随着信息技术的迅速发展和互联网的普及,传统图书馆面临着信息化、智能化转型的迫切需求。数字图书馆作为现代图书管理的一种新型形式,通过计算机技术和网络技术的融合,能够提供更加高效、便捷的图书借阅和信息服务。本论文基于Spring Boot框架,设计并实现了一款数字图书馆系统,系统涵盖了普通用户与管理员两个角色的功能需求,能够满足用户在图书借阅、信息查询、互动交流等方面的需求,同时也为管理员提供了强大的图书管理、用户管理、信息发布等后台功能。
系统功能分为两大部分:普通用户功能和管理员功能。普通用户可以进行注册、登录、浏览图书信息、获取个性化的图书推荐、查看通知公告、参与论坛交流、管理个人账户以及借阅记录等;管理员则可以进行图书信息管理、用户管理、借阅记录管理、图书分类管理等操作,有效支持数字图书馆的日常运营与维护。系统采用Spring Boot作为后端开发框架,MySQL作为数据库管理系统,确保了系统的高效性、稳定性和可扩展性。
本系统通过结合现代化技术,优化了图书管理流程,提高了图书馆的管理效率和服务质量。此外,系统还集成了基于用户行为的个性化图书推荐功能,借助于协同过滤算法提升用户体验。通过本系统的实现,能够为图书馆的数字化转型提供有力支持,并为用户提供一个更加智能、高效的图书借阅和管理平台。
本论文的研究和实现为数字图书馆的建设提供了实际的技术方案,具有较强的参考价值和推广意义。
关键词:Spring Boot;数字图书馆;在线借阅;图书推荐;协同过滤算法
ABSTRACT
With the rapid development of information technology and the popularity of the Internet, traditional libraries are facing the urgent need of information and intelligent transformation. As a new form of modern book management, digital libraries can provide more efficient and convenient book borrowing and information services through the integration of computer technology and network technology. This paper is based on the Spring Boot framework and designs and implements a digital library system. The system covers the functional requirements of both ordinary users and administrators, and can meet the needs of users in book borrowing, information query, interactive communication, etc. At the same time, it also provides powerful backend functions such as book management, user management, and information publishing for administrators.
The system functions are divided into two main parts: regular user functions and administrator functions. Ordinary users can register, log in, browse book information, obtain personalized book recommendations, view notifications and announcements, participate in forum exchanges, manage personal accounts, and borrowing records, etc; Administrators can perform operations such as book information management, user management, borrowing record management, and book classification management, effectively supporting the daily operation and maintenance of digital libraries. The system adopts Spring Boot as the backend development framework and MySQL as the database management system, ensuring the efficiency, stability, and scalability of the system.
This system optimizes the book management process by combining modern technology, improving the efficiency and service quality of the library management. In addition, the system also integrates personalized book recommendation function based on user behavior, which enhances user experience through collaborative filtering algorithms. Through the implementation of this system, it can provide strong support for the digital transformation of libraries and offer users a more intelligent and efficient platform for book borrowing and management.
The research and implementation of this paper provide practical technical solutions for the construction of digital libraries, which have strong reference value and promotional significance.
key word: Spring Boot; Digital Library; Online borrowing; Book recommendations; Collaborative Filtering
目 录
1绪论
1.1课题研究背景及意义
随着信息技术的不断发展,传统图书馆在管理方式和服务模式上面临着巨大的挑战和转型压力。为了更好地满足信息时代人们对图书资源的获取需求,数字图书馆的建设成为一种趋势。数字图书馆通过将纸质书籍转化为数字化形式,并借助计算机网络技术,使读者能够随时随地访问所需资料,打破了空间和时间的限制。这不仅提升了图书馆资源的利用效率,还使得借阅、管理、信息查询等服务更加便捷和高效。
传统图书馆管理模式中的纸质借阅记录、人工登记和手动检索等方式,随着图书馆规模的扩大和读者需求的增加,逐渐显得低效且不易管理。通过数字化转型,图书馆不仅能够实现信息资源的数字化存储与管理,还能通过计算机系统提供更加个性化的服务。与此同时,数字图书馆的构建能够提高图书馆的工作效率,减轻管理员的负担,并为用户提供更为精准、便捷的图书查询、借阅、续借等服务。
在技术层面,Spring Boot作为一种轻量级的开发框架,以其高效、便捷和易扩展的特点,逐渐成为开发Web应用程序的首选工具。结合MySQL数据库管理系统,可以有效保证图书馆系统的数据安全和高效查询。通过这些先进的技术,数字图书馆能够实现更高效的图书管理和用户交互体验。
因此,基于Spring Boot的数字图书馆系统不仅能够帮助图书馆实现信息化和智能化管理,还能为用户提供更加丰富和便捷的服务。这一研究不仅对图书馆的数字化转型具有实际指导意义,也为相关领域的信息管理系统设计提供了有益的技术参考。
1.2国内外发展现状分析
近年来,随着信息技术的不断发展,数字图书馆逐渐成为现代图书馆管理的重要方向。国内外在数字图书馆的研究和实践中,已经积累了丰富的经验与成果,尤其是在系统架构、数据库管理、用户体验等方面的应用研究不断推进。
国外数字图书馆的发展起步较早,许多发达国家的学术机构和公共图书馆已率先开展了数字图书馆建设。美国的数字图书馆项目如HathiTrust、Project Gutenberg等,通过大规模的数字化和开放获取,提供了海量的书籍和学术资源。此外,欧洲各国的数字图书馆建设也取得了显著进展,欧洲数字图书馆(Europeana)通过整合不同国家和文化的数字资源,为用户提供跨地域的图书馆服务。在这些系统中,普遍采用了高度标准化的数据存储、检索和管理方法,并且逐渐实现了与多种平台的兼容和互动,提升了用户的访问体验。
在国内,数字图书馆的研究与实践也取得了显著进展。各大高校和科研机构纷纷开展数字化图书馆建设,推动了图书资源的数字化转型。国内的数字图书馆建设不仅包括基础图书资料的数字化,还涉及到文献资源的共享、借阅服务的智能化等方面。中国的“国家数字图书馆”项目,通过整合全国范围内的图书资源,为公众提供了便捷的数字阅读服务。同时,许多高校图书馆也在逐步实现数字图书馆建设,推动学术资源的共享和知识的传播。在这些系统中,数据库管理和系统架构设计成为核心问题,许多研究集中在如何提升系统性能和用户体验,如优化图书信息的检索效率、改进借阅管理功能、加强用户互动等方面。
然而,尽管国内外在数字图书馆的建设方面取得了一定的成就,仍然面临着一些挑战。例如,数字图书馆在系统架构的稳定性、数据存储的安全性、用户访问的流畅性等方面仍有进一步提升的空间。尤其是在系统的可扩展性、数据维护、权限管理等方面,需要结合新的技术手段进行优化,以适应日益复杂的用户需求和信息量。
总体来看,国内外的研究现状显示,数字图书馆的建设在技术应用上不断发展,但仍面临着系统整合、资源共享、用户需求多样化等方面的挑战。因此,基于Spring Boot框架开发的数字图书馆系统,有望通过高效的系统设计、稳定的后端支持和优质的用户体验,填补现有系统中的不足,提升图书馆管理的智能化和服务的便捷性。
1.3论文组织结构
本论文共分为七个主要章节,具体结构如下:
1. 绪论:介绍研究背景与意义,回顾国内外研究现状,并概述论文的组织结构。
2. 相关技术介绍:详细介绍与本研究相关的技术,包括Java语言、B/S框架、SpringBoot框架、Vue技术和MySQL数据库。
3. 需求分析:对系统的功能需求和非功能需求进行分析,明确用户和管理员的需求,并进行可行性分析,包括技术、操作和经济可行性。
4. 系统设计:涵盖系统架构设计、总体流程设计和功能设计,并进行数据库的概念设计与表设计。
