6 脑电图医疗系统的误码率性能比较
1 引言
为了在容量、连接性方面扩展现有通信服务,并实现低功耗,第五代(5G)通信成为未来的发展方向。如今,无线传输数据的基本原理是通过射频(RF)协议。然而,射频频段的电磁波谱已十分拥挤,难以满足终端用户日益增长的需求[1–4]。射频频段的电磁波谱是受许可并受监管的。因此,为了满足不断增长的数据通信需求,光无线通信(OWC)成为一种替代方案,因其相较于射频具有独特优势,其中最主要的是拥有巨大的非授权带宽频谱,这是数据通信的关键需求。作为OWC成员的可见光通信(VLC)采用发光二极管(LED)作为发射器,光电二极管(PD)作为接收器;而在通信系统中使用摄像头或图像传感器作为接收器的技术是VLC的一种补充,称为光学相机通信(OCC)[5–10]。OCC的优势在于无需硬件修改;VLC与OCC的结合被称为可见光光学相机通信[10,12]。
1924年,汉斯·伯格发明了脑电图(EEG),这是一种利用头皮电极采集脑部信息的非侵入性机制。传统的脑电图记录过程繁琐且耗时,需要通过导线将多个头皮电极连接到数据分析屏幕上。诸如Neurosky、imec、emotiv等基于射频无线技术进步而开发的无线可穿戴式脑电图耳机,如图6.2所示,便是此类技术发展的成果。这些耳机可用于特定应用领域的脑部监测,例如睡眠障碍、认知分析等,具体应用取决于通道数量和使用场景。
脑电图应用所必需的基于无线技术的产品已广泛应用于医疗保健领域,例如记录心脏活动的心电图(ECG),这是一种非侵入式手术。在[16]中,作者提出了一种基于多分辨率小波变换的系统,用于从原始心电图信号中检测“P”、“Q”、“R”、“S”、“T”波峰复合波。“R‐R”间期是心电图信号的一个重要细节,对应于被测者的心跳。“R”波高度的突然增加或“R‐R”间期测量值的变化表示人心脏异常,从而通过心电图评估心脏功能。
然而,近年来,由于无线技术进步,医院和医疗环境中的医疗质量显著提高。因此,在射频敏感区域(如重症监护室(ICU)),射频会对其它医用电子设备产生电磁干扰(EMI),对人类和医疗设备均造成重大影响。因此,本章展示了使用可见光通信(VL‐OCC)的脑电图系统的实验室工作,其中实验在视距条件下进行,采用8像素和16像素有机发光二极管(OLED)屏幕作为发射器,单反相机作为接收器。本章的主要贡献如下:
- 使用单反相机对所提出系统的视频帧、传输比特数和视频长度方面的结果进行了分析并比较。
- 实验验证了比特率与误码率之间的权衡取决于像素尺寸。
其余部分分为以下几节:第2节重点讨论医疗中的可见光通信,简要列出相关研究、可见光通信相比射频的优势,以及VL‐OCC定义及其范围。第3节阐述提出的系统建模,接着是第4节描述实验,第5节展示结果。最后,本章在第6节中进行总结。
2 医疗中的可见光通信
脑电图(EEG)在医院或医疗保健中的应用通常使用湿电极或传感器来测量头皮活动,该过程采用射频(RF)技术,可能会因电磁干扰(EMI)而影响医疗设备以及患者健康,尤其是在ICU等射频受限区域。此外,射频频谱拥挤且拥塞;因此,鉴于射频在医疗保健中存在的一系列问题,亟需一种替代的通信方式。可见光通信(VLC)工作在400–780纳米范围内,相较于射频,在医疗保健领域是最佳选择,原因如下:
A. 对人体健康安全
将LED灯作为信息传输载体,使得可见光通信完全适用于人类健康。射频对人类健康产生的负面影响日益显著,导致医院等场所明确划为射频禁用区域。对人体健康无害的特点,增强了可见光通信在医疗服务或医疗保健领域中用于信息通信的可能性[17]。
B. 安全性
与射频波不同,可见光无法穿过隔板,这使得可见光通信具有很高的防窃听安全性。在可见光通信中,人们基本上可以通过关闭入口来观察信息并保证信息安全。这使得可见光通信适用于军事应用或高安全要求的区域,例如需要保密患者信息的医疗机构[8–9,17]。
