03-树1 树的同构
原题链接
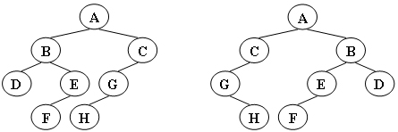
给定两棵树T1和T2。如果T1可以通过若干次左右孩子互换就变成T2,则我们称两棵树是“同构”的。例如图1给出的两棵树就是同构的,因为我们把其中一棵树的结点A、B、G的左右孩子互换后,就得到另外一棵树。而图2就不是同构的。

图1

图2
现给定两棵树,请你判断它们是否是同构的。
输入格式:
输入给出2棵二叉树树的信息。对于每棵树,首先在一行中给出一个非负整数N (≤10),即该树的结点数(此时假设结点从0到N−1编号);随后N行,第i行对应编号第i个结点,给出该结点中存储的1个英文大写字母、其左孩子结点的编号、右孩子结点的编号。如果孩子结点为空,则在相应位置上给出“-”。给出的数据间用一个空格分隔。注意:题目保证每个结点中存储的字母是不同的。
输出格式:
如果两棵树是同构的,输出“Yes”,否则输出“No”。
输入样例1(对应图1):
8
A 1 2
B 3 4
C 5 -
D - -
E 6 -
G 7 -
F - -
H - -
8
G - 4
B 7 6
F - -
A 5 1
H - -
C 0 -
D - -
E 2 -
输出样例1:
Yes
输入样例2(对应图2):
8
B 5 7
F - -
A 0 3
C 6 -
H - -
D - -
G 4 -
E 1 -
8
D 6 -
B 5 -
E - -
H - -
C 0 2
G - 3
F - -
A 1 4
输出样例2:
No
思想
主框架:
1.建立二叉树->BuildTree(TNode T[])
2.判断是否同构->issame(int r1,int r2)
存储:
BTNode T1[MaxTree],T2[MaxTree];
使用了静态数组来存储以结构体为单元的两个二叉树
判断根节点:
巧妙了使用的check数组。
原理:在静态数组中left和right出现过的下标,说明是别人的子树。因此如果没有出现过,则为根节点。用check数组记录是否出现过。
注意
1.BuildTree中的scanf()的格式
一开始我写了scanf("%c %c %c",&T[i].data,&lc,&rc);
系统一直报错
因为我们的输入是不断有回车换行的
代码
#include<iostream>
using namespace std;
#define MaxTree 10
#define null -1
struct BTNode{
char data;
int lchild,rchild;
};
BTNode T1[MaxTree],T2[MaxTree];//left和right不是指针是数
int BuildTree(BTNode T[]){
int N;
scanf("%d",&N);
int check[N],root=-1;//初始化root
for(int i=0;i<N;i++){check[i]=0;}//查root的数组
for(int i=0;i<N;i++){
char lc,rc;
scanf("\n%c %c %c",&T[i].data,&lc,&rc);
//左孩子
if(lc!='-'){
T[i].lchild=lc-'0';
check[T[i].lchild]=1;
}else{
T[i].lchild=null;//- -1记录
}
//右孩子
if(rc!='-'){
T[i].rchild=rc-'0';
check[T[i].rchild]=1;
}else{
T[i].rchild=null;//- -1记录
}
}
for(int i=0;i<N;i++){
if(check[i]==0){
root=i;break;
}
}
return root;
}
int issame(int R1,int R2){
if(R1==null&&R2==null)//两根/叶节点都为空->同构
return 1;
if((R1==null&&R2!=null)||(R1!=null&&R2==null))//其中一个根节点为空另一个不为空->不同构
return 0;
if(T1[R1].data!=T2[R2].data)//两个对应结点数值不同->不同构
return 0;
if(T1[R1].lchild==null&&T2[R2].lchild==null)//左子树为空,递归右子树
return issame(T1[R1].rchild,T2[R2].rchild);
if((T1[R1].lchild!=null&&T2[R2].lchild!=null)&&(T1[T1[R1].lchild].data==T2[T2[R2].lchild].data))//左子树不为空,且左子树相同,递归左右子树
return issame(T1[R1].lchild,T2[R2].lchild)&&issame(T1[R1].rchild,T2[R2].rchild);
else{//左子树有不为空的,或者左右子树值的大小不一样的
return issame(T1[R1].lchild,T2[R2].rchild)&&issame(T1[R1].rchild,T2[R2].lchild);//交换左右子树对比是否相同
}
}
int main(){
int R1,R2;
R1=BuildTree(T1);
R2=BuildTree(T2);
if(issame(R1,R2)){
printf("Yes");
}else{
printf("No");
}
return 0;
}
疑问
其实issame函数中的判断逻辑为什么是这样的呢?我也不是很清楚,有点迷惑,是看着小白专场打的代码。求大神指点!
该博客主要讨论了如何判断两棵二叉树是否同构的问题。通过建立二叉树结构,利用静态数组存储,并使用一个check数组记录节点是否作为子树出现,找到根节点。在issame函数中,通过递归比较根节点及其子节点的数据和结构来确定两棵树是否同构。当遇到不同构的情况时立即返回0,否则继续比较。示例代码展示了具体的实现过程。
541

被折叠的 条评论
为什么被折叠?



