑设计和物理设计奠定必要基础。以下是系统总体E-R图。
医疗预约系统总E-R图如下图4-3所示

图4-3医疗预约系统总E-R图
4.3.2逻辑设计
逻辑设计是数据库设计中的关键环节,主要任务是将概念设计中的抽象模型转化为数据库管理系统可识别的结构,确定表结构、字段名称、数据类型、主键和外键等要素,从而构建数据的逻辑框架。逻辑设计明确了数据的存储方式和关联规则,维持数据一致性与完整性,并提升查询与管理的效率。以下是系统的数据库表设计。
| 编号 | 名称 | 数据类型 | 长度 | 小数位 | 允许空值 | 主键 | 默认值 | 说明 |
| 1 | cancel_record_id | int | 10 | 0 | N | Y | 取消记录ID | |
| 2 | department_name | varchar | 64 | 0 | Y | N | 科室名称 | |
| 3 | doctors_name | varchar | 64 | 0 | Y | N | 医生姓名 | |
| 4 | registration_fee | double | 9 | 2 | Y | N | 0.00 | 挂号费用 |
| 5 | patient_users | int | 10 | 0 | Y | N | 0 | 患者用户 |
| 6 | patient_name | varchar | 64 | 0 | Y | N | 患者姓名 | |
| 7 | patient_gender | varchar | 64 | 0 | Y | N | 患者性别 | |
| 8 | patient_age | varchar | 64 | 0 | Y | N | 患者年龄 | |
| 9 | patients_phone_number | varchar | 64 | 0 | Y | N | 患者电话 | |
| 10 | id_number | varchar | 64 | 0 | Y | N | 身份证号 | |
| 11 | registration_date | date | 10 | 0 | Y | N | 挂号日期 | |
| 12 | reason_for_cancellation | text | 65535 | 0 | Y | N | 取消原因 | |
| 13 | cancel_status | varchar | 64 | 0 | Y | N | 取消状态 | |
| 14 | cancel_reply | text | 65535 | 0 | Y | N | 取消回复 | |
| 15 | create_time | datetime | 19 | 0 | N | N | CURRENT_TIMESTAMP | 创建时间 |
| 16 | update_time | timestamp | 19 | 0 | N | N | CURRENT_TIMESTAMP | 更新时间 |
| 17 | source_table | varchar | 255 | 0 | Y | N | 来源表 | |
| 18 | source_id | int | 10 | 0 | Y | N | 来源ID | |
| 19 | source_user_id | int | 10 | 0 | Y | N | 来源用户 |
表department_information (科室信息)
| 编号 | 名称 | 数据类型 | 长度 | 小数位 | 允许空值 | 主键 | 默认值 | 说明 |
| 1 | department_information_id | int | 10 | 0 | N | Y | 科室信息ID | |
| 2 | department_name | varchar | 64 | 0 | Y | N | 科室名称 | |
| 3 | doctors_name | varchar | 64 | 0 | Y | N | 医生姓名 | |
| 4 | professional_field | varchar | 64 | 0 | Y | N | 专业领域 | |
| 5 | registration_fee | double | 9 | 2 | Y | N | 0.00 | 挂号费用 |
| 6 | on_duty_time | varchar | 64 | 0 | Y | N | 在岗时间 | |
| 7 | department_location | varchar | 64 | 0 | Y | N | 科室位置 | |
| 8 | cover_photo | varchar | 255 | 0 | Y | N | 封面图片 | |
| 9 | doctor_introduction | text | 65535 | 0 | Y | N | 医生简介 | |
| 10 | department_introduction | longtext | 2147483647 | 0 | Y | N | 科室介绍 | |