5. 系统实现:具体描述各个功能模块的实现过程,展示系统如何根据需求进行开发。
6. 系统测试:阐述测试的目的、方法和内容,分析测试结果并得出结论,以验证系统的稳定性和功能完整性。
7. 总结:总结研究的主要成果和贡献,指出存在的不足及未来的研究方向。
2相关技术简介
2.1Java语言
Java语言是一种广泛使用的高级编程语言,具有平台无关性、面向对象特性和丰富的标准库[1]。Java通过Java虚拟机(JVM)实现跨平台运行,开发者可以编写一次代码,在任何支持JVM的环境中执行。Java的面向对象特性使得代码复用和模块化变得更加容易,促进了软件的维护和扩展。Java支持多线程编程,允许开发者在同一程序中同时执行多个任务,提升了应用程序的性能。
Java语言的语法结构简洁且易于理解,吸引了大量开发者[2]。Java的标准库包含数据结构、输入输出处理、网络编程等众多功能模块。这使得开发者在构建应用程序时能够高效利用已有工具,减少重复劳动。Java广泛应用于企业级应用、移动应用、Web开发和大数据处理等领域。
2.2 B/S框架
B/S(Browser/Server)架构是一种基于浏览器和服务器的系统架构模式,用户通过浏览器与服务器进行交互。B/S架构简化了客户端的部署和管理,用户无需在本地安装复杂的软件,只需使用标准浏览器即可访问应用程序。服务器端负责处理业务逻辑和数据存储,客户端则主要负责展示用户界面和数据交互[3]。B/S架构的设计使得系统更新和维护集中在服务器端,降低了维护成本。
B/S架构通常采用Web技术进行实现,包括HTML、CSS和JavaScript等。用户在浏览器中发起请求,服务器响应并返回数据。数据传输通常通过HTTP或HTTPS协议进行,B/S架构的灵活性使其适用于在线购物、信息管理系统和社交网络等各类应用场景[4]。由于其易于扩展性,B/S架构可以方便地支持大规模用户访问,适应不断变化的业务需求。
2.3 SpringBoot框架
SpringBoot框架是基于Spring框架的开源项目,简化Java应用程序的开发过程。SpringBoot通过约定优于配置的理念,减少了传统Spring应用的繁琐配置,开发者可以快速搭建和部署应用程序。框架提供了一系列默认配置,支持自动化配置,简化了应用启动的复杂性[5]。SpringBoot内置了嵌入式Web服务器,使得开发者能够独立运行Java应用,无需外部容器。
SpringBoot支持微服务架构,开发者可以轻松创建和管理多个微服务。框架集成了丰富的功能模块,包括安全、数据访问和消息中间件等,支持RESTful API和JSON数据格式的处理[6]。SpringBoot还提供了强大的监控和管理功能,允许开发者实时监控应用的健康状态和性能指标。借助SpringBoot,开发者能够高效构建和维护现代企业级应用,满足复杂业务需求。
2.4 Vue技术
Vue是一种渐进式JavaScript框架,专注于构建用户界面。Vue采用组件化的开发模式,允许开发者将应用程序拆分为独立的、可重用的组件,从而提高了开发效率和代码的可维护性[7]。框架的核心库专注于视图层,支持数据绑定和DOM操作,提供了简洁的API。Vue的虚拟DOM机制提升了应用的性能,减少了实际DOM操作的次数。
Vue支持双向数据绑定,能够自动更新视图与模型之间的变化。开发者可以通过Vue的指令系统,简化数据展示和事件处理。Vue还支持路由管理和状态管理,使得开发复杂单页面应用变得更加容易[8]。借助Vue的生态系统,开发者能够使用多种工具和库来扩展功能,满足不同的业务需求。Vue在前端开发中逐渐成为主流选择,受到广泛关注和应用。
2.5 MySQL数据库
MySQL是一种开源关系型数据库管理系统,广泛应用于Web应用和企业级数据存储。MySQL支持结构化查询语言,允许开发者通过标准语句进行数据的创建、读取、更新和删除操作[9]。数据库通过表格形式组织数据,支持数据完整性和约束条件的定义。MySQL的存储引擎机制使得用户可以根据具体需求选择不同的存储引擎,以优化性能和功能。
MySQL具有高性能和可扩展性,支持大规模数据存储和高并发访问。系统提供了丰富的用户权限管理和数据加密安全特性。MySQL能够与多种编程语言和框架兼容,广泛应用于内容管理系统、电子商务平台和数据分析等各种场景。
3系统需求分析
3.1系统功能需求分析
论文基于Spring Boot的数字图书馆的设计与实现涵盖了多个功能模块,旨在提供全面且便捷的图书借阅管理和用户交互体验。以下是对普通用户和管理员功能的详细分析:
1.普通用户功能
登录注册:用户通过注册账号并登录后,可以访问数字图书馆的所有功能。注册过程中,用户需要提供必要的个人信息,以便后续管理。登录后,用户可以根据个人需求和权限进行操作。
首页:根据用户的兴趣和点击历史,系统采用协同过滤算法进行个性化图书推荐。通过分析用户的阅读历史或偏好,优先推荐与用户兴趣相关的图书信息,提升用户体验和图书借阅的便捷性。
交流论坛:该模块为用户提供了一个讨论和分享的平台。用户可以在论坛中发表图书相关的见解,提问和回答其他用户的问题,或与他人讨论读书心得,增强社区互动性。
通知公告:用户可在此模块查看数字图书馆发布的最新通知和公告,如图书馆开放时间、借阅规则变化等重要信息。
图书资讯:提供最新的图书资讯、书籍推荐、活动信息等,帮助用户了解图书馆的动态,增加图书借阅的兴趣。
图书信息:用户可以查看每本书籍的详细信息,包括书名、作者、出版社、简介、借阅状态等内容。通过此模块,用户能快速找到感兴趣的书籍并进行借阅。
我的账户:在此模块,用户可以管理个人信息,查看和修改账户资料,确保信息的准确性和安全性。
个人中心:该模块是用户的个人信息管理中心,包括以下功能:
借阅记录:用户可以查看自己的借阅历史,了解哪些图书已经借阅。
续借记录:用户可以录入相关续借信息。
归还记录:用户可以录入归还信息。
提醒信息:系统根据用户的借阅状态、到期归还时间等自动推送提醒,确保用户按时归还图书。
收藏:用户可以收藏感兴趣的图书,方便日后查找。
评论管理:用户可以对已借阅图书进行评价和评论,其他用户可以参考这些评论做出借阅决策。
2.管理员功能
公共管理:管理员可以管理系统的公共内容,例如轮播图、图书馆通知公告等。管理员通过该模块能够更新首页展示的内容,包括书籍推荐、图书馆活动、重要通知等,确保图书馆信息的及时更新和准确性。。
用户管理:管理员可以查看和管理所有普通用户的信息,包括注册信息、借阅情况、违规记录等。管理员可以对用户进行权限调整、封禁或其他管理操作。
论坛管理:管理员可以管理论坛的内容,对不符合规定的帖子进行删除或修改,并确保论坛环境的和谐与有序。
资讯管理:管理员可以发布和管理图书馆的相关资讯,如图书推荐、活动通知等内容。同时,管理员可以编辑或删除过时的资讯,保证信息的时效性。
权限管理:管理员可以对系统内不同角色的用户进行权限分配,确保每个用户只能访问自己权限范围内的功能。比如,普通用户无法访问管理员功能,管理员拥有完全管理权限。
图书信息:管理员可以对图书信息进行管理,包括添加新书、编辑现有图书信息、删除过时或损坏的书籍记录等。
图书分类:管理员可以根据需要对图书进行分类管理,例如按书籍类别、主题、出版社等进行归类,方便用户查找和借阅。
借阅记录:管理员可以查看所有借阅记录,修改借阅状态,更新书籍的借阅信息,并记录借阅回复,确保借阅流程的顺畅。
续借记录:管理员可以查看续借记录,修改续借状态,并为用户提供相关的续借回复,确保借阅期限的合理延长。
归还记录:管理员可以管理图书归还记录,修改归还状态,更新归还信息,并处理相关的归还回复,确保图书归还流程顺利进行。
提醒信息:管理员可以对系统的提醒信息进行管理,如图书归还提醒、续借到期提醒等,确保用户及时收到系统的通知。
退出:管理员在完成管理任务后,可以选择退出系统,确保系统的安全性和数据保护。
数字图书馆的设计与实现通过合理的功能模块划分和清晰的权限管理,能够有效地满足普通用户和管理员的需求。普通用户可以便捷地查阅图书信息、参与论坛讨论、管理个人借阅记录等,而管理员则能够高效地管理图书、用户、论坛等多个方面的内容。通过Spring Boot技术框架的支撑,系统具备了良好的扩展性、稳定性和高效性,能够在日后根据需要进行优化与功能扩展,满足不断增长的用户需求。
3.2系统非功能性分析
数字图书馆在撰写系统毕业论文时,非功能性需求分析是一个重要的部分。非功能性需求主要关注的是系统如何运行,而不是它具体完成什么功能。这些需求包括性能、可用性、安全性、可维护性、可扩展性、易用性等方面。以下是一个关于数字图书馆非功能性需求分析的概要。
性能需求:系统需确保快速响应和高吞吐量,以支持大量用户同时访问,即使在高峰时段也能保持流畅的操作体验,避免因延迟或卡顿影响用户体验。
可用性:安系统必须具备高可用性,采用冗余部署、负载均衡等策略,确保即使部分组件故障也能迅速恢复服务,减少服务中断时间,保障用户业务的连续性。
安全性:鉴于系统处理用户敏感信息,如个人信息等,必须实施严格的安全措施,包括数据加密、访问控制、防攻击机制等,以保护用户数据免受未授权访问或泄露。
可维护性:系统设计应注重可维护性,采用模块化、标准化的架构,提供详尽的开发文档和用户手册,确保系统易于理解和维护,降低长期运维成本。
可扩展性:随着业务的发展,系统可能需要扩展功能或提升性能。因此,系统需具备灵活的可扩展性,能够轻松添加新模块、优化性能,以应对未来增长的需求。
易用性:用户界面应直观易用,符合用户习惯,提供清晰的导航和友好的操作反馈,帮助用户快速上手并高效完成任务,提升整体用户满意度。
3.3系统可行性分析
通过数字图书馆的可行性分析,我们可以从技术可行性、经济可行性、操作可行性三个维度进行深入探讨,以确保系统的开发与应用具有坚实的可行性基础。
3.3.1技术可行性
Springboot作为目前流行的Java企业级应用开发框架,以其“约定优于配置”的原则,极大地简化了开发流程,降低了技术门槛。同时,结合MyBatis Plus这一强大的ORM框架,可以高效实现数据持久化操作。前端采用Vue框架,不仅提升了用户界面的交互体验,也实现了前后端分离的现代Web架构。MySQL数据库作为后端数据存储,以其高性能和稳定性为系统提供了可靠的数据支持。综上所述,从技术角度来看,该系统的开发具备高度可行性。
3.3.2经济可行性
考虑到Springboot、Vue、MyBatis Plus及MySQL等均为开源技术,无需支付高昂的许可费用,大大降低了系统的开发成本。同时,这些技术拥有广泛的用户群体和成熟的社区支持,便于获取技术支持和资源共享。此外,系统的实施将显著提升数字图书馆的效率和用户体验,从而带来潜在的经济效益。因此,从经济角度来看,数字图书馆的开发同样具备可行性。
3.3.3操作可行性
系统设计应遵循用户友好原则,确保用户能够轻松上手并高效使用。通过合理的界面布局、直观的操作流程以及详尽的帮助文档,可以大大降低用户的学习成本,提高系统的操作可行性。此外,系统还应具备完善的权限管理和数据安全机制,确保操作的安全性和合规性。
从技术、经济、操作三个维度来看,数字图书馆的开发均具备高度的可行性。
3.4系统用例分析
数字图书馆用例分析主要从普通用户、管理员这些实体展开描述。
3.4.1普通用户用例分析
普通用户具备登录注册、首页、交流论坛、通知公告、图书资讯、图书信息、我的账户、个人中心(借阅记录、续借记录、归还记录、提醒信息、收藏、评论管理)等需求用例,详细用例图如图3-1所示。