C. 低成本实施
与使用定向频段的射频技术不同,可见光通信利用光线进行数据通信,而光线位于电磁频谱的非授权区域。由于无需支付许可证费用,其实施成本显著降低。另一个可降低可见光通信实施成本的优势在于其普遍性。可见光通信依赖于目前已广泛认可并在全球广泛部署的现有框架,这得益于LED照明光源所提供的多种优势。这一特点将使得可见光通信的实施变得简单便捷,无需对现有基础设施进行紧急调整。第三个使可见光通信能够降低实施成本的特性是其复杂性较低。可见光通信主要使用LED生产商和光电二极管接收器,这些组件相较于射频基础设施而言成本低廉且价格便宜[8,17]。
D. 绿色无线通信技术
随着地球人口的增长和人类文明的发展,资源利用和气候恶化也在加剧。臭氧消耗物质排放已达到令人担忧的程度,导致显著的气候变化,影响整个环境[9]。通过减少能源消耗,可以大幅降低自然资源利用和污染。人工照明(通常由电灯提供)占能源消耗的相当大比例。在全球范围内,大约19%的电力用于照明,而电力占总能源生产的16%[9,18]。除了上述优点外,可见光通信也是一种绿色无线通信技术。可见光通信属于绿色技术,因为它不需要额外的电力进行通信,同一光源在用于照明的同时也可用于传输数据。可见光通信的另一个重要优势是使用发光二极管,可实现显著的能源节约,减少CO2排放[9,18,19]。
上述可见光通信相较于射频的优势,使得可见光通信成为医疗保健应用(特别是医院)的最佳候选技术,它将照明与通信的概念结合在一起,以实现高效的无线数据服务,且无射频辐射。
2.1 可见光通信系统
LED照明由于低成本、长寿命、低功耗以及照明和数据通信的双重功能,正在取代现有的白炽灯照明系统。可见光通信在发射端采用发光二极管,在接收端采用光电二极管,其中发射器是一种将电信号转换为光信号的光电设备。信号到光和光电二极管是光电设备,因此将光信号转换为电信号[7,20]。基本的可见光通信系统框图如图6.1所示。
输入数据在可见光通信系统中通过发光二极管在光信道上传输前需进行调制。传输的数据以光强度的形式被接收单元中的光电二极管捕获,随后经过解调和离线处理以获得输出数据。跨阻放大器(TIA)根据接收到的光信号强度以及指定放大器的增益,对光电二极管接收到的信号进行放大。输出数据进一步通过离线和在线分析,以检查系统可靠性及误码率性能。
2.2 可见光通信系统中的接收器
可见光通信系统部署了两种接收器,分为:
2.2.1 光电探测器
可见光通信系统中常用的光电二极管包括PIN光电二极管和雪崩光电二极管(APD),后者具有更高的增益。然而,雪崩光电二极管会产生额外噪声,从而影响系统性能。另一方面,由于低成本和高温度耐受性,光电二极管在可见光通信系统中被广泛使用[3–7]。
2.2.2 图像传感器或摄像头——也称为相机传感器
摄像头无处不在,因此被广泛用于数据通信和摄影。借助快速响应(QR)码,计算机视觉和图像处理使通信更加便捷。这些QR码在摄像头通信应用中通过二维条形码实现[11,12]。
2.3 基于可见光通信的医疗保健系统相关研究
文献[21]中的作者提出了一种基于时间跳变(TH)的可见光通信系统,该系统采用LED/光电二极管对进行心电图信号传输,其优势在于由于具备安全性和抗电磁干扰能力,可应用于射频受限区域和紧急情况。在[22]中,作者提出了一种基于可见光通信的简单室内监控系统,采用开关键控调制方案。通过传感器利用LED/光电二极管实现数据的传输与接收,从而构建了一个免受电磁干扰且对人体和医疗设备安全的高效通信系统。在[23]中,作者演示了一种基于可见光通信并采用波分复用(WDM)技术通过RGB LED实现的粉尘监测系统。进入的光信号通过颜色传感器进行区分,随后由微控制器接收和处理,从而使医疗团队能够监测室内空气质量并改善医院的环境条件。文献[24]中的作者提出了一种用于脑电图信号传输的可见光通信系统,采用三个RGB LED作为发射器,三个光电二极管作为接收器。在[20]中,作者提出了一种基于可见光通信的LabVIEW系统,用于通过LED/光电二极管对传输单通道脑电图信号。在视距链路条件下采用OOK‐NRZ调制方式进行的实验结果表明,在1米距离下信噪比提升至12.29 dB。