| 11 | praise_len | int | 10 | 0 | N | N | 0 | 点赞数 |
| 12 | registration_record_limit_times | int | 10 | 0 | N | N | 0 | 挂号限制次数 |
| 13 | create_time | datetime | 19 | 0 | N | N | CURRENT_TIMESTAMP | 创建时间 |
| 14 | update_time | timestamp | 19 | 0 | N | N | CURRENT_TIMESTAMP | 更新时间 |
| 编号 | 名称 | 数据类型 | 长度 | 小数位 | 允许空值 | 主键 | 默认值 | 说明 |
| 1 | forum_id | mediumint | 8 | 0 | N | Y | 论坛id | |
| 2 | display | smallint | 5 | 0 | N | N | 100 | 排序 |
| 3 | user_id | mediumint | 8 | 0 | N | N | 0 | 用户ID |
| 4 | nickname | varchar | 16 | 0 | Y | N | 昵称:[0,16] | |
| 5 | praise_len | int | 10 | 0 | Y | N | 0 | 点赞数 |
| 6 | hits | int | 10 | 0 | N | N | 0 | 访问数 |
| 7 | title | varchar | 125 | 0 | N | N | 标题 | |
| 8 | keywords | varchar | 125 | 0 | Y | N | 关键词 | |
| 9 | description | varchar | 255 | 0 | Y | N | 描述 | |
| 10 | url | varchar | 255 | 0 | Y | N | 来源地址 | |
| 11 | tag | varchar | 255 | 0 | Y | N | 标签 | |
| 12 | img | text | 65535 | 0 | Y | N | 封面图 | |
| 13 | content | longtext | 2147483647 | 0 | Y | N | 正文 | |
| 14 | create_time | timestamp | 19 | 0 | N | N | CURRENT_TIMESTAMP | 创建时间: |
| 15 | update_time | timestamp | 19 | 0 | N | N | CURRENT_TIMESTAMP | 更新时间: |
| 16 | avatar | varchar | 255 | 0 | Y | N | 发帖人头像: | |
| 17 | type | varchar | 64 | 0 | N | N | 0 | 论坛分类:[0,1000]用来搜索指定类型的论坛帖 |
| 18 | istop | int | 10 | 0 | N | N | 0 | 是否置顶 |
| 编号 | 名称 | 数据类型 | 长度 | 小数位 | 允许空值 | 主键 | 默认值 | 说明 |
| 1 | type_id | smallint | 5 | 0 | N | Y | 分类ID:[0,10000] | |
| 2 | name | varchar | 16 | 0 | N | N | 分类名称:[2,16] | |
| 3 | description | varchar | 255 | 0 | Y | N | 描述:[0,255]描述该分类的作用 | |
| 4 | url | varchar | 255 | 0 | Y | N | 外链地址:[0,255]如果该分类是跳转到其他网站的情况下,就在该URL上设置 | |
| 5 | father_id | smallint | 5 | 0 | N | N | 0 | 上级分类ID:[0,32767] |
| 6 | icon | varchar | 255 | 0 | Y | N | 分类图标: | |
| 7 | create_time | timestamp | 19 | 0 | N | N | CURRENT_TIMESTAMP | 创建时间: |
| 8 | update_time | timestamp | 19 | 0 | N | N | CURRENT_TIMESTAMP | 更新时间: |
| 编号 | 名称 | 数据类型 | 长度 | 小数位 | 允许空值 | 主键 | 默认值 | 说明 |
| 1 | hospital_information_id | int | 10 | 0 | N | Y | 医院信息ID | |