图3-1普通用户用例图
3.4.2管理员用例分析
管理员具备公共管理、用户管理、论坛管理、资讯管理、权限管理、图书信息、图书分类、借阅记录、续借记录、归还记录、提醒信息、退出等需求用例。详细用例图如图3-2所示。

图3-2管理员用例图
4系统设计
4.1系统架构设计
系统采用SpringBoot 框架开发,该系统分为VIEW层、Controller层、Model层、DAO层和持久化数据存储层,VIEW层支持电脑浏览器访问系统。VIEW 层与 Controller 层紧密结合并系协同工作,共同完成前台页面的数据展示;Controller层为控制层,通过接收前端请求的参数进行业务处理,返回指定的路径或数据;Model层主要是服务层,用于业务逻辑处理;DAO 和持久化层,主要用于访问数据库和持久化数据[10]。整个系统架构如图4-1所示。

图4-1 系统架构图。
4.2系统结构设计
数字图书馆的整体结构设计如图4-2所示。

图4-3整体功能结构设计图
4.3系统功能设计
4.3.1系统开发流程
数字图书馆开发时,首先进行需求分析,进而对系统进行总体的设计规划,设计系统功能模块,数据库的选择等,本系统的开发流程如图4-4所示。

图4-4系统开发流程图
4.3.2 用户登录流程
为了保证系统的安全性,要使用本系统对系统信息进行管理,必须先登陆到系统中。如图4-5所示。

图4-5 登录流程图
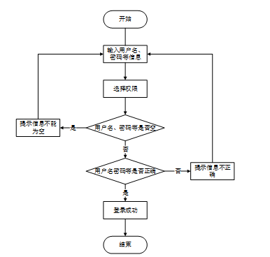
4.3.3 系统操作流程
用户打开并进入系统后,会先显示登录界面,输入正确的用户名和密码,系统自动检测信息,若信息无误,则用户会进入系统功能界面,进行操作,否则会提示错误无法登录,操作流程如图4-6所示。

图4-6 系统操作流程图
4.3.4 添加信息流程
管理员可以对通知公告、图书资讯等进行信息的添加,用户可以对自己权限内的信息进行添加,输入信息后,系统会自行验证输入的信息和数据,若信息正确,会将其添加到数据库内,若信息有误,则会提示重新输入信息,添加信息流程如图4-7所示。

图4-7 添加信息流程图
4.3.5 修改信息流程
管理员可以对通知公告、图书资讯等进行的修改,用户可以对自己权限内的信息进行修改,首先进入修改信息界面,输入修改信息数据,系统进行数据的判断验证,修改信息合法则修改成功,信息更新至数据库,信息不合法则修改失败,重新输入。修改信息流程图如图4-8所示。

图4-8 修改信息流程图
4.3.6 删除信息流程
管理员可以对通知公告、图书资讯等进行信息的删除,对要删除的信息进行选中后,点击删除按钮,系统会询问是否确定,若点击确定,则系统会删除掉选中的信息,并在数据库内对信息进行删除,删除信息流程图如图4-9所示。

图4-9 删除信息流程图
4.4数据库设计
在进行数据库设计时,概念设计帮助明确系统的整体结构和需求。在这一阶段,需要确定实体、属性以及它们之间的关系,为后续的数据库表设计奠定基础。接下来,将深入探讨数据库表设计的具体细节,实现更高效的数据存储和管理。
4.4.1 概念设计
概念设计是数据库设计的第一步,其主要目标是对系统的数据需求进行全面的理解和抽象[11]。在这一阶段,通过建立实体-关系模型(ER模型)来识别系统中的关键实体、属性及其相互关系。概念设计的输出是一个清晰的ER图,作为后续数据库表设计的基础。以下将展示系统的全局E-R图。