文献[21]中的作者提出了一种用于心电图的可见光通信系统,该系统采用LED/光电二极管对并结合时间跳变方案,是一种非侵入式记录心脏电活动的方法。文献[22]中的作者提出了一种基于可见光通信的医院低数据率静态患者监护系统,采用LED/光电二极管对并结合开关键控调制方案。相比射频协议,该系统具有无电磁干扰的优点。由于可见光通信系统分别使用LED和光电探测器作为发射器和接收器,因此文献[25]中的作者提出了一种医疗便携设备,可通过高亮度LED(HB‐LED)和高速光电探测器连接光学传感器,实现医疗保健信息的下载与访问。
机器人技术和人工智能已被广泛用于减轻人类的工作负担,因此在[26–28]中,作者正在研究用于医疗保健领域的机器人定位可见光通信系统,通过在特定目标区域部署机器人传感器,确保通信不受影响。
2.4 医疗中的可见光通信——研究现状
可见光通信(VLC)为社会医疗保险应用带来的关键有利条件是解决了基于射频的医疗设备所面临的阻塞问题。VLC的其他优势包括:相比射频通信系统成本更低;设备、医护人员、患者与监测站之间的通信更佳;光信号相较于射频信号具有更高的安全;以及在对患者进行长期暴露时具有完全的安全性[29]。目前全球正在积极开展可见光通信的研究,尤其是在医疗保健应用方面,其中一些研究将在后文列出。
2.4.1 韩国釜庆国立大学
可穿戴脑电图设备可以监测脑机接口、疲劳以及情绪和心理状态,但射频无线辐射对患者大脑存在长期风险。韩国釜庆国立大学团队通过以下方式避免了这一危害:将可见光通信集成到可穿戴脑电图设备中,配备电极以采集大脑活动数据,以及用作模拟数据滤波和模数转换的微控制器。研究人员正考虑将其作为蓝牙技术的替代方案,因为可见光通信对人类健康是安全的[30]。
2.4.2 国立台湾大学,光电工程研究所
国立台湾大学的科学家和研究人员开发了一种紫色激光二极管,作为室内照明可见光通信系统中通常使用的发光二极管的替代品。研究人员优化了紫色激光扩散板的化学成分并调整了荧光粉厚度,实现了在超过7米距离下高达12吉比特每秒的数据速率容量。如果可见光通信系统能够传输更大量的数据,这项技术也将对医疗提供者更具吸引力[29]。
2.4.3 森谷研究实验室,NTT通信科学研究所,日本京都
科学家和研究人员在日本京都开发了一种利用摄像机和事件时序编码方法来监测多个脉搏的可见光通信(VLC)框架。可穿戴心率监测设备上的发光二极管(LED)会根据每次心跳闪烁相应的信号,并由摄像头捕捉。该编码功能记录并分析心跳,以识别风险并向监护人或呼叫人员发出警报[29]。
先前列出的一些关于医疗中的可见光通信的研究工作使可见光通信成为医疗保健中替代射频的最佳选择。此外,由于摄像头作为接收器具有最低硬件要求,这为医疗保健中的可见光通信(OCC)应用打开了大门。
2.5 可见光光学相机通信
可见光通信由于硬件需求较少,不仅有助于降低通信系统的成本,而且通过将摄像头对准目标来减少额外噪声和模糊[31–37]。可见光通信的框图如图6.2所示。
在图6.2中,数据输入经过调制后传输给光信号,通过光信道进行传输,摄像头采集视频/图像。然后对这些视频/图像进行离线处理,使用图像处理和计算机视觉技术提取数据比特,并将其与输入数据进行比较,计算误码率。
3 脑电图可见光光学相机通信医疗方法
该方法通过图6.3进行说明,其中,$ b_n $ 表示传输的数据位,$ N = R_1 \times C_1 $ 是由OLED屏幕上的行和列构成的矩阵。信号比特被发送到ARM处理器,然后传送到发射器,即OLED屏幕,经过串行转并行(S/P)转换后,信号变为 $ s_{rc}[t_1] $。根据给定的像素尺寸 $ D $,传输的数据比特数为:
$$
M = (S_z^{\text{row}} \times D) \times (S_z^{\text{column}} \times D)
$$
其中 $ S_z^{\text{row}} $ 和 $ S_z^{\text{column}} $ 表示相应的行和列。通过OLED屏幕的传输,光信号可以表示为:
$$
x_{rc}[t_1] = s_{rc}[t_1] * h_{rc}[t_1]
$$
在公式(2)中,$ h $ 表示脉冲响应;因此,接收信号 $ y_{rc}[t_1] $ 变为:
$$
y_{rc}[t_1] = x_{rc}[t_1] + \nu_{rc}[t_1]
$$
其中 $ \nu_{rc}[t_1] $ 是主要的高斯白噪声(WGN),在本研究中即为环境光。在捕获视频或图像时,通过使用感兴趣区域将该噪声降至零或最小。
4 实验工作和硬件描述
本节列出了使用8像素和16像素OLED屏幕作为发射器、单反相机作为接收器的实验工作及硬件描述。脑电图信号是频率范围从4赫兹到50赫兹的多种频率的混合信号,其幅度以毫伏或微伏表示,因为脑电图信号是通过头皮下的传感器获取的[38]。实验工作所用的脑电图信号来自脑电图工具箱[39]并在MATLAB中绘制,如图6.4A所示。
脑电图工具箱为研究人员提供了多个用于研究的多通道脑电图信号。本研究中使用了单通道脑电图信号。脑电图工具箱还提供了在MATLAB中下载前对信号进行滤波、放大和压缩的功能[39],因此,在本章及研究中,所获得的脑电图信号被压缩以提高数据比特传输速率。由于可见光通信系统(VL‐OCC)中的信号强度不能为负,脑电图信号被归一化到0和1之间,如图6.4B所示。对于模数转换,选择了16位模数转换器以实现更高分辨率和低量化误差。所得比特被上采样以避免混叠,然后通过MBED使用C语言上传至微控制器。表6.1列出了实验工作中使用的设备。
由于KL系列的微控制器FRDM‐KL25Z具有易于获取、成本效益高和低电压需求的特点,因此被选用。DD‐160128FC OLED[40]是一种作为发射器的OLED屏幕,重量为3.6克。OLED的驱动电路需要2.8伏特电压,因此使用KICAD软件在印刷电路板上利用分压器设计了开关板。实验在视距链路条件下于多个距离进行;在接收端使用摄像头以视频形式捕获传入信号,随后在MATLAB中进行离线处理以计算误码率。图6.5和图6.6分别展示了硬件设置以及通过OLED屏幕传输的信息比特,这些信息由摄像头捕获用于离线处理。
信号处理后,数据比特通过USB线缆使用MBED软件发送到微处理器(1),然后借助PCB开关板(2)传输到发射器(3),电源由电压调节器(4)维持。根据数据表,由行和列组成的OLED屏幕会随着像素尺寸的大小而变化。例如,如果像素尺寸较小,则单帧中可发送的信息比特增加,反之亦然。对于8像素OLED屏幕的数据表显示,传输被划分为16行和20列,因此每帧可传输总共320位。类似地,16像素OLED屏幕被划分为8行和10列,因此通过单帧传输总共80位。摄像头参数或规格列于表6.2。
比特传输完成后,使用单反相机拍摄视频,并在MATLAB中进行后续图像处理以计算误码率。视频长度取决于比特率以及每帧可传输的总比特数。例如,通过8像素OLED屏幕的单帧以2千比特每秒的比特率传输320位的数据,所需视频长度为:
$$
\text{所需视频长度} = \frac{\text{每帧可传输的比特数}}{\text{比特率}} = \frac{320}{2.8 \, \text{kbps}} = 8.75 \, \text{s}
$$
对于每帧具有80个数据比特容量的16像素OLED屏幕,视频长度为:
$$
\text{所需视频长度} = \frac{80}{2.8 \, \text{kbps}} = 35 \, \text{s}
$$
通过摄像头捕获的视频在MATLAB中进行图像处理,以测量8像素和16像素OLED屏幕的误码率性能。下一节列出所获得的结果以及在MATLAB中的图像处理。
表6.1 所用设备
| 设备 | 模型 |
| — | — |
| 光发射器 | OLED DD‐160128FC‐1A |
| 嵌入式系统 | FRDM‐KL‐25Z |
| 摄像头 | 佳能单反相机 |
| 电压要求 | 逻辑部分2.8V |
| 编程软件 | KICAD、C、MATLAB |
表6.2 相机规格
| 相机类型 | DSLR |
| — | — |
| 相机分辨率 | 1800万像素 |
| 相机帧率 | 30帧每秒 |
| 自动对焦 | 手动 |
| 达到的数据速率 | 2.8千比特每秒 |
| 曝光模式 | 卷帘快门 |
5 结果和讨论
在整个实验室工作中,进行了多次实验以分析误码率性能。图6.7和图6.8描述了8像素和16像素的图像处理。例如,如果传输的比特是1,则在接收到的图像中用白色区域表示;如果传输的比特是0,则在接收到的图像中表示为黑色区域。
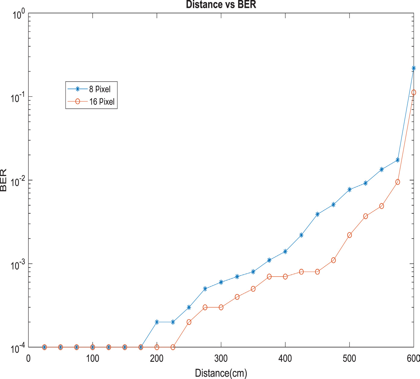
为了保持发送端与摄像头视频捕获之间的同步,最初会发送400个1比特的前导码,以指示数据比特的开始和视频捕获结束。部署摄像头的优势在于接收器的优势在于,由于具有聚焦特性和内置滤波功能,无需对硬件或基础设施进行修改,因此在实验工作中通过使用摄像头的选择性捕获技术和对摄像头进行聚焦,减轻了图像模糊问题。从图6.7和图6.8可以看出,由于像素尺寸较小,通过8像素OLED屏幕传输的比特数比16像素OLED屏幕更多;然而,如图6.9所示,8像素的误码率相较于16像素显著增加。
在图像处理中,通过将实验过程中从视频捕获中提取的图像与传输的图像或比特进行比较,以计算误码率:
$$
\text{BER} = \frac{\text{错误比特数}}{\text{总传输比特数}}
$$
结果表明,与16像素OLED屏幕实现的无差错传输链路距离2.25米或225厘米相比,8像素OLED屏幕实现了最远1.75米或175厘米的无差错传输距离。因此,存在像素尺寸与传输的数据位总数之间的权衡,例如,在相同链路距离下,较小的像素尺寸可以传输更多的数据比特,但误码率显著增加。
图6.10中所示的接收到的脑电图信号是经过离线和图像处理、解调以及数模转换后获得的。如图6.10所示,接收到的脑电图信号与图6.4A中传输的脑电图信号相似,因此表明使用可见光OLED作为发射器、摄像头作为接收器可实现脑电图信号的高效传输。
6 结论
本章展示了可见光通信脑电图医疗保健系统的误码率性能;发射器为具有不同像素尺寸8和16的OLED屏幕,接收器为单反相机。在接收端使用摄像头并不需要进行硬件修改,因其具备内置滤波和聚焦特性,相较于传统的可见光通信系统更为便捷。
此外,所提出的可见光通信系统(VL‐OCC)在医疗保健领域尤为适用,因为它避免了有害辐射(如电磁干扰),而医疗保健中使用的射频协议容易受到电磁干扰,对射频受限区域内的患者健康产生不利影响。8像素和16像素发射器之间的误码率性能比较表明,像素尺寸与传输比特数之间存在权衡。尽管通过8像素OLED屏幕可以传输更多的数据比特,但在超过1.75米(或175厘米)后,其误码率显著增加,而16像素OLED屏幕在距离达到2.25米(或225厘米)之前仍能实现无差错传输。
此外,由于采用了片上系统原型,具有低成本、低功耗以及无电磁干扰的优点,该系统可用于医院中的无线远程监控以及脑电图应用中的脑机接口。
2937

被折叠的 条评论
为什么被折叠?