| 2 | hospital_name | varchar | 64 | 0 | Y | N | 医院名称 | |
| 3 | hospital_level | varchar | 64 | 0 | Y | N | 医院等级 | |
| 4 | hospital_phone_number | varchar | 64 | 0 | Y | N | 医院电话 | |
| 5 | area_covered | varchar | 64 | 0 | Y | N | 占地面积 | |
| 6 | hospital_address | varchar | 64 | 0 | Y | N | 医院地址 | |
| 7 | cover_photo | varchar | 255 | 0 | Y | N | 封面图片 | |
| 8 | hospital_introduction | longtext | 2147483647 | 0 | Y | N | 医院介绍 | |
| 9 | praise_len | int | 10 | 0 | N | N | 0 | 点赞数 |
| 10 | create_time | datetime | 19 | 0 | N | N | CURRENT_TIMESTAMP | 创建时间 |
| 11 | update_time | timestamp | 19 | 0 | N | N | CURRENT_TIMESTAMP | 更新时间 |
| 编号 | 名称 | 数据类型 | 长度 | 小数位 | 允许空值 | 主键 | 默认值 | 说明 |
| 1 | notification_reminder_id | int | 10 | 0 | N | Y | 通知提醒ID | |
| 2 | department_name | varchar | 64 | 0 | Y | N | 科室名称 | |
| 3 | doctors_name | varchar | 64 | 0 | Y | N | 医生姓名 | |
| 4 | registration_fee | double | 9 | 2 | Y | N | 0.00 | 挂号费用 |
| 5 | patient_users | int | 10 | 0 | Y | N | 0 | 患者用户 |
| 6 | patient_name | varchar | 64 | 0 | Y | N | 患者姓名 | |
| 7 | patient_gender | varchar | 64 | 0 | Y | N | 患者性别 | |
| 8 | patient_age | varchar | 64 | 0 | Y | N | 患者年龄 | |
| 9 | patients_phone_number | varchar | 64 | 0 | Y | N | 患者电话 | |
| 10 | id_number | varchar | 64 | 0 | Y | N | 身份证号 | |
| 11 | notification_date | date | 10 | 0 | Y | N | 通知日期 | |
| 12 | notification_content | text | 65535 | 0 | Y | N | 通知内容 | |
| 13 | create_time | datetime | 19 | 0 | N | N | CURRENT_TIMESTAMP | 创建时间 |
| 14 | update_time | timestamp | 19 | 0 | N | N | CURRENT_TIMESTAMP | 更新时间 |
| 15 | source_table | varchar | 255 | 0 | Y | N | 来源表 | |
| 16 | source_id | int | 10 | 0 | Y | N | 来源ID | |
| 17 | source_user_id | int | 10 | 0 | Y | N | 来源用户 |
| 编号 | 名称 | 数据类型 | 长度 | 小数位 | 允许空值 | 主键 | 默认值 | 说明 |
| 1 | patient_users_id | int | 10 | 0 | N | Y | 患者用户ID | |
| 2 | patient_name | varchar | 64 | 0 | Y | N | 患者姓名 | |
| 3 | patient_gender | varchar | 64 | 0 | Y | N | 患者性别 | |
| 4 | patient_age | varchar | 64 | 0 | Y | N | 患者年龄 | |
| 5 | patients_phone_number | varchar | 16 | 0 | Y | N | 患者电话 | |