图4-10数据库E-R图
4.4.2数据库表设计
这一阶段的重点是将概念模型转换为实际的数据库结构,包括表的创建、字段的定义及数据类型的选择。每个实体通常对应于数据库中的一张表,而实体的属性则转化为表的列[12]。以下是系统的数据库表设计展示。
表 4-1-access_token(登陆访问时长)
| 编号 | 字段名 | 类型 | 长度 | 是否非空 | 是否主键 | 注释 |
| 1 | token_id | int | 是 | 是 | 临时访问牌ID | |
| 2 | token | varchar | 64 | 否 | 否 | 临时访问牌 |
| 3 | info | text | 65535 | 否 | 否 | 信息 |
| 4 | maxage | int | 是 | 否 | 最大寿命:默认2小时 | |
| 5 | create_time | timestamp | 是 | 否 | 创建时间 | |
| 6 | update_time | timestamp | 是 | 否 | 更新时间 | |
| 7 | user_id | int | 是 | 否 | 用户编号 |
表 4-2-article(文章)
| 编号 | 字段名 | 类型 | 长度 | 是否非空 | 是否主键 | 注释 |
| 1 | article_id | mediumint | 是 | 是 | 文章id | |
| 2 | title | varchar | 125 | 是 | 是 | 标题 |
| 3 | type | varchar | 64 | 是 | 否 | 文章分类 |
| 4 | hits | int | 是 | 否 | 点击数 | |
| 5 | praise_len | int | 是 | 否 | 点赞数 | |
| 6 | create_time | timestamp | 是 | 否 | 创建时间 | |
| 7 | update_time | timestamp | 是 | 否 | 更新时间 | |
| 8 | source | varchar | 255 | 否 | 否 | 来源 |
| 9 | url | varchar | 255 | 否 | 否 | 来源地址 |
| 10 | tag | varchar | 255 | 否 | 否 | 标签 |
| 11 | content | longtext | 4294967295 | 否 | 否 | 正文 |
| 12 | img | varchar | 255 | 否 | 否 | 封面图 |
| 13 | description | text | 65535 | 否 | 否 | 文章描述 |
表 4-3-article_type(文章分类)
| 编号 | 字段名 | 类型 | 长度 | 是否非空 | 是否主键 | 注释 |
| 1 | type_id | smallint | 是 | 是 | 分类ID | |
| 2 | display | smallint | 是 | 否 | 显示顺序 | |
| 3 | name | varchar | 16 | 是 | 否 | 分类名称 |
| 4 | father_id | smallint | 是 | 否 | 上级分类ID | |
| 5 | description | varchar | 255 | 否 | 否 | 描述 |
| 6 | icon | text | 65535 | 否 | 否 | 分类图标 |
| 7 | url | varchar | 255 | 否 | 否 | 外链地址 |
| 8 | create_time | timestamp | 是 | 否 | 创建时间 | |
| 9 | update_time | timestamp | 是 | 否 | 更新时间 |
表 4-4-auth(用户权限管理)
| 编号 | 字段名 | 类型 | 长度 | 是否非空 | 是否主键 | 注释 |
| 1 | auth_id | int | 是 | 是 | 授权ID | |
| 2 | user_group | varchar | 64 | 否 | 否 | 用户组 |
| 3 | mod_name | varchar | 64 | 否 | 否 | 模块名 |
| 4 | table_name | varchar | 64 | 否 | 否 | 表名 |
| 5 | page_title | varchar | 255 | 否 | 否 | 页面标题 |
| 6 | path | varchar | 255 | 否 | 否 | 路由路径 |
| 7 | parent | varchar | 64 | 否 | 否 | 父级菜单 |
| 8 | parent_sort | int | 是 | 否 | 父级菜单排序 | |
| 9 | position | varchar | 32 | 否 | 否 | 位置 |
| 10 | mode | varchar | 32 | 是 | 否 | 跳转方式 |
| 11 | add | tinyint | 是 | 否 | 是否可增加 | |
| 12 | del | tinyint | 是 | 否 | 是否可删除 | |
| 13 | set | tinyint | 是 | 否 | 是否可修改 | |
| 14 | get | tinyint | 是 | 否 | 是否可查看 | |
| 15 | field_add | text | 65535 | 否 | 否 | 添加字段 |
| 16 | field_set | text | 65535 | 否 | 否 | 修改字段 |
| 17 | field_get | text | 65535 | 否 | 否 | 查询字段 |
| 18 | table_nav_name | varchar | 500 | 否 | 否 | 跨表导航名称 |
| 19 | table_nav | varchar | 500 | 否 | 否 | 跨表导航 |
| 20 | option | text | 65535 | 否 | 否 | 配置 |
| 21 | create_time | timestamp | 是 | 否 | 创建时间 | |
| 22 | update_time | timestamp | 是 | 否 | 更新时间 |
表 4-5-book_classification(图书分类)
| 编号 | 字段名 | 类型 | 长度 | 是否非空 | 是否主键 | 注释 |
| 1 | book_classification_id | int | 是 | 是 | 图书分类ID | |
| 2 | book_classification | varchar | 64 | 否 | 否 | 图书分类 |
| 3 | create_time | datetime | 是 | 否 | 创建时间 | |
| 4 | update_time | timestamp | 是 | 否 | 更新时间 |
表 4-6-book_information(图书信息)
| 编号 | 字段名 | 类型 | 长度 | 是否非空 | 是否主键 | 注释 |
| 1 | book_information_id | int | 是 | 是 | 图书信息ID | |
| 2 | book_number | varchar | 64 | 是 | 是 | 图书编号 |
| 3 | name | varchar | 64 | 否 | 否 | 图书名称 |
| 4 | book_classification | varchar | 64 | 否 | 否 | 图书分类 |
| 5 | book_author | varchar | 64 | 否 | 否 | 图书作者 |
| 6 | book_location | varchar | 64 | 否 | 否 | 图书位置 |
| 7 | book_images | varchar | 255 | 否 | 否 | 图书图片 |
| 8 | book_introduction | longtext | 4294967295 | 否 | 否 | 图书介绍 |
| 9 | hits | int | 是 | 否 | 点击数 | |
| 10 | praise_len | int | 是 | 否 | 点赞数 | |
| 11 | collect_len | int | 是 | 否 | 收藏数 | |
| 12 | comment_len | int | 是 | 否 | 评论数 | |
| 13 | recommend | int | 是 | 否 | 智能推荐 | |
| 14 | borrowing_record_limit_times | int | 是 | 否 | 借阅限制次数 | |
| 15 | create_time | datetime | 是 | 否 | 创建时间 | |
| 16 | update_time | timestamp | 是 | 否 | 更新时间 |
表 4-7-borrowing_record(借阅记录)
| 编号 | 字段名 | 类型 | 长度 | 是否非空 | 是否主键 | 注释 |
| 1 | borrowing_record_id | int | 是 | 是 | 借阅记录ID | |
| 2 | book_number | varchar | 64 | 否 | 否 | 图书编号 |
| 3 | name | varchar | 64 | 否 | 否 | 图书名称 |
| 4 | book_classification | varchar | 64 | 否 | 否 | 图书分类 |
| 5 | user_information | int | 否 | 否 | 用户信息 | |
| 6 | user_name | varchar | 64 | 否 | 否 | 用户姓名 |
| 7 | contact_number | varchar | 64 | 否 | 否 | 联系电话 |
| 8 | borrowing_date | date | 否 | 否 | 借阅日期 | |
| 9 | borrowing_days | double | 否 | 否 | 借阅天数 | |
| 10 | number_of_borrowing_times | varchar | 64 | 否 | 否 | 借阅次数 |
| 11 | borrowing_notes | text | 65535 | 否 | 否 | 借阅备注 |
| 12 | borrowing_status | varchar | 64 | 否 | 否 | 借阅状态 |
| 13 | borrowing_reply | text | 65535 | 否 | 否 | 借阅回复 |
| 14 | renewal_record_limit_times | int | 是 | 否 | 续借限制次数 | |
| 15 | return_record_limit_times | int | 是 | 否 | 归还限制次数 | |
| 16 | reminder_information_limit_times | int | 是 | 否 | 提醒限制次数 | |
| 17 | create_time | datetime | 是 | 否 | 创建时间 | |
| 18 | update_time | timestamp | 是 | 否 | 更新时间 | |
| 19 | source_table | varchar | 255 | 否 | 否 | 来源表 |
| 20 | source_id | int | 否 | 否 | 来源ID | |
| 21 | source_user_id | int | 否 | 否 | 来源用户 |