| 6 | id_number | varchar | 255 | 0 | Y | N | 身份证号 | |
| 7 | examine_state | varchar | 16 | 0 | N | N | 已通过 | 审核状态 |
| 8 | user_id | int | 10 | 0 | N | N | 0 | 用户ID |
| 9 | create_time | datetime | 19 | 0 | N | N | CURRENT_TIMESTAMP | 创建时间 |
| 10 | update_time | timestamp | 19 | 0 | N | N | CURRENT_TIMESTAMP | 更新时间 |
| 编号 | 名称 | 数据类型 | 长度 | 小数位 | 允许空值 | 主键 | 默认值 | 说明 |
| 1 | registration_record_id | int | 10 | 0 | N | Y | 挂号记录ID | |
| 2 | department_name | varchar | 64 | 0 | Y | N | 科室名称 | |
| 3 | doctors_name | varchar | 64 | 0 | Y | N | 医生姓名 | |
| 4 | registration_fee | double | 9 | 2 | Y | N | 0.00 | 挂号费用 |
| 5 | patient_users | int | 10 | 0 | Y | N | 0 | 患者用户 |
| 6 | patient_name | varchar | 64 | 0 | Y | N | 患者姓名 | |
| 7 | patient_gender | varchar | 64 | 0 | Y | N | 患者性别 | |
| 8 | patient_age | varchar | 64 | 0 | Y | N | 患者年龄 | |
| 9 | patients_phone_number | varchar | 64 | 0 | Y | N | 患者电话 | |
| 10 | id_number | varchar | 64 | 0 | Y | N | 身份证号 | |
| 11 | registration_date | date | 10 | 0 | Y | N | 挂号日期 | |
| 12 | registration_remarks | text | 65535 | 0 | Y | N | 挂号备注 | |
| 13 | registration_status | varchar | 64 | 0 | Y | N | 挂号状态 | |
| 14 | registered_reply | text | 65535 | 0 | Y | N | 挂号回复 | |
| 15 | pay_state | varchar | 16 | 0 | N | N | 未支付 | 支付状态 |
| 16 | pay_type | varchar | 16 | 0 | Y | N | 支付类型: 微信、支付宝、网银 | |
| 17 | cancel_record_limit_times | int | 10 | 0 | N | N | 1 | 取消挂号限制次数 |
| 18 | notification_reminder_limit_times | int | 10 | 0 | N | N | 0 | 发送提醒限制次数 |
| 19 | create_time | datetime | 19 | 0 | N | N | CURRENT_TIMESTAMP | 创建时间 |
| 20 | update_time | timestamp | 19 | 0 | N | N | CURRENT_TIMESTAMP | 更新时间 |
| 21 | source_table | varchar | 255 | 0 | Y | N | 来源表 | |
| 22 | source_id | int | 10 | 0 | Y | N | 来源ID | |
| 23 | source_user_id | int | 10 | 0 | Y | N | 来源用户 |
5 系统实现
5.1用户功能模块实现
用户登录后,点击“医疗资讯”进入模块。在医疗资讯首页,可以查看所有发布的新闻,点击任意新闻标题以查看详细内容。页面下方有“评论”和“点赞”按钮,点击评论按钮后可以进行评论。用户填写标题和内容,选择相关标签,点击“提交”按钮发布评论。交流论坛功能效果图如图5-1所示。

图5-1 医疗资讯功能效果图
5.1.2通知公告
用户在主页点击“通知公告”进入通知列表。每条通知以标题和发布日期显示,用户可以点击标题查看详细内容。用户可以通过搜索框输入关键词,快速找到相关公告。通知公告功能效果图如图5-2所示。

图5-2通知公告功能效果图