表 4-8-code_token(验证码)
| 编号 | 字段名 | 类型 | 长度 | 是否非空 | 是否主键 | 注释 |
| 1 | code_token_id | int | 是 | 是 | 验证码ID | |
| 2 | token | varchar | 255 | 否 | 否 | 令牌 |
| 3 | code | varchar | 255 | 否 | 否 | 验证码 |
| 4 | expire_time | timestamp | 是 | 否 | 失效时间 | |
| 5 | create_time | timestamp | 是 | 否 | 创建时间 | |
| 6 | update_time | timestamp | 是 | 否 | 更新时间 |
表 4-9-collect(收藏)
| 编号 | 字段名 | 类型 | 长度 | 是否非空 | 是否主键 | 注释 |
| 1 | collect_id | int | 是 | 是 | 收藏ID | |
| 2 | user_id | int | 是 | 是 | 收藏人ID | |
| 3 | source_table | varchar | 255 | 否 | 否 | 来源表 |
| 4 | source_field | varchar | 255 | 否 | 否 | 来源字段 |
| 5 | source_id | int | 是 | 否 | 来源ID | |
| 6 | title | varchar | 255 | 否 | 否 | 标题 |
| 7 | img | varchar | 255 | 否 | 否 | 封面 |
| 8 | create_time | timestamp | 是 | 否 | 创建时间 | |
| 9 | update_time | timestamp | 是 | 否 | 更新时间 |
表 4-10-comment(评论)
| 编号 | 字段名 | 类型 | 长度 | 是否非空 | 是否主键 | 注释 |
| 1 | comment_id | int | 是 | 是 | 评论ID | |
| 2 | user_id | int | 是 | 是 | 评论人ID | |
| 3 | reply_to_id | int | 是 | 否 | 回复评论ID | |
| 4 | content | longtext | 4294967295 | 否 | 否 | 内容 |
| 5 | nickname | varchar | 255 | 否 | 否 | 昵称 |
| 6 | avatar | varchar | 255 | 否 | 否 | 头像地址 |
| 7 | create_time | timestamp | 是 | 否 | 创建时间 | |
| 8 | update_time | timestamp | 是 | 否 | 更新时间 | |
| 9 | source_table | varchar | 255 | 否 | 否 | 来源表 |
| 10 | source_field | varchar | 255 | 否 | 否 | 来源字段 |
| 11 | source_id | int | 是 | 否 | 来源ID |
表 4-11-forum(论坛)
| 编号 | 字段名 | 类型 | 长度 | 是否非空 | 是否主键 | 注释 |
| 1 | forum_id | mediumint | 是 | 是 | 论坛ID | |
| 2 | display | smallint | 是 | 否 | 排序 | |
| 3 | user_id | mediumint | 是 | 否 | 用户ID | |
| 4 | nickname | varchar | 16 | 否 | 否 | 昵称 |
| 5 | praise_len | int | 否 | 否 | 点赞数 | |
| 6 | hits | int | 是 | 否 | 访问数 | |
| 7 | title | varchar | 125 | 是 | 否 | 标题 |
| 8 | keywords | varchar | 125 | 否 | 否 | 关键词 |
| 9 | description | varchar | 255 | 否 | 否 | 描述 |
| 10 | url | varchar | 255 | 否 | 否 | 来源地址 |
| 11 | tag | varchar | 255 | 否 | 否 | 标签 |
| 12 | img | text | 65535 | 否 | 否 | 封面图 |
| 13 | content | longtext | 4294967295 | 否 | 否 | 正文 |
| 14 | create_time | timestamp | 是 | 否 | 创建时间 | |
| 15 | update_time | timestamp | 是 | 否 | 更新时间 | |
| 16 | avatar | varchar | 255 | 否 | 否 | 发帖人头像 |
| 17 | type | varchar | 64 | 是 | 否 | 论坛分类 |
| 18 | istop | int | 是 | 否 | 是否置顶 |
表 4-12-forum_type(论坛分类)
| 编号 | 字段名 | 类型 | 长度 | 是否非空 | 是否主键 | 注释 |
| 1 | type_id | smallint | 是 | 是 | 分类ID | |
| 2 | name | varchar | 16 | 是 | 否 | 分类名称 |
| 3 | description | varchar | 255 | 否 | 否 | 描述 |
| 4 | url | varchar | 255 | 否 | 否 | 外链地址 |
| 5 | father_id | smallint | 是 | 否 | 上级分类ID | |
| 6 | icon | varchar | 255 | 否 | 否 | 分类图标 |
| 7 | create_time | timestamp | 是 | 否 | 创建时间 | |
| 8 | update_time | timestamp | 是 | 否 | 更新时间 |
表 4-13-hits(用户点击)
| 编号 | 字段名 | 类型 | 长度 | 是否非空 | 是否主键 | 注释 |
| 1 | hits_id | int | 是 | 是 | 点赞ID | |
| 2 | user_id | int | 是 | 否 | 点赞人 | |
| 3 | create_time | timestamp | 是 | 否 | 创建时间 | |
| 4 | update_time | timestamp | 是 | 否 | 更新时间 | |
| 5 | source_table | varchar | 255 | 否 | 否 | 来源表 |
| 6 | source_field | varchar | 255 | 否 | 否 | 来源字段 |
| 7 | source_id | int | 是 | 否 | 来源ID |
表 4-14-notice(公告
| 编号 | 字段名 | 类型 | 长度 | 是否非空 | 是否主键 | 注释 |
| 1 | notice_id | mediumint | 是 | 是 | 公告ID | |
| 2 | title | varchar | 125 | 是 | 否 | 标题 |
| 3 | content | longtext | 4294967295 | 否 | 否 | 正文 |
| 4 | create_time | timestamp | 是 | 否 | 创建时间 | |
| 5 | update_time | timestamp | 是 | 否 | 更新时间 |
表 4-15-ordinary_users(普通用户)
| 编号 | 字段名 | 类型 | 长度 | 是否非空 | 是否主键 | 注释 |
| 1 | ordinary_users_id | int | 是 | 是 | 普通用户ID | |
| 2 | user_name | varchar | 64 | 否 | 否 | 用户姓名 |
| 3 | user_gender | varchar | 64 | 否 | 否 | 用户性别 |
| 4 | contact_number | varchar | 16 | 否 | 否 | 联系电话 |
| 5 | examine_state | varchar | 16 | 是 | 否 | 审核状态 |
| 6 | user_id | int | 是 | 否 | 用户ID | |
| 7 | create_time | datetime | 是 | 否 | 创建时间 | |
| 8 | update_time | timestamp | 是 | 否 | 更新时间 |
表 4-16-praise(点赞)
| 编号 | 字段名 | 类型 | 长度 | 是否非空 | 是否主键 | 注释 |
| 1 | praise_id | int | 是 | 是 | 点赞ID | |
| 2 | user_id | int | 是 | 是 | 点赞人 | |
| 3 | create_time | timestamp | 是 | 否 | 创建时间 | |
| 4 | update_time | timestamp | 是 | 否 | 更新时间 | |
| 5 | source_table | varchar | 255 | 否 | 否 | 来源表 |
| 6 | source_field | varchar | 255 | 否 | 否 | 来源字段 |
| 7 | source_id | int | 是 | 否 | 来源ID | |
| 8 | status | tinyint | 是 | 否 | 点赞状态:1为点赞,0已取消 |
表 4-17-procurement_plan(采购计划)
| 编号 | 字段名 | 类型 | 长度 | 是否非空 | 是否主键 | 注释 |
| 1 | procurement_plan_id | int | 是 | 是 | 采购计划ID | |
| 2 | procurement_title | varchar | 64 | 否 | 否 | 采购标题 |
| 3 | book_name | varchar | 64 | 否 | 否 | 图书名称 |
| 4 | purchase_date | date | 否 | 否 | 采购日期 | |
| 5 | purchase_quantity | double | 否 | 否 | 采购数量 | |
| 6 | plan_recommendations | text | 65535 | 否 | 否 | 计划建议 |
| 7 | create_time | datetime | 是 | 否 | 创建时间 | |
| 8 | update_time | timestamp | 是 | 否 | 更新时间 |
表 4-18-reminder_information(提醒信息)
| 编号 | 字段名 | 类型 | 长度 | 是否非空 | 是否主键 | 注释 |
| 1 | reminder_information_id | int | 是 | 是 | 提醒信息ID | |
| 2 | reminder_title | varchar | 64 | 否 | 否 | 提醒标题 |
| 3 | book_number | varchar | 64 | 否 | 否 | 图书编号 |
| 4 | name | varchar | 64 | 否 | 否 | 图书名称 |
| 5 | user_information | int | 否 | 否 | 用户信息 | |