进入“科室信息”后,用户会看到所有科室的信息。显示科室照片、基本信息。用户点击具体科室后,将进入详细信息页面,用户可以查看更多详细描述。若希望预约科室,用户需点击“挂号”按钮,填写信息并提交。科室信息功能效果图如图5-3所示。

图5-3 科室信息功能效果图
5.2管理员功能模块实现
管理员登录后,进入“科室信息管理”模块。在列表中,可以查看所有科室信息,点击任意条目进入编辑页面。管理员可更新预约状态、修改科室信息或删除不再适用的条目。更改完成后,需点击“保存”按钮,确认修改。科室信息管理功能效果图如图5-4所示。

图5-4 科室信息管理功能效果图
在“挂号记录管理”中,管理员可查看所有挂号列表。点击“某一条挂号信息”按钮进入详情页面,可查看详情,支付,取消挂号,发送提醒等,挂号记录管理功能效果图如图5-5所示。

图5-5挂号记录管理功能效果图
进入“取消记录管理”后,管理员可以查看所有取消记录。每条记录包括预约取消时间。管理员可选择特定记录点击查看详情,必要时可进行更新或删除操作。取消记录管理功能效果图如图5-6所示。

图5-6取消记录管理功能效果图
5.3.4通知公告管理
管理员在“通知公告管理”模块可发布新公告。点击“添加”按钮,填写标题和内容后点击“发布”。管理员还可以查看和编辑已有公告,必要时删除不再适用的公告。通知公告管理功能效果图如图5-7所示。

图5-7通知公告管理功能效果图
5.3.5资源管理
在“资源管理”中,管理员可查看系统内所有新闻。管理员也可以对医疗资讯和新闻类型进行管理进行管理。资源管理功能效果图如图5-8所示。

图5-8资源管理功能效果图
6 系统测试
6.1测试目的
软件测试的目的在于识别系统缺陷,验证软件对需求的符合程度,使其功能、性能和安全性达到设计标准[11] 。在开发过程中,测试能够及时发现潜在问题,降低发布后出现故障的风险。测试不仅关注系统的正常运行,还模拟各种异常情况,评估在不同环境和边界条件下的表现,从而提升软件的可靠性和稳定性,为用户提供更高质量的产品体验,增强信任感。测试过程中的数据和经验积累能完善测试策略,改进开发流程,成为后续项目的参考。软件测试贯穿开发生命周期,是实现产品质量和发布标准的重要环节。
6.2测试方法
测试方法是一系列用于评估和验证产品、软件或系统性能的技术和程序[17] 。这些方法根据测试目标的不同,可以划分为黑盒测试、白盒测试和灰盒测试等多种类型。黑盒测试关注输入和输出,不涉及内部逻辑结构。白盒测试深入代码和系统内部结构,检查程序流程和逻辑错误。灰盒测试介于两者之间,对内部结构有部分了解。其他方法还包括自动化测试、手动测试、性能测试和安全测试,各自具有特定的应用场景和优势。性能测试检验系统的响应时间和稳定性,安全测试识别潜在的安全漏洞。选择适当的测试方法能够有效发现问题,提高产品的质量和可靠性。
6.3测试内容
系统采用黑盒测试对系统功能进行测试,以下是测试的详细用例表。
表6-1 评论功能测试用例表
| 测试目的 | 验证评论功能 |
| 测试条件 | 用户已登录 |
| 测试步骤 | 1. 登录系统。 2. 进入展览评论模块。 3. 发布评论。 4. 回复他人评论。 5. 删除自己的评论。 |
| 预期效果 | 能成功发布、回复和删除评论 |
| 实际效果 | 与预期结果一致 |
| 结论 | 测试通过 |
表6-2 医院信息功能测试用例表
| 测试目的 | 验证医院信息功能 |
| 测试条件 | 用户已登录 |
| 测试步骤 | 1. 登录系统。 2. 进入医院信息模块。 3. 浏览医院信息列表。 4. 点击查看详细信息。 |
| 预期效果 | 能正常查看医院信息息 |
| 实际效果 | 与预期结果一致 |
| 结论 | 测试通过 |
表6-3 挂号记录功能测试用例表
| 测试目的 | 验证挂号记录功能 |
| 测试条件 | 用户已登录 |
| 测试步骤 | 1. 登录系统。 2. 进入挂号记录模块。 3. 浏览挂号记录列表。 4. 点击查看详细信息。 |
| 预期效果 | 能正常查看挂号记录 |
| 实际效果 | 与预期结果一致 |
| 结论 | 测试通过 |
表6-4 取消记录功能测试用例表
| 测试目的 | 验证取消记录功能 |
| 测试条件 | 用户已登录 |
| 测试步骤 | 1. 登录系统。 2. 进入取消记录模块。 3. 浏览取消记录列表。 4. 点击查看具体内容。 |
| 预期效果 | 能正常查看知识内容 |
| 实际效果 | 与预期结果一致 |
| 结论 | 测试通过 |
表6-5 科室信息管理功能测试用例表
| 测试目的 | 验证科室信息管理功能 |
| 测试条件 | 管理员已登录 |
| 测试步骤 | 1. 登录系统。 2. 进入科室信息管理模块。 3. 添加新的科室信息。 4. 修改已有科室信息。 5. 删除科室信息。 |
| 预期效果 | 能正常添加、修改和删除信息 |
| 实际效果 | 与预期结果一致 |
| 结论 | 测试通过 |
表6-6 挂号记录管理功能测试用例表
| 测试目的 | 验证挂号记录管理功能 |
| 测试条件 | 管理员已登录 |
| 测试步骤 | 1. 登录系统。 2. 进入挂号记录管理模块。 3. 添加新的挂号记录。 4. 修改已有挂号记录。 5. 删除挂号记录。 |
| 预期效果 | 能正常添加、修改和删除信息 |
| 实际效果 | 与预期结果一致 |
| 结论 | 测试通过 |
表6-7 取消记录管理功能测试用例表
| 测试目的 | 验证取消记录管理功能 |
| 测试条件 | 管理员已登录 |
| 测试步骤 | 1. 登录系统。 2. 进入取消记录管理模块。 3. 查看所有取消记录。 4. 删除某条记录。 |
| 预期效果 | 能正常查看和删除记录 |
| 实际效果 | 与预期结果一致 |
| 结论 | 测试通过 |
6.4测试结论
通过对交流论坛、科室信息、挂号记录、取消记录及其管理模块的详细测试,涵盖了用户和管理员的多个关键功能。测试内容涉及用户在论坛中发布、回复、删除评论,浏览和查看挂号记录,管理员对挂号记录的管理、取消记录的查看与删除,以及交流内容的管理等重要操作。所有测试功能均符合预期结果,未发现明显问题,显示出系统在当前测试条件下的稳定性和可靠性。这些结果表明,系统能够有效支持用户和管理员顺畅完成各自的核心活动,未出现操作障碍或功能缺陷。
7 总结与展望
7.1总结
在本次毕业设计项目中,成功开发了一个基于Web医疗预约系统,目标在于解决传统展览中信息不对称与管理效率低下的问题。通过采用Spring Boot框架、MySQL数据库和前端Vue.js技术,该系统实现了科室信息的在线管理与预约的数字化处理,强化了用户权限管理与数据安全保护措施。这一系列功能的实现显著提升了医院预约管理的效率,为医院管理迈出了重要一步。
在研究过程中也面临了一些问题和挑战。当前的技术选型在满足基本需求的同时,对于不断变化的业务环境和用户期望显得较为僵化。用户体验方面,系统的界面设计与交互逻辑尚需优化,以符合现代用户对高效、直观操作的要求。随着网络安全威胁的上升,保护用户数据的安全性与隐私问题亦需持续重视。
7.2展望
未来的研究将集中于以下几个方向:探索更灵活、高效的技术架构的应用提升系统的可扩展性与维护性。将引入前沿的设计理念,进一步改善用户界面并增强用户体验。在数据安全方面,研究更为先进的加密技术与安全策略,保障系统能够应对复杂的网络安全挑战。随着人工智能与大数据技术的发展,未来的研究还将探索如何利用这些技术提供智能化分析与决策支持,进一步提升展览管理效率与服务质量。
致 谢
时光荏苒,四年的求学生涯在不经意间画上了圆满的句号。在这段充满挑战与成长的旅程中,许多人给予了我无私的支持与鼓励。在此,我怀着无比感激的心情,向所有帮助和关心过我的人致以诚挚的感谢。
首先,我要特别感谢我的指导老师。您不仅是知识的传播者,更是我人生道路上的引路人。您严谨治学、孜孜不倦的精神深深感染了我,让我明白了追求真理的重要性。无论是细致的反馈,还是启发性的建议,您都让我感受到一种无形的力量,激励着我不断超越自我。感谢您在我最迷茫的时刻,为我指明方向,给予我勇气,让我在道路上走得更加坚定。
我要感谢我的父母。感谢你们无私的爱与支持,是你们的辛勤付出让我得以追逐梦想,成就自我。无论是在我遇到挫折时的鼓励,还是在我获得成绩时的欢笑,你们总是我最坚实的后盾。在你们的呵护下,我得以在知识的海洋中遨游,体会到求知的乐趣与美好。你们教会我如何面对生活中的风雨,教会我如何在困境中寻找希望。每当我回首过往,心中涌起的都是对你们的感激与爱戴。没有你们的支持,我无法走到今天这一步。愿在未来的日子里,能用自己的努力回报你们的厚爱。
我也要感谢我的同学们。在这四年的岁月里,我们共同经历了无数的挑战与欢笑。无论是一起熬夜复习的辛酸,还是考试后的欢庆,你们的陪伴让我不再孤单。在学习上,我们相互借鉴、共同进步。在生活中,我们彼此扶持、携手前行。与你们的友谊让我感受到青春的热情与力量。每一次的团结合作,都让我意识到团队的力量是无穷的。感谢你们在我人生旅途中的陪伴,你们的存在让我的大学生活更加丰富多彩。
最后,感谢这个校园。这里承载了我的青春与梦想,见证了我的成长与蜕变。每一处熟悉的角落,都蕴藏着我无数的回忆。无论是静谧的图书馆,还是热闹的操场,都成为我心中不可磨灭的印记。这里的每一位老师、每一位同学、每一段经历,都将成为我人生旅途中最珍贵的财富。
在即将踏入新的人生阶段之际,我衷心地感谢所有给予我帮助与关心的人。是你们的陪伴让我在这条路上走得更加坚定与自信。未来的路途或许会有荆棘与挑战,但我将带着你们给予我的勇气与力量,勇敢前行。愿在不久的将来,能够以自己的成就来回馈你们的厚爱。
再次感谢每一位在我生命中出现的人,愿我们都能在各自的人生舞台上,绽放出属于自己的光彩。
参考文献
[1]洪益荣,陈乃共.预住院模式下“一体化”床位预约系统的开发与应用[J].医院管理论坛,2024,41(10):94-96.