| 6 | user_name | varchar | 64 | 否 | 否 | 用户姓名 |
| 7 | reminder_content | text | 65535 | 否 | 否 | 提醒内容 |
| 8 | create_time | datetime | 是 | 否 | 创建时间 | |
| 9 | update_time | timestamp | 是 | 否 | 更新时间 | |
| 10 | source_table | varchar | 255 | 否 | 否 | 来源表 |
| 11 | source_id | int | 否 | 否 | 来源ID | |
| 12 | source_user_id | int | 否 | 否 | 来源用户 |
表 4-19-renewal_record(续借记录)
| 编号 | 字段名 | 类型 | 长度 | 是否非空 | 是否主键 | 注释 |
| 1 | renewal_record_id | int | 是 | 是 | 续借记录ID | |
| 2 | book_number | varchar | 64 | 否 | 否 | 图书编号 |
| 3 | name | varchar | 64 | 否 | 否 | 图书名称 |
| 4 | book_classification | varchar | 64 | 否 | 否 | 图书分类 |
| 5 | user_information | int | 否 | 否 | 用户信息 | |
| 6 | user_name | varchar | 64 | 否 | 否 | 用户姓名 |
| 7 | contact_number | varchar | 64 | 否 | 否 | 联系电话 |
| 8 | borrowing_date | date | 否 | 否 | 借阅日期 | |
| 9 | borrowing_days | varchar | 64 | 否 | 否 | 借阅天数 |
| 10 | renewal_days | varchar | 64 | 否 | 否 | 续借天数 |
| 11 | renewal_status | varchar | 64 | 否 | 否 | 续借状态 |
| 12 | renewal_reply | text | 65535 | 否 | 否 | 续借回复 |
| 13 | create_time | datetime | 是 | 否 | 创建时间 | |
| 14 | update_time | timestamp | 是 | 否 | 更新时间 | |
| 15 | source_table | varchar | 255 | 否 | 否 | 来源表 |
| 16 | source_id | int | 否 | 否 | 来源ID | |
| 17 | source_user_id | int | 否 | 否 | 来源用户 |
表 4-20-return_record(归还记录)
| 编号 | 字段名 | 类型 | 长度 | 是否非空 | 是否主键 | 注释 |
| 1 | return_record_id | int | 是 | 是 | 归还记录ID | |
| 2 | book_number | varchar | 64 | 否 | 否 | 图书编号 |
| 3 | name | varchar | 64 | 否 | 否 | 图书名称 |
| 4 | book_classification | varchar | 64 | 否 | 否 | 图书分类 |
| 5 | user_information | int | 否 | 否 | 用户信息 | |
| 6 | user_name | varchar | 64 | 否 | 否 | 用户姓名 |
| 7 | contact_number | varchar | 64 | 否 | 否 | 联系电话 |
| 8 | borrowing_date | date | 否 | 否 | 借阅日期 | |
| 9 | borrowing_days | varchar | 64 | 否 | 否 | 借阅天数 |
| 10 | return_date | date | 否 | 否 | 归还日期 | |
| 11 | return_remarks | text | 65535 | 否 | 否 | 归还备注 |
| 12 | return_status | varchar | 64 | 否 | 否 | 归还状态 |
| 13 | return_reply | text | 65535 | 否 | 否 | 归还回复 |
| 14 | create_time | datetime | 是 | 否 | 创建时间 | |
| 15 | update_time | timestamp | 是 | 否 | 更新时间 | |
| 16 | source_table | varchar | 255 | 否 | 否 | 来源表 |
| 17 | source_id | int | 否 | 否 | 来源ID | |
| 18 | source_user_id | int | 否 | 否 | 来源用户 |
表 4-21-score(评分)
| 编号 | 字段名 | 类型 | 长度 | 是否非空 | 是否主键 | 注释 |
| 1 | score_id | int | 是 | 是 | 评分ID | |
| 2 | user_id | int | 是 | 否 | 评分人 | |
| 3 | nickname | varchar | 64 | 否 | 否 | 昵称 |
| 4 | score_num | double | 是 | 否 | 评分 | |
| 5 | create_time | timestamp | 是 | 否 | 创建时间 | |
| 6 | update_time | timestamp | 是 | 否 | 更新时间 | |
| 7 | source_table | varchar | 255 | 否 | 否 | 来源表 |
| 8 | source_field | varchar | 255 | 否 | 否 | 来源字段 |
| 9 | source_id | int | 是 | 否 | 来源ID |
表 4-22-slides(轮播图)
| 编号 | 字段名 | 类型 | 长度 | 是否非空 | 是否主键 | 注释 |
| 1 | slides_id | int | 是 | 是 | 轮播图ID | |
| 2 | title | varchar | 64 | 否 | 否 | 标题 |
| 3 | content | varchar | 255 | 否 | 否 | 内容 |
| 4 | url | varchar | 255 | 否 | 否 | 链接 |
| 5 | img | varchar | 255 | 否 | 否 | 轮播图 |
| 6 | hits | int | 是 | 否 | 点击量 | |
| 7 | create_time | timestamp | 是 | 否 | 创建时间 | |
| 8 | update_time | timestamp | 是 | 否 | 更新时间 |
表 4-23-upload(文件上传)
| 编号 | 字段名 | 类型 | 长度 | 是否非空 | 是否主键 | 注释 |
| 1 | upload_id | int | 是 | 是 | 上传ID | |
| 2 | name | varchar | 64 | 否 | 否 | 文件名 |
| 3 | path | varchar | 255 | 否 | 否 | 访问路径 |
| 4 | file | varchar | 255 | 否 | 否 | 文件路径 |
| 5 | display | varchar | 255 | 否 | 否 | 显示顺序 |
| 6 | father_id | int | 否 | 否 | 父级ID | |
| 7 | dir | varchar | 255 | 否 | 否 | 文件夹 |
| 8 | type | varchar | 32 | 否 | 否 | 文件类型 |
表 4-24-user(用户账户)
| 编号 | 字段名 | 类型 | 长度 | 是否非空 | 是否主键 | 注释 |
| 1 | user_id | int | 是 | 是 | 用户ID | |
| 2 | state | smallint | 是 | 否 | 账户状态:(1可用|2异常|3已冻结|4已注销) | |
| 3 | user_group | varchar | 32 | 否 | 否 | 所在用户组 |
| 4 | login_time | timestamp | 是 | 否 | 上次登录时间 | |
| 5 | phone | varchar | 11 | 否 | 否 | 手机号码 |
| 6 | phone_state | smallint | 是 | 否 | 手机认证:(0未认证|1审核中|2已认证) | |
| 7 | username | varchar | 16 | 是 | 否 | 用户名 |
| 8 | nickname | varchar | 16 | 否 | 否 | 昵称 |
| 9 | password | varchar | 64 | 是 | 否 | 密码 |
| 10 | | varchar | 64 | 否 | 否 | 邮箱 |
| 11 | email_state | smallint | 是 | 否 | 邮箱认证:(0未认证|1审核中|2已认证) | |
| 12 | avatar | varchar | 255 | 否 | 否 | 头像地址 |
| 13 | open_id | varchar | 255 | 否 | 否 | 针对获取用户信息字段 |
| 14 | create_time | timestamp | 是 | 否 | 创建时间 |
表 4-25-user_group(用户组)
| 编号 | 字段名 | 类型 | 长度 | 是否非空 | 是否主键 | 注释 |
| 1 | group_id | mediumint | 是 | 是 | 用户组ID | |
| 2 | display | smallint | 是 | 否 | 显示顺序 | |
| 3 | name | varchar | 16 | 是 | 否 | 名称 |
| 4 | description | varchar | 255 | 否 | 否 | 描述 |
| 5 | source_table | varchar | 255 | 否 | 否 | 来源表 |
| 6 | source_field | varchar | 255 | 否 | 否 | 来源字段 |
| 7 | source_id | int | 是 | 否 | 来源ID | |
| 8 | register | smallint | 否 | 否 | 注册位置 | |
| 9 | create_time | timestamp | 是 | 否 | 创建时间 | |
| 10 | update_time | timestamp | 是 | 否 | 更新时间 |
5系统实现
5.1普通用户功能实现
5.1.1首页
首页是系统的主界面,展示平台的核心内容,包括轮播图、最新通知公告、图书资讯、图书信息推荐等。图书推荐采用协同过滤算法,通过分析用户的历史浏览记录、借阅历史以及其他用户的行为数据,系统为用户提供个性化的图书推荐。同时,系统会根据用户点击的图书分类优先推荐相关的图书,提升用户发现感兴趣书籍的效率。用户可以通过首页快速访问各个功能模块,还可以根据关键词搜索相关内容,如图5-1所示。