[2]李娇雅,汪济旭,李雨欣,等.基于微信小程序的远程医疗预约系统设计[J].集成电路应用,2024,41(02):78-79.
[3]胥林花,程守勤.“智慧”服务让医疗更贴心[N].健康报,2024-01-15(003).
[4]杨洋,徐进,陈露,等.基于知识库引擎的检查自助预约系统研究[J].江苏卫生事业管理,2023,34(08):1090-1093.
[5]姚远,费晓璐.医疗检查一站式精准预约系统的设计与应用[J].生物医学工程与临床,2022,26(04):502-507.
[6] 赵惠. 基于B/S模式的实验室管理系统设计和实现 [J]. 中国新通信, 2023, 25 (21): 72-74.
[7] 田应权,尹瑞雪. 基于三层B/S模式的飞机结构损伤信息管理系统设计与实现 [J]. 机械工程师, 2023, (06): 36-39.
[8] 罗光武,陈典灿,吴荷,等. 应用Spring boot + Vue框架的时间管理软件的设计与实现 [J]. 工业控制计算机, 2024, 37 (04): 64-66.
[9] 刘慧玲,谭定英,陈平平. 基于Spring Boot和Vue.js的大学生团队管理系统的设计 [J]. 电脑编程技巧与维护, 2024, (03): 120-122.
[10] 杨芬,MySQL数据库应用的课程教学分析[J]电子技术,2023,52(10):180-181.
[11] 赵停停.基于MySQL数据库技术的Web动态网页设计研究[J].信息与电脑(理论版),2023,35(17):174-176.
[12] 周晓玉,崔文超.基于Web技术的数据库应用系统设计[J].信息与电脑(理论版),2023,35(09):189-191.
[13] 童浩楠,车啸平,鲁凌云,等. 软件测试与质量保证课程思政教学探索与实践 [J]. 电脑与信息技术, 2024, 32 (02): 114-118.
[14] 刘娜.计算机软件的测试方法与应用[J].集成电路应用,2023,40(12):60-61.
[15]张庆.基于“互联网+医疗健康”门诊检查预约系统的优化与应用[J].电脑编程技巧与维护,2022,(05):33-34+71.
[16]胥林花,陶韬.插上“智慧”的翅膀,让医疗更贴心[N].江苏科技报,2023-12-13(A08).
[17]李严.开放式门诊预约调度系统的动态仿真[D].福州大学,2021.
[18]Burch P ,Whittaker W ,Lau S Y .What is the relationship between the volume and type of appointments in general practice and patient experience? An observational study of general practice in England.[J].The British journal of general practice : the journal of the Royal College of General Practitioners,2024,
[19]Wildeboer T H A ,Jong D F I E ,Tichelman E , et al.Self-management support from health care providers in Shared Medical Appointments: Didactic techniques, peer learning, group dynamics and motivation[J].PEC Innovation,2024,5100337-100337.
[20]Mirsky J .Long-Term Medication Changes After Hypertension-Focused Lifestyle Medicine Shared Medical Appointment Program[J].American Journal of Lifestyle Medicine,2024,18(4):594-597.