图5-1系统首页界面图
5.1.2图书资讯
点击系统导航栏上的“图书资讯”菜单按钮,将进入图书资讯列表,用户可以查看系统发布的所有图书资讯内容。点击某图书资讯后进入详情页,可以查看该资讯的详细内容,用户可以点赞、收藏、评论等。图书资讯列表页面如图5-2所示。

图5-2图书资讯列表界面图
5.1.3图书信息
点击系统导航栏上的“图书信息”菜单按钮,将进入图书信息列表,用户可以浏览所有的图书信息,支持根据关键词搜索和下拉搜索、排序。点击某条图书信息可查看该图书的详细介绍,用户可以进行点赞、收藏、评论、借阅等操作。图书信息列表如图5-3所示。图书信息详情页如图5-4所示。图书借阅页面如图5-5多示。

图5-3图书信息列表界面图

图5-4图书信息详情界面图

图5-5图书借阅界面图
5.1.4 交流论坛
用户点击首页“交流论坛”按钮,会进入交流论坛列表,支持通过文章名称进行搜索,用户点击可查看其他用户的帖子内容,可以进行点赞、收藏、评论等操作点击“发布内容”,用户可以进行发帖。交流论坛列表界面如下图5-6所示。

图5-6交流论坛列表界面图
5.1.5个人中心
点击系统左上角的“个人中心”菜单按钮,用户可以查看与自己相关的借阅记录、续借记录、归还记录、收藏信息、评论记录等。借阅记录页面如图5-7所示。续借记录页面如图5-8所示。归还记录页面如图5-9所示。

图5-7借阅记录界面图

图5-8续借记录界面图

图5-9归还记录界面图
5.2管理员功能实现
5.2.1后台首页界面
管理员登录系统进入后台首页,首页提供了平台整体的统计信息和管理概况,包括图书信息统计、借阅登记统计等数据,并可通过图表等形式展示系统的运营情况。后台首页界面如下图5-10所示。

图5-10后台首页界面图
5.2.2用户管理
数字图书馆中的管理人员是可以对普通用户和管理员进行管理的,包括对用户信息进行增删改查、审核等操作,也可以对管理员进行管控。界面如下图5-11所示。

图5-11用户管理界面图
5.2.3 轮播图管理界面
管理员点击“公共管理-轮播图”菜单,可以对前台展示的轮播图进行设置,界面如下图5-12所示。

图5-12轮播图管理界面图
5.2.4通知公告管理界面
管理员点击“公共管理-通知公告”这个菜单,可以对系统中的通知公告信息进行管理,包括通知公告信息的增删改查等操作。通知公告管理界面如下图所示。

图5-13通知公告管理界面图
5.2.5 资讯管理界面
管理员点击“资讯管理”菜单,管理员可以上传、编辑或删除系统的资源,如文章、图片、视频等。这些资源可用于图书资讯模块的展示。管理员还可以对解读进行分类和标签化,方便用户查找和使用,界面如下图所示。

图5-14资讯管理界面图
5.2.6 图书信息管理界面
管理员点击“图书信息”这一菜单,可以查看所有的图书信息和用户评论,还可以进行重置、查询、删除等操作。点击“新增”,管理员可以添加新的图书信息。图书信息界面如下图5-15所示。

图5-15图书信息界面图
5.2.7 借阅记录管理界面
管理员点击“借阅记录”这一菜单会显示借阅记录列表,可以查看所有的图书借阅记录,点击“详情”可以修改借阅状态和借阅天数,进行借阅回复,还可以进行重置、查询、删除等操作。借阅记录列表界面如下图5-16所示。

图5-16借阅记录列表界面图
5.2.8 提醒信息管理界面
管理员点击“提醒信息”这一菜单,可以录入提醒信息,防止用户忘记归还,还可以进行重置、查询、删除等操作。提醒信息录入界面如下图5-17所示。

图5-17提醒信息录入界面图
5.2.9 论坛管理界面
管理员点击“论坛管理”这一菜单会显示交流论坛和论坛分类两个子菜单,管理员可以管理平台上的交流论坛,设置论坛分类,审核论坛中的帖子和评论,确保内容的健康与有序。交流论坛界面如下图所示。