附录:
注册代码如下:
/**
* 注册
* @param user
* @return
*/
@PostMapping("register")
public Map<String, Object> signUp(@RequestBody User user) {
// 查询用户
Map<String, String> query = new HashMap<>();
Map<String,Object> map = JSON.parseObject(JSON.toJSONString(user));
query.put("username",user.getUsername());
List list = service.selectBaseList(service.select(query, new HashMap<>()));
if (list.size()>0){
return error(30000, "用户已存在");
}
map.put("password",service.encryption(String.valueOf(map.get("password"))));
service.insert(map);
return success(1);
}
登录代码如下:
/**
* 登录
* @param data
* @param httpServletRequest
* @return
*/
@PostMapping("login")
public Map<String, Object> login(@RequestBody Map<String, String> data, HttpServletRequest httpServletRequest) {
log.info("[执行登录接口]");
String username = data.get("username");
String email = data.get("email");
String phone = data.get("phone");
String password = data.get("password");
List resultList = null;
Map<String, String> map = new HashMap<>();
if(username != null && "".equals(username) == false){
map.put("username", username);
resultList = service.selectBaseList(service.select(map, new HashMap<>()));
}
else if(email != null && "".equals(email) == false){
map.put("email", email);
resultList = service.selectBaseList(service.select(map, new HashMap<>()));
}
else if(phone != null && "".equals(phone) == false){
map.put("phone", phone);
resultList = service.selectBaseList(service.select(map, new HashMap<>()));
}else{
return error(30000, "账号或密码不能为空");
}
if (resultList == null || password == null) {
return error(30000, "账号或密码不能为空");
}
//判断是否有这个用户
if (resultList.size()<=0){
return error(30000,"用户不存在");
}
User byUsername = (User) resultList.get(0);
Map<String, String> groupMap = new HashMap<>();
groupMap.put("name",byUsername.getUserGroup());
List groupList = userGroupService.selectBaseList(userGroupService.select(groupMap, new HashMap<>()));
if (groupList.size()<1){
return error(30000,"用户组不存在");
}
UserGroup userGroup = (UserGroup) groupList.get(0);
//查询用户审核状态
if (!StringUtils.isEmpty(userGroup.getSourceTable())){
String res = service.selectExamineState(userGroup.getSourceTable(),byUsername.getUserId());
if (res==null){
return error(30000,"用户不存在");
}
if (!res.equals("已通过")){
return error(30000,"该用户审核未通过");
}
}
//查询用户状态
if (byUsername.getState()!=1){
return error(30000,"用户非可用状态,不能登录");
}
String md5password = service.encryption(password);
if (byUsername.getPassword().equals(md5password)) {
// 存储Token到数据库
AccessToken accessToken = new AccessToken();
accessToken.setToken(UUID.randomUUID().toString().replaceAll("-", ""));
accessToken.setUser_id(byUsername.getUserId());
Duration duration = Duration.ofSeconds(7200L);
redisTemplate.opsForValue().set(accessToken.getToken(), accessToken,duration);
// 返回用户信息
JSONObject user = JSONObject.parseObject(JSONObject.toJSONString(byUsername));
user.put("token", accessToken.getToken());
JSONObject ret = new JSONObject();
ret.put("obj",user);
return success(ret);
} else {
return error(30000, "账号或密码不正确");
}
}
挂号记录代码如下:
@PostMapping("/upload")
public Map<String, Object> upload(@RequestParam("file") MultipartFile file) {
log.info("进入方法");
if (file.isEmpty()) {
return error(30000, "没有选择文件");
}
try {
//判断有没路径,没有则创建
String filePath = System.getProperty("user.dir") + "/src/main/resources/static/";
File targetDir = new File(filePath);
if (!targetDir.exists() && !targetDir.isDirectory()) {
if (targetDir.mkdirs()) {
log.info("创建目录成功");
} else {
log.error("创建目录失败");
}
}
String fileName = file.getOriginalFilename();
File dest = new File(filePath + fileName);
log.info("文件路径:{}", dest.getPath());
log.info("文件名:{}", dest.getName());
file.transferTo(dest);
JSONObject jsonObject = new JSONObject();
jsonObject.put("url", "/api/upload/" + fileName);
return success(jsonObject);
} catch (IOException e) {
log.info("上传失败:{}", e.getMessage());
}
return error(30000, "上传失败");
}
科室信息代码如下:
@RequestMapping(value = {"/sum_group", "/sum"})
public Map<String, Object> sum(HttpServletRequest request) {
Integer value = service.selectSqlToInteger(service.sum(service.readQuery(request), service.readConfig(request)));
return success(value);
}
点赞+收藏+关注 →私信领取本源代码、数据库
关注博主下篇更精彩
一键三连!!!
一键三连!!!
一键三连!!!
感谢一键三连!!!
1061

被折叠的 条评论
为什么被折叠?