图5-18交流论坛界面图
6系统测试
6.1测试目的
测试的主要目的是确保系统的功能和性能满足预期的需求,同时识别和修复潜在的缺陷。通过系统测试,可以验证各个功能模块的正确性和稳定性,确保系统在不同使用场景下的表现符合设计要求。测试目的包括确认系统功能的完整性、验证数据处理的准确性、评估系统的性能和安全性。测试还可以提高用户满意度,保证用户在使用系统时获得流畅和可靠的体验。通过全面的测试,可以降低后期维护成本,减少系统上线后出现故障的风险,从而保障系统的长期稳定运行。
6.2测试方法
在本系统中,测试方法主要依赖于测试用例的设计与执行。测试用例是根据系统需求文档编写的,覆盖所有功能模块及其边界情况。每个测试用例包含输入数据、预期结果和实际结果的对比,以验证系统的功能是否按预期工作。
常见的测试用例包括功能测试用例、边界测试用例和异常测试用例[13]。功能测试用例针对系统的各项功能进行验证;边界测试用例则侧重于输入数据的边界条件,验证系统在极端情况下是否能够稳定运行;异常测试用例则用于验证系统在处理错误输入或异常情况时的反应。本文选择功能测试用例进行系统测试。
在测试执行过程中,记录每个用例的执行结果,并根据实际结果与预期结果的对比,判断系统是否存在缺陷。通过系统化的测试用例执行,可以有效提高测试的覆盖率和效率,为系统的最终上线提供保障。
6.3测试内容
通过对系统中所含的主要实体对象及其功能操作进行测试用例设计。以下是详细的测试:
表6-1用户注册登录测试表
用户注册登录测试用例:
| 用例说明 | 测试目的 | 测试步骤 | 预期结果 | 输出结果 | 通过情况 |
| 用户注册、登录 | 测试用户正确注册、登录 |
| 用户注册成功,登录成功 | 结果输出符合预期 | 通过 |
表6-2图书借阅测试表
图书借阅用例:
| 用例说明 | 测试目的 | 测试步骤 | 预期结果 | 输出结果 | 通过情况 |
| 图书借阅 | 测试用户图书借阅功能 |
| 图书借阅成功,生成借阅登记列表 | 结果输出符合预期 | 通过 |
表6-3图书资讯评论测试表
图书资讯评论测试用例:
| 用例说明 | 测试目的 | 测试步骤 | 预期结果 | 输出结果 | 通过情况 |
| 图书资讯评论 | 测试用户图书资讯评论功能 | 1、在首页点击图书资讯并看详情; 2、点击评论,输入相关信息点击提交 | 生成新的评论信息 | 结果输出符合预期 | 通过 |
表6-4图书资讯添加测试表
管理员图书资讯添加测试用例:
| 用例说明 | 测试目的 | 测试步骤 | 预期结果 | 输出结果 | 通过情况 |
| 图书资讯添加测试 | 测试管理员添加图书资讯功能 |
| 图书资讯添加成功 | 结果输出符合预期 | 通过 |
表6-5通知公告删除测试表
通知公告删除测试用例:
| 用例说明 | 测试目的 | 测试步骤 | 预期结果 | 输出结果 | 通过情况 |
| 通知公告删除测试 | 测试通知公告删除功能 |
| 通知公告删除成功,前端不在展示该通知公告 | 结果输出符合预期 | 通过 |
6.4测试结论
经过上述测试,并对测试数据结果综合分析。数字图书馆具备简便,数据透明等特性。完全符合数字图书馆的要求。
本论文设计并实现了一款基于Spring Boot框架的数字图书馆系统,系统在满足传统图书馆管理需求的基础上,充分利用了现代信息技术,优化了图书管理和借阅服务。系统功能涵盖了普通用户和管理员的多项需求,普通用户可享受图书信息查询、个性化推荐、借阅记录管理、论坛互动等服务,管理员则可以进行图书管理、用户管理、借阅记录管理、论坛管理等后台操作,确保了图书馆的高效运营。
通过采用Spring Boot作为后端开发框架和MySQL作为数据库管理系统,系统具备了良好的性能、可扩展性和稳定性,能够在高并发情况下依然保持顺畅运行。此外,基于用户兴趣的图书推荐功能采用了协同过滤算法,为用户提供了个性化的图书推荐,提升了系统的智能化水平和用户体验。
系统的设计与实现验证了Spring Boot框架在数字图书馆开发中的可行性,并为类似系统的开发提供了参考和借鉴。通过该系统的使用,能够有效提高图书馆的管理效率,方便用户进行图书借阅与管理,推动图书馆向信息化、智能化方向发展。未来,系统还可以结合更多先进技术,如大数据分析、移动端应用等,进一步丰富功能,提升服务质量,满足日益增长的用户需求。
总体而言,本系统为数字图书馆的建设提供了有力的技术支持,具有较高的应用价值和推广前景。
- 冯志林.Java EE程序设计与开发实践教程[M].机械工业出版社:202105.353.
- 尹应荆.JAVA编程语言在计算机软件开发中的应用[J].石河子科技,2023,(05):45-47.
- 刘江涛,王亮亮,吴庆茹,等.基于B/S模式的铁路勘测设计案例信息化管理系统设计与实现[J].铁路计算机应用,2021,30(03):32-35.
- 张丹丹,李弘.基于B/S架构的办公管理系统设计与开发[J].铁路通信信号工程技术,2024,21(09):44-48+106.
- 王志亮,纪松波.基于SpringBoot的Web前端与数据库的接口设计[J].工业控制计算机,2023,36(03):51-53.
- 熊永平.基于SpringBoot框架应用开发技术的分析与研究[J].电脑知识与技术,2021,15(36):76-77.
- 赵媛.基于Vue的Web系统前端性能优化分析[J].电脑编程技巧与维护,2024,(09):44-46.
- 秦冬.浅析Vue框架在前端开发中的应用[J].信息与电脑(理论版),2024,36(13):61-63.
- 李艳杰.MySQL数据库下存储过程的综合运用研究[J].现代信息科技,2023,7(11):80-82+88.
- 陈倩怡,何军.Vue+Springboot+MyBatis技术应用解析[J].电脑编程技巧与维护,2020,(01):14-15+28.
- 周晓玉,崔文超.基于Web技术的数据库应用系统设计[J].信息与电脑(理论版),2023,35(09):189-191.
- 马艳艳,吴晓光.计算机软件与数据库的设计策略分析[J].电子技术,2024,53(05):104-105.
- 李俊萌.计算机软件测试技术与开发应用策略分析[J].信息记录材料,2023,24(03):50-52.
- 王辉.高职院校图书馆信息管理系统的设计与实现[J].信息与电脑(理论版),2024,36(17):105-107.
- 林辉,杨小容.基于微信小程序的图书管理系统[J].电子设计工程,2024,32(12):136-140.
- Madhav A K ,Muthumari P ,Sudhakar C S .An overview of FOLIO: an open-source library management system[J].Library Hi Tech News,2024,41(4):24-26.
- Mamatlepa S M ,Maluleka R J .Impact of library management systems on information provision in the Rustenburg municipality[J].South African Journal of Information Management,2024,26(1):e1-e7.
- Weixia W .Optimization of book information search in intelligent library system management based on cellular network[J].Optical and Quantum Electronics,2024,56(3):
- 徐赛花,张希.一种图书馆预约管理系统设计与实现[J].电脑编程技巧与维护,2023,(07):107-110.
- 赵秀丽.高校图书馆信息管理系统的设计与实现[J].电子技术与软件工程,2022,(21):231-234.
- 冯韫韬,王玥琳.图书馆信息管理系统的优化路径[J].信息技术,2022,(10):1-6.
本论文的完成离不开众多导师、同学以及亲友的支持与帮助。在此,首先向我的导师表示最诚挚的感谢。在整个研究和写作过程中,导师以严谨治学的态度和丰富的专业知识给予了我无私的指导,从论文选题到最终定稿的每一个环节,都为我提供了宝贵的建议与意见,使我得以不断完善研究内容、拓展学术视野。导师耐心细致的指导不仅帮助我解决了许多学术难题,也让我在研究能力与学术写作方面得到了显著的提升。导师的鼓励与支持是我完成这篇论文的重要动力,也让我深刻体会到学术研究的严谨性与意义。
我还要感谢在学习生活中给予我帮助和支持的同学、朋友以及家人。论文撰写过程中,许多同学与我共同探讨问题,分享经验与资料,使我的研究更加全面深入。朋友们的关心和陪伴让我在繁忙的研究过程中能够调节心情,保持良好的状态。特别感谢我的家人,他们始终给予我无条件的理解和支持,为我创造了安心学习与研究的环境。正是因为有了大家的帮助和支持,我才能克服论文写作中的重重困难并顺利完成。再次向所有支持和帮助过我的人表达衷心的感谢。
附录
系统核心代码设计
用户注册
注册页UserController.java,传入user对象,并将"user_id"、 "state"、 "user_group"、"login_time"、"phone"、"phone_state"、 "username"、"nickname"、"password"、"email"、"email_state"、"avatar"、"create_time"输入,重点是 "username"、"nickname"、"password"必须输入,通过获取username,数据库查询是否有该用户,如果存在,则提示“用户已存在”,否则执行将UserId置为空(数据库表中该字段已设置自动递增),代码如图所示。

注册核心代码图
用户登录
登录页,首先传入"username"、"email"、"phone"、"password",用户可通过用户名、邮箱、手机号进行登陆,通过判断resultList来确定查询结果,然后执行查询用户组UserGroup,用户组里面不存在,依然报“用户不存在”,执行完以上代码,最后涉及到用户带有“审核”的,会查询examine_state(用户的审核状态),数据库表user_group中含有source_table和source_field进行查询,以上步骤完成,对输入的密码进行存储Token到数据库,匹对账号和密码,数据库中的AccessToken为令牌,用于身份认证,代码如图所示。

用户登录核心代码图
修改密码
修改密码,通过请求data,获取旧密码,并将新密码重新赋值,期间都是需要通过加密,代码如图所示。

修改密码核心代码图
修改数据
修改一个数据,原理与add基本一致,不同点在于通过readConfig()读取关键字,以及通过readQuery()获取URL后面?指定位置的标识,转成Map对象后,执行update操作,同样通过拼接的sql语句执行,执行过程读取query,toWhereSql()语句完成数据库操作,body为修改对象的值,代码如图所示。

修改数据核心代码图
删除数据
删除一条数据,通过readQuery(),获取URL后面的对象地址,删除FROM具体的table,query删除查询FindConfig语句,代码如图示。

删除数据核心代码图
获取列表
通过请求的参数获取列表数据,代码如图所示。

获取列表核心代码图
图片上传
通过请求的参数获取列表数据,代码如图4-13所示。

图片上传核心代码图
免费领取项目源码+数据库,请关注❥点赞收藏并私信博主,谢谢~

被折叠的 条评论
为什么被折叠?



